题目描述

解题思路
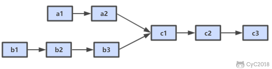
设 A 的长度为 a + c,B 的长度为 b + c,其中 c 为尾部公共部分长度,可知 a + c + b = b + c + a。
当访问链表 A 的指针访问到链表尾部时,令它从链表 B 的头部重新开始访问链表 B;同样地,当访问链表 B 的指针访问到链表尾部时,令它从链表 A 的头部重新开始访问链表 A。这样就能控制访问 A 和 B 两个链表的指针能同时访问到交点。
public ListNode FindFirstCommonNode(ListNode pHead1, ListNode pHead2) {ListNode l1 = pHead1, l2 = pHead2;while (l1 != l2) {l1 = (l1 == null) ? pHead2 : l1.next;l2 = (l2 == null) ? pHead1 : l2.next;}return l1;}
