数据结构

图的表示
import java.util.HashMap;import java.util.HashSet;import java.util.Map;import java.util.Set;public class Graph {// 点集public Map<Integer, Node> nodes;// 边集public Set<Edge> edges;public Graph() {nodes = new HashMap<>();edges = new HashSet<>();}public Graph(Map<Integer, Node> nodes, Set<Edge> edges) {this.nodes = nodes;this.edges = edges;}}
点结构
import java.util.ArrayList;import java.util.List;public class Node {public int value;// 点的入度(有几个点指向该点)public int in;// 点的出度(指向了几个点)public int out;// 从该点发散出去的点(该点指向的 点)public List<Node> nexts ;// 属于该点的边(该点指向其他点的边)public List<Edge> edges;public Node(int value) {this.value = value;in = 0;out = 0;nexts = new ArrayList<>();edges = new ArrayList<>();}}
边结构
public class Edge {// 权重,一般情况下是指两个点之间的距离,也可以给与权重一些特殊的意义public int weight;// 有向边的 from点 和 to点,如果是无向图,可以使用两条有向边来表示无向边public Node from;public Node to;public Edge(int weight, Node from, Node to) {this.weight = weight;this.from = from;this.to = to;}}
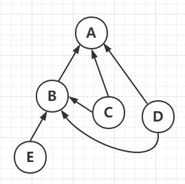
上图可表示为,注意这里按照上面的 Node 类是编译不过的……这么写是为了和上面的图片一致,如果改成数字结果是一样的
// 五个点Node nodeA = new Node("A");Node nodeB = new Node("B");Node nodeC = new Node("C");Node nodeD = new Node("D");Node nodeE = new Node("E");// 六条边// A -> BEdge edgeAB = new Edge(1, nodeA, nodeB);// A -> CEdge edgeAC = new Edge(1, nodeA, nodeC);// B -> CEdge edgeBC = new Edge(3, nodeB, nodeC);// C -> EEdge edgeCE = new Edge(3, nodeC, nodeE);// D -> AEdge edgeDA = new Edge(3, nodeD, nodeA);// E -> DEdge edgeED = new Edge(2, nodeE, nodeD);// 点集Map nodes = new HashMap();nodes.put(0, nodeA);nodes.put(1, nodeB);nodes.put(2, nodeC);nodes.put(3, nodeD);nodes.put(4, nodeE);// 边集Set edges = new HashSet();edges.add(edgeAB);edges.add(edgeAC);edges.add(edgeBC);edges.add(edgeCE);edges.add(edgeDA);edges.add(edgeED);// ================ NodeA ================// 只有 nodeD 指向 nodeAnodeA.in = 1;// nodeA 指向 nodeB nodeCnodeA.out = 2;nodeA.nexts = Arrays.asList(nodeB, nodeC);nodeA.edges = Arrays.asList(edgeAB, edgeAC);// ================ NodeB ================nodeB.in = 1;nodeC.out = 1;nodeB.nexts = Arrays.asList(nodeC);nodeB.edges = Arrays.asList(edgeBC);// ================ NodeC ================nodeB.in = 2;nodeC.out = 1;nodeB.nexts = Arrays.asList(nodeE);nodeB.edges = Arrays.asList(edgeCE);// ================ NodeD ================nodeB.in = 1;nodeC.out = 1;nodeB.nexts = Arrays.asList(nodeA);nodeB.edges = Arrays.asList(edgeDA);// ================ NodeE ================nodeB.in = 1;nodeC.out = 1;nodeB.nexts = Arrays.asList(nodeD);nodeB.edges = Arrays.asList(edgeED);Graph graph = new Graph(nodes, edges);
图的存储方式
- 邻接表
- 邻接矩阵
无论是什么形式表示的图结构,都写一个函数来“加工”为以上代码数据结构,方便按照常见的步骤来解题
如:存在数组 [[1,0,5],[1,2,3],[0,2,7]] 每个数组的非别为 [form, to, weight],就可以用如下方法加工为上面的数据结构
public class GraphGenerator {
/**
* 将特定结构转换为有向图
*
* @param matrix 所有的边 [form, to, weight]
* @return
*/
public static Graph getDigraph(int[][] matrix) {
Graph graph = new Graph();
for (int i = 0; i < matrix.length; i++) {
int from = matrix[i][0];
int to = matrix[i][1];
int weight = matrix[i][2];
if (!graph.nodes.containsKey(from))
graph.nodes.put(from, new Node(from));
if (!graph.nodes.containsKey(to))
graph.nodes.put(to, new Node(to));
Node fromNode = graph.nodes.get(from);
Node toNode = graph.nodes.get(to);
Edge edge = new Edge(weight, fromNode, toNode);
fromNode.nexts.add(toNode);
