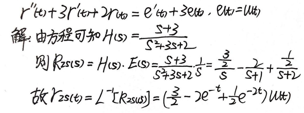
一、已知描述系统的微分方程和激励信号如下 r’’(t ) + 3r’(t ) +2r(t ) = e’(t)+3 e(t) ,e(t)=u(t) 。
1、 用复频域法求系统的零状态响应r(t );
2、利用MATLAB绘出系统零状态响应的时域仿真波形,并验证1)的结果是否正确,附程序代码和波形;
3、利用MATLAB绘出系统的冲激响应和阶跃响应波形,附程序代码和波形。
1.用复频域法求系统的零状态响应r(t );
对求得的零状态响应进行绘图:
t=0:0.01:10;y=heaviside(t);f=-2.*exp(-t).*y+1/2.*exp(-2.*t).*y+3/2.*y;plot(t,f);

2.利用 MATLAB 绘出系统零状态响应的时域仿真波形,并验证 1)的结果是否正确。
a=[1 3 2];b=[1 3];
p=0.01;t=0:p:5;
m=1.5+0.5*exp(-2*t)-2*exp(-t);
x=heaviside(t);
lsim(b,a,x,t);
hold on
plot(t,m,'*-')
hold off
legend('matlab时域波形','复频域法波形')
%{
hold on 和hold off,是相对使用的
前者的意思是,你在当前图的轴(坐标系)中画了一幅图,再画另一幅图时,原来的图还在,与新图共存,都看得到
后者表达的是,你在当前图的轴(坐标系)中画了一幅图,此时,状态是hold off,则再画另一幅图时,原来的图就看不到了,在轴上绘制的是新图,原图被替换了
%}

3、系统的冲激响应和阶跃响应波形
(1)冲激响应
a=[1 3 2];b=[1 3];
impulse(b,a)

(2)阶跃响应
a=[1 3 2]; b=[1 3];
step(b,a)

总结:
这个实验利用lsim函数绘出系统零状态响应的时域仿真波形,并验证(1)的结果的正确性。练习impulse函数和step函数的使用方法来绘制系统的冲激响应和阶跃响应。
