跟41题类似
https://leetcode-cn.com/problems/missing-number/submissions/


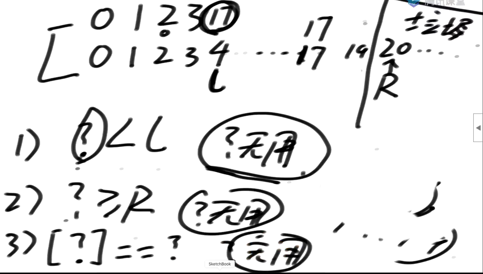
R表示的是最好预期,我现在还没看过所有的数,最好的情况是啥样的,
——> 0~N-1我每个数字都收集到了1个,没有重复值
那么我缺失的数字就是R,也就是N

L要么不动,
只要L往右动了,那么L左侧都是i位置上面放的数是i
如果此时L位置来了个纯无用的数,比如负数,那么让L的数与R左边一个数交换,然后R来到N-1位置

所以此时包括R在内往右就都是垃圾区,R变成N-1说明我的最好预期在变差,
现在把最好预期调整为0~N-2我每个数字都收集到了1个,没有重复值,
那么我缺失的数字就是R, 也就是N-1
现在再来看L位置是无用的数有哪些情况?

- 解释下第三种情况,
- L来到4位置,发现值是17,既不小于L也不大于等于R, 那么就把它发货到它该去的位置,也就是17位置,但发现17位置已经躺了个17了,那么就相当于我收集到了2个17,我的最好预期在变差
public int missingNumber(int[] arr) {//L左边都做到了i位置放的值是iint L = 0;int R = arr.length;while (L < R) {if (arr[L] == L) {L++;} else if (arr[L] < L || arr[L] >= R || arr[L] == arr[arr[L]]) {swap(arr, L, --R);} else {swap(arr, L, arr[L]);}}return L;}private void swap(int[] arr, int i, int j) {int tmp = arr[i];arr[i] = arr[j];arr[j] = tmp;}
