函数加工
给定一个函数 f,可以 1~5 的数字等概率返回一个。请加工出 1~7 的数字等概率返回一个的函数 g。
思路:先将函数 f 转化为能随机得到 0、1的函数 r01 ,然后将 r01 没得到一个数就放到一个二进制位上,得到想要的范围内的数,如果超出范围就重新随机
代码实现:
public class Rand5ToRand7 {/*** 1 ~ 5*/public static int f() {return (int) (Math.random() * 5 + 1);}/*** 0 1*/public static int r01() {int num = 0;// 如果等于 3 就一直循环do {num = f();} while (num == 3);return num > 3 ? 0 : 1;}/*** 1 ~ 7*/public static int g() {// 1 ~ 7 = (0 ~ 6) + 1// 6 是使用 3 个二进制位就可以表示,如果大于 6 就重新随机int num = 0;do {num = (r01() << 2) + (r01() << 1) + r01();} while (num > 6);return num + 1;}public static void main(String[] args) {for (int i = 10; i > 0; i--) {System.out.println(g());}}}
给定一个函数 f,可以 a~b 的数字等概率返回一个。请加工出 c~d 的数字等概率返回一个的函数 g。
同样的思路:
- 将 f 加工为 0、1 发生器 r01,具体步骤:
- 计算 f 范围的中间值,
mid = (b+a)/2 - 如果
b+a是偶数,f() < mid为 1,f() > mid为 0,f() == mid重新执行;如果b+a是奇数,f() <= mid为 1,f() > mid为 0
- 计算 f 范围的中间值,
- r01 加工为
0 ~ (d-c)范围,用 r01 代表二进制的每一位,超出范围就重新执行 - 返回结果 + c 就是在 c~d 范围
给定一个函数 f,以 p 概率返回 0,以 1-p 概率返回 1。请加工出等概率返回 0 和 1 的函数 g。
思路:
让函数 f 执行两次,如果结果为 00 或者 11 就重新执行两次;如果结果是 01 返回 0;结果是 10 返回 1。
f 执行两次的结果概率为:
- 00 : p*p
- 11 : (1-p) * (1-p)
- 01 : p * (1-p)
- 10 : (1-p) * p
n 个二叉树
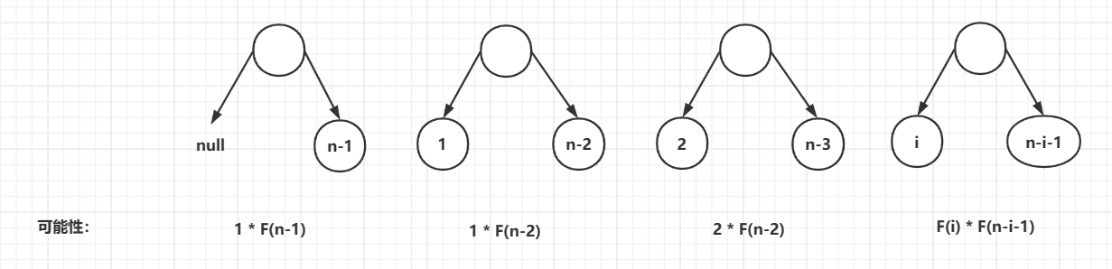
给定一个非负整数 n,代表二叉树的节点个数。返回能形成多少种不同的二叉树结构
思路:
对于 n 个节点来说,存在如下情况:
- n = 0,一种情况空节点
- n = 1,一种情况单节点
- n = 2,两种情况,头节点+左子节点、头节点+右子节点
- n = i,……

代码实现:
public class UniqueBST {/*** 递归版本*/public static int numTrees(int n) {if (n < 0) return 0;if (n == 0) return 1;if (n == 1) return 1;if (n == 2) return 2;int res = 0;for (int leftNum = 0; leftNum <= n - 1; leftNum++) {int leftWays = numTrees(leftNum);int rightWays = numTrees(n - 1 - leftNum);res += leftWays * rightWays;}return res;}/*** 动态规划*/public static int numTrees1(int n) {if (n < 2) {return 1;}int[] num = new int[n + 1];num[0] = 1;for (int i = 1; i < n + 1; i++) {for (int j = 0; j <= i - 1; j++) {num[i] += num[j] * num[i - j - 1];}}return num[n];}public static void main(String[] args) {for (int i = 0; i < 15; i++) {System.out.println(numTrees(i));System.out.println(numTrees1(i));}}}
完整的括号
一个完整的括号字符串定义规则如下:
- 空字符串是完整的。
- 如果
s是完整的字符串,那么(s)也是完整的。 - 如果
s和t是完整的字符串,将它们连接起来形成的st也是完整的。
例如,"(()())"、"" 和 "(())()" 是完整的括号字符串,"())("、"()(" 和 ")" 是不完整的括号字符串。
牛牛有一个括号字符串 s,现在需要在其中任意位置尽量少地添加括号,将其转化为一个完整的括号字符串。请问牛牛至少需要添加多少个括号?