fromNode.out++;
toNode.in++;
fromNode.edges.add(edge);
graph.edges.add(edge);
}
return graph;
}
/**
* 将特定结构转换为无向图
*
* @param matrix 所有的边 [form, to, weight]
* @return
*/
public static Graph getUndirectedGraph(int[][] matrix) {
Graph graph = new Graph();
for (int i = 0; i < matrix.length; i++) {
int from = matrix[i][0];
int to = matrix[i][1];
int weight = matrix[i][2];
if (!graph.nodes.containsKey(from))
graph.nodes.put(from, new Node(from));
if (!graph.nodes.containsKey(to))
graph.nodes.put(to, new Node(to));
Node fromNode = graph.nodes.get(from);
Node toNode = graph.nodes.get(to);
Edge edge = new Edge(weight, fromNode, toNode);
fromNode.out++;
fromNode.in++;
fromNode.nexts.add(toNode);
fromNode.edges.add(edge);
Edge edge1 = new Edge(weight, toNode, fromNode);
toNode.out++;
toNode.in++;
toNode.edges.add(edge1);
toNode.nexts.add(fromNode);
graph.edges.add(edge);
graph.edges.add(edge1);
}
return graph;
}
}
遍历
宽度优先
- 利用队列实现
- 从源节点开始依次按照宽度进队列,然后弹出
- 每弹出一个点,把该节点所有没有进过队列的邻接点放入队列
- 直到队列变空 ```java import java.util.HashSet; import java.util.LinkedList; import java.util.Queue; import java.util.Set;
public class BFS { public static void bfs(Node node) { if (node == null) return;
Queue<Node> queue = new LinkedList<>();
Set set = new HashSet();
queue.add(node);
set.add(node);
while (!queue.isEmpty()) {
Node cur = queue.poll();
System.out.println(cur.value);
for (Node next : cur.nexts) {
if (!set.contains(next)) {
queue.add(next);
set.add(next);
}
}
}
}
public static void main(String[] args) {
Graph graph = GraphGenerator.getUndirectedGraph(new int[][]{{1, 0, 5}, {1, 2, 3}, {0, 2, 7}});
bfs(graph.nodes.get(0));
}
}
<a name="uzpar"></a>
## 广度优先
1. 利用栈实现
1. 从源节点开始把节点按照深度放入栈,然后弹出
1. 每弹出一个点,把该节点下一个没有进过栈的邻接点放入栈
1. 直到栈变空
```java
import java.util.HashSet;
import java.util.Set;
import java.util.Stack;
public class DFS {
public static void dfs(Node node) {
if (node == null) return;
Stack<Node> stack = new Stack<>();
Set<Node> set = new HashSet<>();
stack.push(node);
set.add(node);
System.out.println(node.value);
while (!stack.empty()) {
Node cur = stack.pop();
for (Node next : cur.nexts) {
if (!set.contains(next)) {
// 这里需要将 当前节点 push 回去
stack.push(cur);
stack.push(next);
set.add(next);
System.out.println(next.value);
break;
}
}
}
}
public static void main(String[] args) {
Graph graph = GraphGenerator.getUndirectedGraph(new int[][]{{1, 0, 5}, {1, 2, 3}, {0, 2, 7}});
dfs(graph.nodes.get(0));
}
}
拓扑排序算法
使用范围:要求有向图,且有入度为 0 的节点,且没有环
如:在没有 SpringBoot 出现之前,如果需要搭建一个项目,就会出现如下情况
搭建项目A,项目中需要依赖的 jar 包有:B.jar、C.jar、D.jar。而 B.jar 需要依赖 D.jar、C.jar、E.jar。这样的话就必须按照一定的顺序才能搭建项目,而这些 jar 包间的关系就形成了下图的结构,项目中不能有循环依赖的情况,也就是说这个图是无环的
思路:
- 遍历图的所有节点 nodes,由于没有环,一定存在入度为 0 的 node(在上图中就是 A)找到后将该节点放入队列中
- 从队列中弹出节点,然后消除该节点“影响”,就是将和该节点连接的节点入度减一,在上图中就是 A 入队列,BCD三个节点的入度减一
- 循环执行第 1 步,直到队列为空
- 每次弹出的节点就是拓扑排序的结果 ```java import java.util.*;
public class TopologYSort {
public static List<Node> sort(Graph graph) {
// <node, 入度>
Map<Node, Integer> inMap = new HashMap<>();
// 入度为 0 的点,进入队列
Queue<Node> zeroInQueue = new LinkedList<>();
for (Node node : graph.nodes.values()) {
inMap.put(node, node.in);
if (node.in == 0) zeroInQueue.add(node);
}
List<Node> list = new ArrayList<>();
// 将入度为 0 的 node 弹出,并消除该 node 的影响
while (!zeroInQueue.isEmpty()) {
Node cur = zeroInQueue.poll();
list.add(cur);
for (Node node : cur.nexts) {
