Ref: https://pdai.tech/md/algorithm/alg-domain-bigdata-bloom-filter.html
0.相关题目
- 给你 A,B 两个文件,各存放 50 亿条 URL,每条 URL 占用 64 字节,内存限制是 4G,让你找出 A,B 文件共同的 URL。如果是三个乃至 n 个文件呢?
根据这个问题我们来计算下内存的占用,4G=2^32 大概是 40 亿 * 8 大概是 340 亿,n=50 亿,如果按出错率 0.01 算需要的大概是 650 亿个 bit。现在可用的是 340 亿,相差并不多,这样可能会使出错率上升些。另外如果这些 urlip 是一一对应的,就可以转换成 ip,则大大简单了。
- 给定 a、b 两个文件,各存放 50 亿个 url,每个 url 各占 64 字节,内存限制是 4G,让你找出 a、b 文件共同的 url?
如果允许有一定的错误率,可以使用 Bloom filter,4G 内存大概可以表示 340 亿 bit。将其中一个文件中的 url 使用 Bloom filter 映射为这 340 亿 bit,然后挨个读取另外一个文件的 url,检查是否与 Bloom filter,如果是,那么该 url 应该是共同的 url (注意会有一定的错误率)。”
- 在 2.5 亿个整数中找出不重复的整数,注,内存不足以容纳这 2.5 亿个整数。
方案1: 采用 2-Bitmap (每个数分配 2bit,00 表示不存在,01 表示出现一次,10 表示多次,11 无意义) 进行,共需内存 2^32 * 2 bit=1 GB 内存,还可以接受。然后扫描这 2.5 亿个整数,查看 Bitmap 中相对应位,如果是 00 变 01,01 变 10,10 保持不变。所描完事后,查看 bitmap,把对应位是 01 的整数输出即可。
方案2: 也可采用分治,划分小文件的方法。然后在小文件中找出不重复的整数,并排序。然后再进行归并,注意去除重复的元素。
- 给 40 亿个不重复的 unsigned int 的整数,没排过序的,然后再给一个数,如何快速判断这个数是否在那 40 亿个数当中?
用位图 / Bitmap 的方法,申请 512M 的内存,一个 bit 位代表一个 unsigned int 值。读入 40 亿个数,设置相应的 bit 位,读入要查询的数,查看相应 bit 位是否为 1,为 1 表示存在,为 0 表示不存在。
1.布隆过滤器由来
布隆在 1970 年提出了布隆过滤器 (Bloom Filter),是一个很长的二进制向量 (可以想象成一个序列) 和一系列随机映射函数 (hash function)。可用于判断一个元素是否在一个集合中,查询效率很高 (1-N,最优能逼近于 1)。通常应用在一些需要快速判断某个元素是否属于集合,但是并不严格要求 100% 正确的场合。
特点
- 优点: 占用空间小,查询快
-
几个专业术语
这里有必要介绍一下 False Positive 和 False Negative 的概念:
False Positive: 中文可以理解为 “假阳性”,在这里表示,有可能把不属于这个集合的元素误认为属于这个集合
False Negative: 中文可以理解为 “假阴性”,Bloom Filter 是不存在 false negatived 的, 即不会把属于这个集合的元素误认为不属于这个集合 (False Negative)。
2.布隆过滤器应用场景
网页爬虫对URL的去重: 避免爬取相同的 URL 地址;
- 反垃圾邮件: 假设邮件服务器通过发送方的邮件域或者 IP 地址对垃圾邮件进行过滤,那么就需要判断当前的邮件域或者 IP 地址是否处于黑名单之中。如果邮件服务器的通信邮件数量非常大 (也可以认为数据量级上亿),那么也可以使用 Bloom Filter 算法;
- 缓存击穿: 将已存在的缓存放到布隆中,当黑客访问不存在的缓存时迅速返回避免缓存及 DB 挂掉;
- HTTP 缓存服务器: 当本地局域网中的 PC 发起一条 HTTP 请求时,缓存服务器会先查看一下这个 URL 是否已经存在于缓存之中,如果存在的话就没有必要去原始的服务器拉取数据了 (为了简单起见,我们假设数据没有发生变化),这样既能节省流量,还能加快访问速度,以提高用户体验。
- 黑/白名单: 类似反垃圾邮件。
- Bigtable: Google 著名的分布式数据库 Bigtable 使用了布隆过滤器来查找不存在的行或列,以减少磁盘查找的 IO 次数。
- Squid: 网页代理缓存服务器在 cachedigests 中使用了也布隆过滤器。
- Venti 文档存储系统: 也采用布隆过滤器来检测先前存储的数据。
