1. 两个链表的第一个公共节点
输入两个链表,找出它们的第一个公共节点.

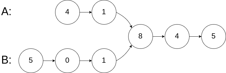
示例 1:输入:intersectVal = 8, listA = [4,1,8,4,5], listB = [5,0,1,8,4,5], skipA = 2, skipB = 3输出:Reference of the node with value = 8输入解释:相交节点的值为 8 (注意,如果两个列表相交则不能为 0)。从各自的表头开始算起,链表 A 为 [4,1,8,4,5],链表 B 为 [5,0,1,8,4,5]。在 A 中,相交节点前有 2 个节点;在 B 中,相交节点前有 3 个节点。
思路:
创建一个Set存放A链表中的所有data。 从头遍历B链表,直到找到第一个Set存在的值。返回这个值对应的节点。
思路:
- 双指针,同时遍历判断,到末尾就进行跳转到另一个链表(原本指向A的去指向B的头,原本指向B的去指向A的头)
- 判断条件 引用变量对应节点a 是否等于 引用变量对应节点b。
- 因为链表A和链表B在未到达公共链表的时候,可能有相同数据值的节点,因此不可用节点的data来进行判断是否为共同的节点,而是要用内存地址进行判断。
public class Solution {
public ListNode getIntersectionNode(ListNode headA, ListNode headB) {
ListNode temp1 = headA;
ListNode temp2 = headB;
while(temp1!=temp2){
temp1 = temp1==null ? headB : temp1.next;
temp2 = temp2==null ? headA : temp2.next;
}
return temp1;
}
}
- 刚开始不理解如何解决没有公共节点的情况,后来发现这种方法经过不断遍历,能够找到两个指针都为空的情况,这样就跳出了循环,并且返回null。