思路一:
如果将能匹配的括号对“消除掉”后,剩下的就是不能匹配的括号,有多少这样不能匹配的括号就会需要添加多少括号。具体步骤:
- 新建一个栈
- 将字符串按顺序遍历,当前字符为 cur,判断当前的 cur 是否组成了括号对,是否需要被“消除”
- 如果栈为空,将 cur 放入栈中
- 如果栈不为空,且 cur 为左括号,那就取栈顶元素是否为右括号,如果是右括号说明能组成括号对,将栈顶弹出,相当于执行了“消除”
- 如果栈不为空,且 cur 为右括号,说明不能组成括号对,直接放入栈中
- 此时,在栈中就是不能组成括号对的数量,即:需要添加多少括号
思路二:
思路一的优点是只需要遍历一次字符串就能得到结果,但是在需要使用容器来存放不能匹配的括号,那么能不能优化栈使用的空间呢?可以使用统计括号的思路:
首先,如果判断一个字符串是否是完整的括号字符串,就可以这样统计:
- 一个统计值 count
- 遍历字符串,如果遇到左括号就 ++,遇到右括号就 —
- 如果 count 出现负数的情况,就说明出现了
)(这样的括号。也就是说出现了不能匹配的括号,遍历结束 - 如果遍历完成 count == 0,且中间未出现 count < 0 的情况,说明了该字符串是完整括号字符串
伪代码如下:
boolean isParentheses(String str) {int count = 0;for (int i = 0; i < str.length(); i++) {char c = str.charAt(i);if (c == '(') {count ++;} else {count --;if (count < 0) {return false;}}}return count == 0;}
上面的逻辑就解决是否是完整的括号字符串的问题,适当改造下就可以用来解决需要添加多少个括号的问题,现在逻辑上找到不能匹配的情况:
- count < 0 时,说明出现了不能匹配的情况
- 最后遍历完成 count != 0 时,说明有不能匹配的情况
count 统计了左括号被“消除”后多出来的数量,needNum 统计了右括号多出来的数量,最后的结果就是 count + needNum
做如下改造:
int needParentheses(String str) {int needNum = 0;int count = 0;for (int i = 0; i < str.length(); i++) {char c = str.charAt(i);if (c == '(') {count ++;} else {count --;if (count == -1) {count = 0;needNum ++;}}}return count + needNum;}
思路二其实使用两个变量来代替了原先的“消除”步骤
最后的代码实现:
import java.util.Stack;public class NeedParentheses {// 思路一public static int needParentheses(String str) {Stack<Character> stack = new Stack<>();for (int i = 0; i < str.length(); i++) {char c = str.charAt(i);if (!stack.isEmpty()) {if (c == ')' && stack.peek() == '(') {stack.pop();} else {stack.push(c);}} else {stack.push(c);}}return stack.size();}// 思路二public static int needParentheses1(String str) {int leftRest = 0;int needSolveRight = 0;for (int i = 0; i < str.length(); i++) {if (str.charAt(i) == '(') {leftRest++;} else {if (leftRest == 0) {needSolveRight++;} else {leftRest--;}}}return leftRest + needSolveRight;}public static void main(String[] args) {System.out.println(needParentheses("())("));System.out.println(needParentheses1("())("));System.out.println(needParentheses("()("));System.out.println(needParentheses1("()("));System.out.println(needParentheses("("));System.out.println(needParentheses1("("));System.out.println(needParentheses("(((())((("));System.out.println(needParentheses1("(((())((("));}}
