基础概念
树状数组是用数组来模拟树形结构,可以解决大部分基于区间上的更新以及求和问题。树状数组中修改和查询的复杂度都是O(logN),树状数组一般用于「单点更新」和「前缀和查询」
黑色数组代表原来的数组(下面用A[i]代替),红色树代表我们的树状数组(下面用C[i]代替)。树状数组每个位置只有一个方框,每个位置存的就是子节点的值的和:
- C[1] = A[1];
- C[2] = A[1] + A[2];
- C[3] = A[3];
- C[4] = A[1] + A[2] + A[3] + A[4];
- C[5] = A[5];
- C[6] = A[5] + A[6];
- C[7] = A[7];
- C[8] = A[1] + A[2] + A[3] + A[4] + A[5] + A[6] + A[7] + A[8];
「 这棵树的节点值是有规律的 」
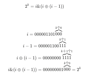
其中,k 为 i 的二进制数中从最低位到高位的连续零的长度,举个例子
lowBit
「 i 的二进制数中从最低位到高位的连续零的长度应该如何求取」
还有一种更简单的公式
- 当 i 为 0 时,结果为 0
- 当 i 为奇数时,结果为 1
-
update
「如何更新某个点的值」
如果我们更新了某个A[i]的值,则会影响所有包含A[i]的树状数组的位置,A[i]包含于
其中,k1 是 i 的lowbit, k2 是 i + 2^k1 的lowbit,以此类推,同样举个例子 例如
A[1]包含于
建立一个树状数组
int n;int[] c = new int[n + 5];public int lowbit(int i){return i & (-i);}public void update(int i, int k){//在i的位置加上k//即a[i]的值修改,会影响若干个c的值while(i <= n){c[i] += k;i += lowbit(i);}}public int query(int i){//求sum_i,即a[1]到a[i]的和int sum = 0;while(i > 0){sum += c[i];i -= lowbit[i];}return sum;}
