题目链接
牛客网
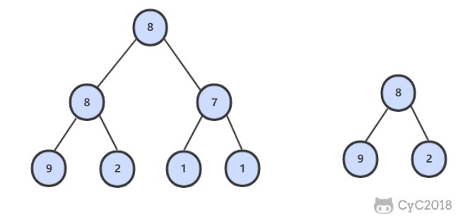
题目描述

解题思路
public boolean HasSubtree(TreeNode root1, TreeNode root2) { if (root1 == null || root2 == null) return false; return isSubtreeWithRoot(root1, root2) || HasSubtree(root1.left, root2) || HasSubtree(root1.right, root2);}private boolean isSubtreeWithRoot(TreeNode root1, TreeNode root2) { if (root2 == null) return true; if (root1 == null) return false; if (root1.val != root2.val) return false; return isSubtreeWithRoot(root1.left, root2.left) && isSubtreeWithRoot(root1.right, root2.right);}