题目链接
题目描述
我们可以用 21 的小矩形横着或者竖着去覆盖更大的矩形。请问用 n 个 21 的小矩形无重叠地覆盖一个 2*n 的大矩形,总共有多少种方法?

解题思路
当 n 为 1 时,只有一种覆盖方法:

当 n 为 2 时,有两种覆盖方法:

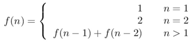
要覆盖 2n 的大矩形,可以先覆盖 21 的矩形,再覆盖 2(n-1) 的矩形;或者先覆盖 22 的矩形,再覆盖 2(n-2) 的矩形。而覆盖 2(n-1) 和 2*(n-2) 的矩形可以看成子问题。该问题的递推公式如下:

public int RectCover(int n) {if (n <= 2)return n;int pre2 = 1, pre1 = 2;int result = 0;for (int i = 3; i <= n; i++) {result = pre2 + pre1;pre2 = pre1;pre1 = result;}return result;}
