题目链接
题目描述
给定一个 double 类型的浮点数 x和 int 类型的整数 n,求 x 的 n 次方。
解题思路
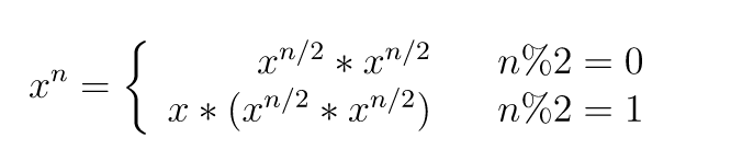
最直观的解法是将 x 重复乘 n 次,xxx…x,那么时间复杂度为 O(N)。因为乘法是可交换的,所以可以将上述操作拆开成两半 (xx..x) (xx..x),两半的计算是一样的,因此只需要计算一次。而且对于新拆开的计算,又可以继续拆开。这就是分治思想,将原问题的规模拆成多个规模较小的子问题,最后子问题的解合并起来。
本题中子问题是 x,在将子问题合并时将子问题的解乘于自身相乘即可。但如果 n 不为偶数,那么拆成两半还会剩下一个 x,在将子问题合并时还需要需要多乘于一个 x。

因为 (x*x) 可以通过递归求解,并且每次递归 n 都减小一半,因此整个算法的时间复杂度为 O(logN)。
public double Power(double x, int n) {boolean isNegative = false;if (n < 0) {n = -n;isNegative = true;}double res = pow(x, n);return isNegative ? 1 / res : res;}private double pow(double x, int n) {if (n == 0) return 1;if (n == 1) return x;double res = pow(x, n / 2);res = res * res;if (n % 2 != 0) res *= x;return res;}
