题目链接
题目描述
一只青蛙一次可以跳上 1 级台阶,也可以跳上 2 级。求该青蛙跳上一个 n 级的台阶总共有多少种跳法。

解题思路
当 n = 1 时,只有一种跳法:

当 n = 2 时,有两种跳法:

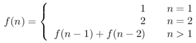
跳 n 阶台阶,可以先跳 1 阶台阶,再跳 n-1 阶台阶;或者先跳 2 阶台阶,再跳 n-2 阶台阶。而 n-1 和 n-2 阶台阶的跳法可以看成子问题,该问题的递推公式为:

public int JumpFloor(int n) {if (n <= 2)return n;int pre2 = 1, pre1 = 2;int result = 0;for (int i = 2; i < n; i++) {result = pre2 + pre1;pre2 = pre1;pre1 = result;}return result;}