去重数字对
给定一个数组arr,求差值为 k 的去重数字对。
例如:
数组为 [3,2,5,7,0,0],k 为 2,那么去重的数字对就为:3,5、5,7、0,2。
因为是去重的,所以即使有两个 0 也不能出现两次 0,2;也不能出现 3,5 5,3 这样的顺序不同的重复
思路:使用哈希表记录数组的值,然后遍历数组,判断该值 +k 后的值是否在哈希表中是否存在,如果存在就说明这两个数组成了一对
代码实现:
package com.leetcodetest.middle;import java.util.ArrayList;import java.util.HashMap;import java.util.List;import java.util.Map;public class SubValueEqualK {public static List<List<Integer>> allPair(int[] arr, int k) {Map<Integer, Integer> map = new HashMap<>();for (int i : arr) {map.put(i, i + 2);}List<List<Integer>> list = new ArrayList<>();for (Map.Entry<Integer, Integer> entry : map.entrySet()) {if (map.containsKey(entry.getValue())) {List<Integer> pair = new ArrayList<>();pair.add(entry.getKey());pair.add(entry.getValue());list.add(pair);}}return list;}public static void main(String[] args) {int[] arr = {3, 2, 5, 7, 0, 0};System.out.println(allPair(arr, 2));}}
magic 操作
给一个包含 n 个整数元素的集合 a,一个包含 m 个整数元素的集合 b。 定义 magic 操作为,从一个集合中取出一个元素,放到另一个集合里,且操作过后每个集合的平均值都大于操作前。 注意以下两点:
- 不可以把一个集合的元素取空,这样就没有平均值了
- 值为 x 的元素从集合 b 取出放入集合 a,但集合 a 中已经有值为 x 的元素,则a的平均值不变(因为集合元素不会重复),b的平均值可能会改变(因为 x 被取出了)
问最多可以进行多少次 magic 操作?
思路:
假设:
- a 的平均值等于 b 的平均值,平均值都为 100:
- 如果从 a 取出大于 100 的数,a 的平均值会减少,不成立
- 如果从 a 取出等于 100 的数,a 的平均值不变,不成立
- 如果从 a 取出小于 100 的数,a 的平均值变大,b 的平均值变小,不成立
所以,本情况不成立
- a 的平均值 50 小于 b 的平均值 100:
- 如果从 a 取出大于 50 的数,a 的平均值会减少,不成立
- 如果从 a 取出等于 50 的数,a 的平均值不变,b 的平均值变小,不成立
- 如果从 a 取出小于 50 的数,b 的平均值会减少,不成立
- a 的平均值 100 大于 b 的平均值 50:
- 如果从 a 取出大于 100 的数,a 的平均值会减少,不成立
- 如果从 a 取出等于 100的数,a 的平均值不变,b 的平均值变大,不成立
- 如果从 a 取出小于 100 的数,a 的平均值变大
- 若该数大于 50,b 的平均值变大,成立
- 若该数小于 50,b 的平均值变小,不成立
综上,确立了条件:只有当 a 的平均值 大于 b 的平均值,取出 x 小于 a 的平均值且大于 b 的平均值时,才能满足条件。
那么应该怎么取 x 呢?
