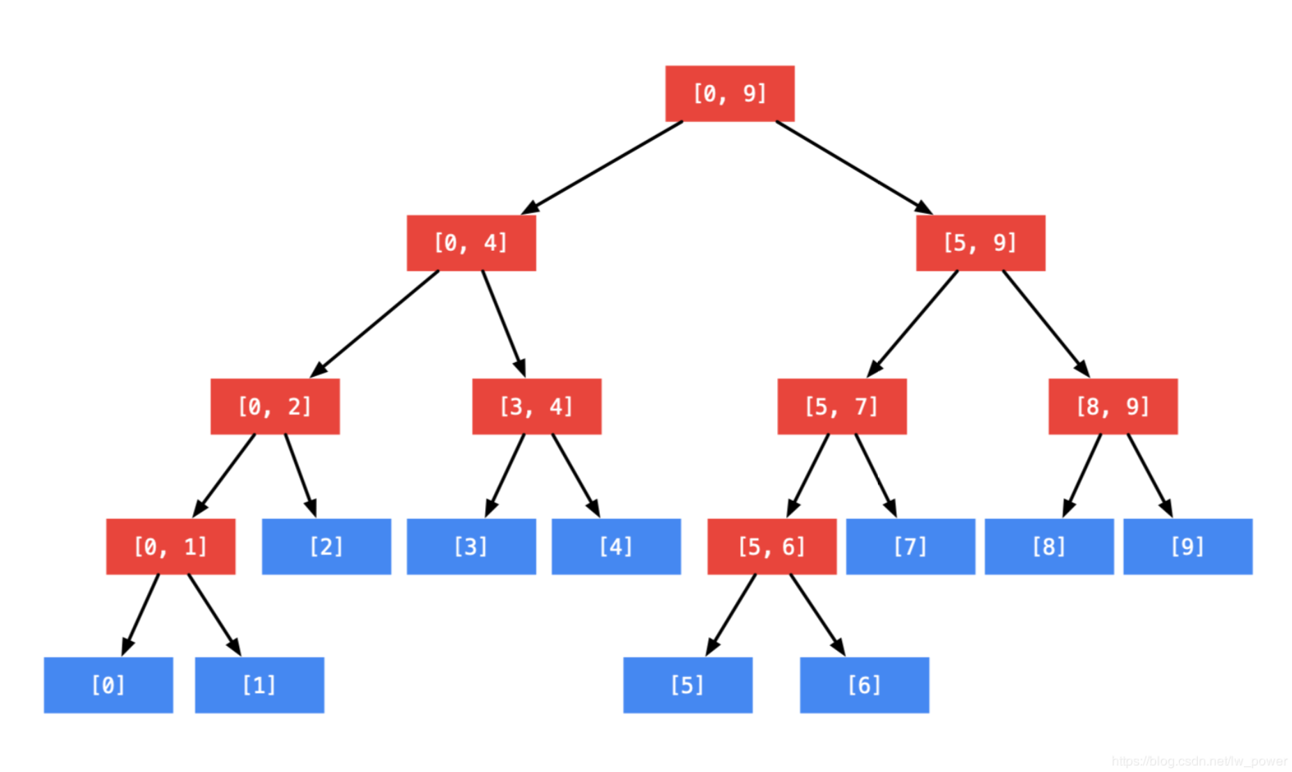
线段树(segment tree)是一棵二叉树;线段树又称「区间树」,是一个高级数据结构,应用的对象是「数组」;线段树是一种实现了高效的「区间/单点更新」与「区间查询」的数据结构。
若有收获,就点个赞吧
0 人点赞
让时间为你证明