- SPIN 模型检测器: 也使用布隆过滤器在大规模验证问题时跟踪可达状态空间。
- Chrome 加速安全浏览: Google Chrome 浏览器使用了布隆过滤器加速安全浏览服务。
- Key-Value 系统: 在很多 Key-Value 系统中也使用了布隆过滤器来加快查询过程,如 Hbase,Accumulo,Leveldb,一般而言,Value 保存在磁盘中,访问磁盘需要花费大量时间,然而使用布隆过滤器可以快速判断某个 Key 对应的 Value 是否存在,因此可以避免很多不必要的磁盘 IO 操作,只是引入布隆过滤器会带来一定的内存消耗。
- HTTP Proxy-Cache: 在 Internet Cache Protocol 中的 Proxy-Cache 很多都是使用 Bloom Filter 存储 URLs,除了高效的查询外,还能很方便得传输交换 Cache 信息。
网络应用: P2P 网络中查找资源操作,可以对每条网络通路保存 Bloom Filter,当命中时,则选择该通路访问。广播消息时,可以检测某个 IP 是否已发包。检测广播消息包的环路,将 Bloom Filter 保存在包里,每个节点将自己添加入 Bloom Filter。信息队列管理,使用 Counter Bloom Filter 管理信息流量。
3.布隆过滤器实现
Bloom Filter 在很多开源框架都有实现,例如:
Elasticsearch: org.elasticsearch.common.util.BloomFilter
- guava: com.google.common.hash.BloomFilter
- Hadoop: org.apache.hadoop.util.bloom.BloomFilter (基于 BitSet 实现)
以 BitSet 实现方式为例
创建一个 m 位 BitSet,先将所有位初始化为 0,然后选择 k 个不同的哈希函数。第 i 个哈希函数对字符串 str 哈希的结果记为h(i, str),且h(i, str)的范围是 0 到 m-1 。加入字符串过程
下面是每个字符串处理的过程,首先是将字符串 str “记录” 到 BitSet 中的过程:对于字符串 str,分别计算 h(1, str),h(2, str)…… h(k, str)。然后将 BitSet 的第 h(1, str)、h(2, str)…… h(k, str) 位设为 1。
这样就将字符串 str 映射到 BitSet 中的 k 个二进制位了。检查字符串是否存在的过程
下面是检查字符串 str 是否被 BitSet 记录过的过程: 对于字符串 str,分别计算 h(1, str),h(2, str)…… h(k, str)。然后检查 BitSet 的第 h(1, str)、h(2, str)…… h(k, str) 位是否为 1,若其中任何一位不为 1 则可以判定 str 一定没有被记录过。若全部位都是 1,则 “认为” 字符串 str 存在。 若一个字符串对应的 Bit 不全为 1,则可以肯定该字符串一定没有被 Bloom Filter 记录过。(这是显然的,因为字符串被记录过,其对应的二进制位肯定全部被设为 1 了)以 BitSet 实现代码
```java package algorithm; import java.util.BitSet;
public class BloomFilter {
/* BitSet初始分配2^24个bit */private static final int DEFAULT_SIZE = 1 << 25;private BitSet bits = new BitSet(DEFAULT_SIZE);/* 不同哈希函数的种子,一般应取质数 */private static final int[] seeds = new int[]{ 5, 7, 11, 13, 31, 37, 61 };/* 哈希函数对象 */private SimpleHash[] func = new SimpleHash[seeds.length];public BloomFilter() {for (int i = 0; i < seeds.length; i++) {func[i] = new SimpleHash(DEFAULT_SIZE, seeds[i]);}}// 将字符串标记到bits中public void add(String value) {for (SimpleHash f : func) {bits.set(f.hash(value), true);}}// 判断字符串是否已经被bits标记public boolean contains(String value) {if (value == null) {return false;}boolean ret = true;for (SimpleHash f : func) {ret = ret && bits.get(f.hash(value));}return ret;}/* 哈希函数类 */public static class SimpleHash {private int cap;private int seed;public SimpleHash(int cap, int seed) {this.cap = cap;this.seed = seed;}// hash函数,采用简单的加权和hashpublic int hash(String value) {int result = 0;int len = value.length();for (int i = 0; i < len; i++) {result = seed * result + value.charAt(i);}return (cap - 1) & result;}}
4.误报率 - False Positive Rate
误报率的产生
初始状态下,Bloom Filter 是一个 m 位的位数组,且数组被 0 所填充。同时,我们需要定义 k 个不同的 hash 函数,每一个 hash 函数都随机的将每一个输入元素映射到位数组中的一个位上。那么对于一个确定的输入,我们会得到 k 个索引。
插入元素:经过 k 个 hash 函数的映射,我们会得到 k 个索引,我们把位数组中这 k 个位置全部置 1 (不管其中的位之前是 0 还是 1)
查询元素:输入元素经过 k 个 hash 函数的映射会得到 k 个索引,如果位数组中这 k 个索引任意一处是 0,那么就说明这个元素不在集合之中;如果元素处于集合之中,那么当插入元素的时候这 k 个位都是 1。但如果这 k 个索引处的位都是 1,被查询的元素就一定在集合之中吗?答案是不一定,也就是说出现了 False Positive 的情况 (但 Bloom Filter 不会出现 False Negative 的情况)
在上图中,当插入 x、y、z 这三个元素之后,再来查询 w,会发现 w 不在集合之中,而如果 w 经过三个 hash 函数计算得出的结果所得索引处的位全是 1,那么 Bloom Filter 就会告诉你,w 在集合之中,实际上这里是误报,w 并不在集合之中。
误报率的计算
Bloom Filter 的误报率到底有多大?下面在数学上进行一番推敲。假设 HASH 函数输出的索引值落在 m 位的数组上的每一位上都是等可能的。那么,对于一个给定的 HASH 函数,在进行某一个运算的时候,一个特定的位没有被设置为 1 的概率是
那么,对于所有的 k 个 HASH 函数,都没有把这个位设置为 1 的概率是
如果我们已经插入了 n 个元素,那么对于一个给定的位,这个位仍然是 0 的概率是
那么,如果插入 n 个元素之后,这个位是 1 的概率是
如果对一个特定的元素存在误报,那么这个元素的经过 HASH 函数所得到的 k 个索引全部都是 1,概率也就是
根据常数 e 的定义,可以近似的表示为:
减少误报率:最优的哈希函数个数
既然 Bloom Filter 要靠多个哈希函数将集合映射到位数组中,那么应该选择几个哈希函数才能使元素查询时的错误率降到最低呢?这里有两个互斥的理由:
- 如果哈希函数的个数多,那么在对一个不属于集合的元素进行查询时得到 0 的概率就大;
- 但另一方面,如果哈希函数的个数少,那么位数组中的 0 就多。
为了得到最优的哈希函数个数,我们需要根据上一小节中的错误率公式进行计算。
先用 p 和 f 进行计算。注意到 f = exp (k ln (1 − e−kn/m)),我们令 g = k ln (1 − e−kn/m),只要让 g 取到最小,f 自然也取到最小。由于 p = e-kn/m,我们可以将 g 写成
根据对称性法则可以很容易看出当 p = 1/2,也就是 k = ln2・(m/n) 时,g 取得最小值。在这种情况下,最小错误率 f 等于 (1/2) k ≈ (0.6185) m/n。另外,注意到 p 是位数组中某一位仍是 0 的概率,所以 p = 1/2 对应着位数组中 0 和 1 各一半。换句话说,要想保持错误率低,最好让位数组有一半还空着。
需要强调的一点是,p = 1/2 时错误率最小这个结果并不依赖于近似值 p 和 f。同样对于 f’ = exp (k ln (1 − (1 − 1/m) kn)),g’ = k ln (1 − (1 − 1/m) kn),p’ = (1 − 1/m) kn,我们可以将 g’写成
同样根据对称性法则可以得到当 p’ = 1/2 时,g’取得最小值。