假设,a = {60, 70, 80, 90, 100, 110, 120, 130, 140} 平均值为 100,b = {50} 平均值为 50,此时,满足 x 小于 a 的平均值且大于 b 的平均值 的值有 {60, 70, 80, 90}。
- 从小到大取 60,取出 60 后,对 a 的平均值提升最大,变成 105;对 b 的平均值提升最小,变成 55; x 的取值范围,从 [50, 100] 变成 [55, 105]
- 从大到小取 90,取出 90 后,对 a 的平均值提升最小,变成 101;对 b 的平均值提升最大,变成 70; x 的取值范围,从 [50, 100] 变成 [70, 101],变小了
综上,取 x 应该从小到大取
最多可以取多少次 magic 呢?
由于 x 的取值范围会发生变化,在具体到多少次的计算中,应该每次取完数后重新去下一个数,直到取出最后一个数为止。
代码实现:
import java.util.ArrayList;import java.util.Arrays;import java.util.List;public class MagicOp {// 请保证arr1无重复值、arr2中无重复值,且arr1和arr2肯定有数字public static int maxOps(int[] arr1, int[] arr2) {// 排序Arrays.sort(arr1);Arrays.sort(arr2);// 和int sum1 = Arrays.stream(arr1).sum();int sum2 = Arrays.stream(arr2).sum();// 平均值double avg1 = sum1 / arr1.length;double avg2 = sum2 / arr2.length;if (avg2 >= avg1) return 0;List<Integer> optList = new ArrayList<>();Integer min = null;while (avg1 > avg2) {// 找到 > avg2 && < avg1 的最小的值for (int item : arr1) {if (item > avg2 && item < avg1 && !optList.contains(item)) {min = item;break;}}if (min == null || arr1.length == optList.size() + 1) {// 获取不到满足条件的值 或 已经要把 arr1 取完了 就停止break;}optList.add(min);// 重算平均值sum1 -= min;sum2 += min;avg1 = sum1 / (arr1.length - optList.size());avg2 = sum2 / (arr2.length + optList.size());System.out.println("取出 " + min + " 新的范围是 [" + avg2 + ", " + avg1 + "]");}return optList.size();}public static void main(String[] args) {System.out.println(maxOps(new int[]{60, 70, 80, 90, 100, 110, 120, 130, 140}, new int[]{50}));}}
数字转字符串
将给定的数转换为字符串,原则如下:1 对应 a,2 对应 b,…..26 对应 z,例如 12258
可以转换为 “abbeh”、”aveh”、”abyh”、”lbeh” 和 “lyh”,个数为 5,编写一个函数,给出可以转换的不同字符串的个数。
思路:
遍历字符串,从 i 位置开始:
- i 不等于 0,直接转为字母,
- i 等于 0 不能单独转为字母,必须和前面的 i-1 组合
- i 和 i + 1 组成的数字转为字母,不能大于 26
开始递归
public class NumToStringWays {// 递归public static int convertWays1(int num) {if (num <= 0) return 0;return process(num + "", 0);}public static int process(String str, int index) {if (index == str.length()) return 1;if (str.charAt(index) == '0') { // 不能以 0 开头,只能和之前的数组合return 0;}int res = 0;res += process(str, index + 1);if (str.length() >= index + 2) {if (Integer.parseInt(str.substring(index, index + 2)) <= 26) {res += process(str, index + 2);}}return res;}// 动态规划public static int convertWays2(int num) {if (num <= 0) return 0;String str = num + "";int length = str.length();int[] dp = new int[length + 1];dp[length] = 1;dp[length - 1] = str.charAt(length - 1) == '0' ? 