二叉树的相关概念请参考:二叉树_百度百科
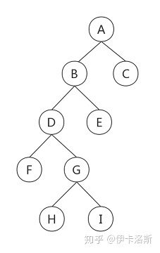
二叉树:

前序遍历A-B-D-F-G-H-I-E-C
中序遍历F-D-H-G-I-B-E-A-C
后序遍历F-H-I-G-D-E-B-C-A
前序(根左右),中序(左根右),后序(左右根)
例题1:
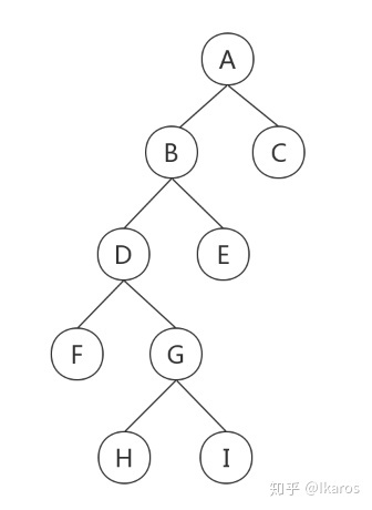
已知某二叉树的前序遍历为A-B-D-F-G-H-I-E-C,中序遍历为F-D-H-G-I-B-E-A-C,请还原这颗二叉树。
解题思路:
从前序遍历中,我们确定了根结点为A,在从中序遍历中得出 F-D-E-B-C 在根结点的左边,C在根结点的右边,那么我们就可以构建我们的二叉树的雏形。
那么剩下的前序遍历为B-D-F-G-H-I-E,中序遍历为F-D-H-G-I-B-E, B就是我们新的“根结点”,从中序遍历中得出F-D-H-G-I在B的左边,E在B的右边,继续构建
那么剩下的前序遍历为D-F-G-H-I,中序遍历为F-D-H-G-I,D就是我们新的“根结点”,从中序遍历中得出F在D的左边,H-G-I在D的右边,继续构建
那么剩下的前序遍历为G-H-I,中序遍历为H-G-I,G就是我们新的“根结点”,从中序遍历中得出H在G的左边,I在G的右边,继续构建
例题2:
已知某二叉树的中序遍历为F-D-H-G-I-B-E-A-C,后序遍历为F-H-I-G-D-E-B-C-A,请还原这颗二叉树。
解题思路:
从后序遍历中,我们确定了根结点为A,在从中序遍历中得出 F-D-E-B-C 在根结点的左边,C在根结点的右边,那么我们就可以构建我们的二叉树的雏形。
和前序和中序还原二叉树一样,我们同理可以通过中序和后序还原二叉树。
光有前序遍历和后序遍历是无法还原二叉树的。
作者:Ikaros
链接:https://zhuanlan.zhihu.com/p/73438175
来源:知乎
著作权归作者所有。商业转载请联系作者获得授权,非商业转载请注明出处。
