1. 两个链表的第一个公共节点
输入两个链表,找出它们的第一个公共节点。
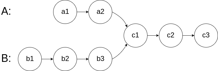
如下面的两个链表:
在节点 c1 开始相交。
示例 1:
输入:intersectVal = 8, listA = [4,1,8,4,5], listB = [5,0,1,8,4,5], skipA = 2, skipB = 3
输出:Reference of the node with value = 8
输入解释:相交节点的值为 8 (注意,如果两个列表相交则不能为 0)。从各自的表头开始算起,链表 A 为 [4,1,8,4,5],链表 B 为 [5,0,1,8,4,5]。在 A 中,相交节点前有 2 个节点;在 B 中,相交节点前有 3 个节点。
示例 2:

输入:intersectVal = 2, listA = [0,9,1,2,4], listB = [3,2,4], skipA = 3, skipB = 1
输出:Reference of the node with value = 2
输入解释:相交节点的值为 2 (注意,如果两个列表相交则不能为 0)。从各自的表头开始算起,链表 A 为 [0,9,1,2,4],链表 B 为 [3,2,4]。在 A 中,相交节点前有 3 个节点;在 B 中,相交节点前有 1 个节点。
示例 3:

输入:intersectVal = 0, listA = [2,6,4], listB = [1,5], skipA = 3, skipB = 2
输出:null
输入解释:从各自的表头开始算起,链表 A 为 [2,6,4],链表 B 为 [1,5]。由于这两个链表不相交,所以 intersectVal 必须为 0,而 skipA 和 skipB 可以是任意值。
解释:这两个链表不相交,因此返回 null。
思路:
- 双指针
- 同时扫描,如果相等返回指针指向的节点
- 如果指针为null,则指向另一个链表的头,继续扫描。
- 两个指针转换到另一个链表上后,必然可以同步走,找到交点
- 如果两链表没有交点,那么也会在互相扫描后,同时到达null,然后结束while循环,返回null
- 就是利用的 a+b = b+a , 最终必然同步。
public class Solution {public ListNode getIntersectionNode(ListNode headA, ListNode headB) {// 两个辅助指针ListNode temp1 = headA;ListNode temp2 = headB;while(temp1!=temp2){temp1 = temp1==null ? headB : temp1.next;temp2 = temp2==null ? headA : temp2.next;}return temp1;}}
