题目描述
输入一个复杂链表(每个节点中有节点值,以及两个指针,一个指向下一个节点,另一个特殊指针指向任意一个节点),返回结果为复制后复杂链表的 head。
public class RandomListNode {int label;RandomListNode next = null;RandomListNode random = null;RandomListNode(int label) {this.label = label;}}

解题思路
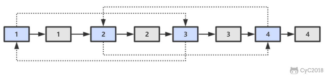
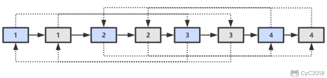
第一步,在每个节点的后面插入复制的节点。

第二步,对复制节点的 random 链接进行赋值。

第三步,拆分。

public RandomListNode Clone(RandomListNode pHead) {
if (pHead == null)
return null;
// 插入新节点
RandomListNode cur = pHead;
while (cur != null) {
RandomListNode clone = new RandomListNode(cur.label);
clone.next = cur.next;
cur.next = clone;
cur = clone.next;
}
// 建立 random 链接
cur = pHead;
while (cur != null) {
RandomListNode clone = cur.next;
if (cur.random != null)
clone.random = cur.random.next;
cur = clone.next;
}
// 拆分
cur = pHead;
RandomListNode pCloneHead = pHead.next;
while (cur.next != null) {
RandomListNode next = cur.next;
cur.next = next.next;
cur = next;
}
return pCloneHead;
}