0 : 1;for (int i = length - 2; i >= 0; i--) {if (str.charAt(i) == '0') {dp[i] = 0;} else {dp[i] = dp[i + 1];if (Integer.parseInt(str.substring(i, i + 2)) <= 26)dp[i] += dp[i + 2];}}return dp[0];}public static void main(String[] args) {System.out.println(convertWays1(12258));System.out.println(convertWays1(12));System.out.println(convertWays1(122));System.out.println(convertWays1(1207));System.out.println("=================");System.out.println(convertWays2(12258));System.out.println(convertWays2(12));System.out.println(convertWays2(122));System.out.println(convertWays2(1207));}}
括号的深度
一个合法的括号匹配序列有以下定义:
- 空串
""是一个合法的括号匹配序列 - 如果
"X"和"Y"都是合法的括号匹配序列,"XY"也是一个合法的括号匹配序列 - 如果
"X"是一个合法的括号匹配序列,那么"(X)"也是一个合法的括号匹配序列 - 每个合法的括号序列都可以由以上规则生成。
例如:""、"()"、"()()"、"((()))" 都是合法的括号序列
对于一个合法的括号序列我们又有以下定义它的深度:
- 空串
""的深度是 0 - 如果字符串
"X"的深度是x,字符串"Y"的深度是y,那么字符串"XY"的深度为max(x, y) - 如果
"X"的深度是x,那么字符串"(X)"的深度是x+1
例如:"()()()" 的深度是 1"((()))" 的深度是3
牛牛现在给你一个合法的括号序列,需要你计算出其深度。
思路:
首先如何判断一个字符串是否是合法的括号序列呢?
一般我们首先会想到:使用栈结构。遍历字符串,遇到左括号保存到栈中;遇到右括号就将栈顶弹出。如果整个遍历过程中栈不为空,且遍历完成后栈为空,那么说明是合法的括号序列。
利用上面的逻辑稍加改造就可以完成本题,在本题中会给出一个合法的括号序列,那么在栈中的左括号数量最多时,就是给出的序列最大的深度。
也可以稍微优化下,不使用栈,而是使用一个变量来记录遍历的最大深度。
import java.util.Stack;public class ParenthesesDeep {public static int deep1(String str) {if (str == null && str == "") return 0;int deep = 0;Stack<Character> stack = new Stack<>();for (int i = 0; i < str.length(); i++) {if (str.charAt(i) == '(') {stack.push('(');} else {stack.pop();}deep = Math.max(deep, stack.size());}return deep;}public static int deep2(String str) {if (str == null && str == "") return 0;int curDeep = 0;int deep = 0;for (int i = 0; i < str.length(); i++) {if (str.charAt(i) == '(') {curDeep++;} else {curDeep--;}deep = Math.max(curDeep, deep);}return deep;}public static void main(String[] args) {System.out.println(deep1("()()()"));System.out.println(deep1("((()))"));System.out.println(deep1("((())((())()))"));System.out.println(deep2("()()()"));System.out.println(deep2("((()))"));System.out.println(deep2("((())((())()))"));}}
上面的简直 so easy,那么如果改为这样的问题呢:
给出一堆有左右括号组成的字符串,求出最长合法的括号序列的长度?