减少误报率:位数组的大小
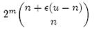
在不超过一定错误率的情况下,Bloom Filter 至少需要多少位才能表示全集中任意 n 个元素的集合?假设全集中共有 u 个元素,允许的最大错误率为є,下面我们来求位数组的位数 m。
假设 X 为全集中任取 n 个元素的集合,F (X) 是表示 X 的位数组。那么对于集合 X 中任意一个元素 x,在 s = F (X) 中查询 x 都能得到肯定的结果,即 s 能够接受 x。显然,由于 Bloom Filter 引入了错误,s 能够接受的不仅仅是 X 中的元素,它还能够є (u - n) 个 false positive。因此,对于一个确定的位数组来说,它能够接受总共 n + є (u - n) 个元素。在 n + є (u - n) 个元素中,s 真正表示的只有其中 n 个,所以一个确定的位数组可以表示
个集合。m 位的位数组共有 2m 个不同的组合,进而可以推出,m 位的位数组可以表示
个集合。全集中 n 个元素的集合总共有
个,因此要让 m 位的位数组能够表示所有 n 个元素的集合,必须有
即:
上式中的近似前提是 n 和єu 相比很小,这也是实际情况中常常发生的。根据上式,我们得出结论:在错误率不大于є的情况下,m 至少要等于 n log2 (1/є) 才能表示任意 n 个元素的集合。
上一小节中我们曾算出当 k = ln2・(m/n) 时错误率 f 最小,这时 f = (1/2) k = (1/2) mln2 /n。现在令 f≤є,可以推出
这个结果比前面我们算得的下界 n log2 (1/є) 大了 log2 e ≈ 1.44 倍。这说明在哈希函数的个数取到最优时,要让错误率不超过є,m 至少需要取到最小值的 1.44 倍。
5.拓展: Counting Bloom Filter
从前面对 Bloom Filter 的介绍可以看出,标准的 Bloom Filter 是一种很简单的数据结构,它只支持插入和查找两种操作。在所要表达的集合是静态集合的时候,标准 Bloom Filter 可以很好地工作,但是如果要表达的集合经常变动,标准 Bloom Filter 的弊端就显现出来了,因为它不支持删除操作。
Counting Bloom Filter 的出现解决了这个问题,它将标准 Bloom Filter 位数组的每一位扩展为一个小的计数器 (Counter),在插入元素时给对应的 k (k 为哈希函数个数) 个 Counter 的值分别加 1,删除元素时给对应的 k 个 Counter 的值分别减 1。Counting Bloom Filter 通过多占用几倍的存储空间的代价,给 Bloom Filter 增加了删除操作。下一个问题自然就是,到底要多占用几倍呢?
我们先计算第 i 个 Counter 被增加 j 次的概率,其中 n 为集合元素个数,k 为哈希函数个数,m 为 Counter 个数 (对应着原来位数组的大小):
上面等式右端的表达式中,前一部分表示从 nk 次哈希中选择 j 次,中间部分表示 j 次哈希都选中了第 i 个 Counter,后一部分表示其它 nk – j 次哈希都没有选中第 i 个 Counter。因此,第 i 个 Counter 的值大于 j 的概率可以限定为:
上式第二步缩放中应用了估计阶乘的斯特林公式:
在 Bloom Filter 概念和原理一文中,我们提到过 k 的最优值为 (ln2) m/n,现在我们限制 k ≤ (ln2) m/n,就可以得到如下结论:
如果每个 Counter 分配 4 位,那么当 Counter 的值达到 16 时就会溢出。这个概率为:
这个值足够小,因此对于大多数应用程序来说,4 位就足够了。
6.拓展:其它
- Data synchronization:Byers 等人提出了使用布隆过滤器近似数据同步。
- Bloomier filters:Chazelle 等人提出了一个通用的布隆过滤器,该布隆过滤器可以将某一值与每个已经插入的元素关联起来,并实现了一个关联数组 Map。与普通的布隆过滤器一样,Chazelle 实现的布隆过滤器也可以达到较低的空间消耗,但同时也会产生 false positive,不过,在 Bloomier filter 中,某 key 如果不在 map 中,false positive 在会返回时会被定义出的。该 Map 结构不会返回与 key 相关的在 map 中的错误的值。
- Compact approximators
- Stable Bloom filters
- Scalable Bloom filters
- Attenuated Bloom filters