思路一:
题意也就是要找到最大的合法子串,那就要知道什么不时候不合法:右括号比左括号多的时候不合法。
在不合法时,记录已找到合法的子串长度,找到最大的长度即可
思路二:
遍历字符串,求出每个右括号结尾的合法字符串的长度,然后找到最大值
代码实现:
// 思路一public static int maxLength(String str) {if (str == null && str == "") return 0;int maxLength = 0;int curLength = 0;int leftNum = 0;for (int i = 0; i < str.length(); i++) {if (str.charAt(i) == '(') {leftNum++;} else {if (leftNum > 0) {leftNum--;curLength += 2;} else {curLength = 0;}maxLength = Math.max(maxLength, curLength);}}return maxLength;}// 思路二public static int maxLength1(String str) {if (str == null || str.equals("")) {return 0;}char[] chas = str.toCharArray();int[] dp = new int[chas.length];int pre = 0;int res = 0;for (int i = 1; i < chas.length; i++) {if (chas[i] == ')') { // 只有右括号才能结尾// 假设合法,和 i 匹配的左括号的下标pre = i - dp[i - 1] - 1;if (pre >= 0 && chas[pre] == '(') {// 如果上一个右括号能组成解法序列,那么 i 下标就是 i-i 的结果 + 2 + 上一个子串的长度dp[i] = dp[i - 1] + 2 + (pre > 0 ? dp[pre - 1] : 0);}}res = Math.max(res, dp[i]);}return res;}
有序栈
请编写一个程序,对一个栈里的整型数据,按升序进行排序(即排序前,栈里的数据是无序的,排序后最大元素位于栈顶),要求最多只能使用一个额外的栈存放临时数据,但不得将元素复制到别的数据结构中。
思路:
一个辅助栈 help,保证该栈中数据有序且小元素在栈顶。
遍历栈 cur = stack.pop();:
- 如果 help 为空,就直接将 cur 压入 help 中
- 如果 help 不为空,取 help 栈顶元素和 cur 做比较:
- 栈顶元素 比 cur 大,将 cur 压入help
- 栈顶元素 比 cur 小,将栈顶弹出并压入 stack 中,直到新的栈顶比 cur 大,将 cur 压入;或者 help 元素为空
- 将上述操作执行完成后,stack 为空,help 中所有元素都是有序且栈顶为最小元素,依次将 help 所有元素弹出压入 stack

代码实现:
import java.util.Stack;public class SortStack {public static void sortStack(Stack<Integer> stack) {if (stack == null || stack.isEmpty()) return;// 小元素在上的栈Stack<Integer> minStack = new Stack<>();while (!stack.isEmpty()) {Integer top = stack.pop();while (!minStack.isEmpty() && minStack.peek() < top) {stack.push(minStack.pop());}minStack.push(top);}while (!minStack.isEmpty()) stack.push(minStack.pop());}public static void main(String[] args) {Stack<Integer> stack = new Stack<Integer>();stack.push(3);stack.push(1);stack.push(6);stack.push(2);stack.push(5);stack.push(4);sortStack(stack);System.out.println(stack.pop());System.out.println(stack.pop());System.out.println(stack.pop());System.out.println(stack.pop());System.out.println(stack.pop());System.out.println(stack.pop());}}
最大权值
二叉树每个结点都有一个 int 型权值,给定一棵二叉树,要求计算出从根结点到叶结点的所有路径中,权值和最大的值为多少。
思路一:
对于树中任意的节点来说,该节点的最大的路径为 该节点的权值 + 子树中最大的权值
思路二:
使用 map 来保存每条路径的最大值
代码实现:
import java.util.HashMap;import java.util.Map;import java.util.Stack;public class MaxSumInTree {public static class Node {public int value;public Node left;public Node right;public Node(int val) {value = val;}}// 递归public static int maxSumRecursive(Node head) {if (head == null) return 0;return process(head);}public static int process(Node node) {if (node == null) return 0;int leftData = node.value + process(node.left);int rightData = node.value + process(node.right);return Math.max(leftData, rightData);}// 非递归private static int maxSumUnrecursive(Node head) {if (head == null) return 0;Stack<Node> stack = new Stack<>();stack.push(head);Map<Node, Integer> sumMap = new HashMap<>();sumMap.put(head, head.value);int max = 0;while (!stack.isEmpty()) {Node cur = stack.pop();if (cur.left == null && cur.right == null) max = Math.max(max, sumMap.get(cur));if (cur.right != null) {sumMap.put(cur.right, sumMap.get(cur) + cur.right.value);stack.push(cur.right);}if (cur.left != null) {sumMap.put(cur.left, sumMap.get(cur) + cur.left.value);stack.push(cur.left);}}return max;}public static void main(String[] args) {Node head = new Node(4);head.left = new Node(1);head.left.left = new Node(24);head.left.left.right = new Node(2);head.left.right = new Node(25);head.right = new Node(-7);head.right.left = new Node(3);head.right.right = new Node(30);System.out.println(maxSumRecursive(head));System.out.println(maxSumUnrecursive(head));}}