inMap.put(node, inMap.get(node) - 1);
if (inMap.get(node) == 0) zeroInQueue.add(node);
}
}
return list;
}
}
<a name="PqSST"></a>
# 最小生成树
最小生成树:最小生成树其实是**最小权重生成树**的简称。一个有 n 个结点的连通图的生成树是原图的极小连通子图,且包含原图中的所有 n 个结点,并且有保持图连通的最少的边。<br />
<a name="faqJc"></a>
## Kruskal 算法
适用范围:**无向图**<br />思路:<br />将所有的边排序,将排序遍历,依次相加,如果新加入的边和已经相加的边形成了环就跳过。直到将所有的边遍历完,此时相加未成环的边就是是最小生成树
```java
import java.util.*;
import java.util.stream.Collectors;
public class Kruskal {
static class MySet {
public Map<Node, List<Node>> setMap;
public MySet(List<Node> nodes) {
setMap = new HashMap<>();
for (Node node : nodes) {
List<Node> set = new ArrayList<>();
set.add(node);
setMap.put(node, set);
}
}
// 判断在集合中是否已经存在了
public boolean isSameSet(Node from, Node to) {
List<Node> fromSet = setMap.get(from);
List<Node> toSet = setMap.get(to);
return fromSet == toSet;
}
public void union(Node from, Node to) {
List<Node> fromSet = setMap.get(from);
List<Node> toSet = setMap.get(to);
for (Node node : toSet) {
fromSet.add(node);
// 这样处理,所有 toSet 的 node 都会指向 fromSet
setMap.put(node, fromSet);
}
}
}
public static Set<Edge> kruskalMST(Graph graph) {
MySet mySet = new MySet(graph.nodes.values().stream().collect(Collectors.toList()));
// 小根堆
PriorityQueue<Edge> queue = new PriorityQueue<>(Comparator.comparingInt(o -> o.weight));
for (Edge edge : graph.edges) {
queue.add(edge);
}
Set<Edge> set = new HashSet<>();
while (!queue.isEmpty()) {
Edge edge = queue.poll();
if (!mySet.isSameSet(edge.from, edge.to)) {
set.add(edge);
mySet.union(edge.from, edge.to);
}
}
return set;
}
public static void main(String[] args) {
// 这里 1,2,3,4 代表 A,B,C,D
Node nodeA = new Node(1);
Node nodeB = new Node(2);
Node nodeC = new Node(3);
Node nodeD = new Node(4);
Edge edgeAB = new Edge(3, nodeA, nodeB);
Edge edgeBA = new Edge(3, nodeB, nodeA);
Edge edgeAC = new Edge(10, nodeA, nodeC);
Edge edgeCA = new Edge(10, nodeC, nodeA);
Edge edgeAD = new Edge(7, nodeA, nodeD);
Edge edgeDA = new Edge(7, nodeD, nodeA);
Edge edgeBC = new Edge(5, nodeB, nodeC);
Edge edgeCB = new Edge(5, nodeC, nodeB);
Edge edgeBD = new Edge(2, nodeB, nodeD);
Edge edgeDB = new Edge(2, nodeD, nodeB);
Edge edgeDC = new Edge(9, nodeD, nodeC);
Edge edgeCD = new Edge(9, nodeC, nodeD);
nodeA.nexts = Arrays.asList(nodeB,nodeC,nodeD);
nodeB.nexts = Arrays.asList(nodeA,nodeC,nodeD);
nodeC.nexts = Arrays.asList(nodeB,nodeA,nodeD);
nodeD.nexts = Arrays.asList(nodeB,nodeA,nodeC);
nodeA.edges = Arrays.asList(edgeAB, edgeBA, edgeAC, edgeCA, edgeAD, edgeDA);
nodeB.edges = Arrays.asList(edgeBA, edgeAB, edgeBC, edgeCB, edgeBD, edgeDB);
nodeC.edges = Arrays.asList(edgeCA, edgeAC, edgeCB, edgeBC, edgeCD, edgeDC);
nodeD.edges = Arrays.asList(edgeDA, edgeAD, edgeDB, edgeBD, edgeDC, edgeCD);
Map<Integer, Node> nodes = new HashMap<>();
nodes.put(1, nodeA);
nodes.put(2, nodeB);
nodes.put(3, nodeC);
nodes.put(4, nodeD);
Set<Edge> edges = new HashSet<>();
edges.add(edgeAB);
edges.add(edgeBA);
edges.add(edgeAC);
edges.add(edgeCA);
edges.add(edgeAD);
edges.add(edgeDA);
edges.add(edgeBC);
edges.add(edgeCB);
edges.add(edgeBD);
edges.add(edgeDB);
edges.add(edgeDC);
edges.add(edgeCD);
Graph graph = new Graph();
graph.nodes = nodes;
graph.edges = edges;
Set<Edge> res = kruskalMST(graph);
for (Edge edge : res) {
System.out.println(edge.weight);
}
}
}
运行结果
3
5
2
Prim 算法
适用范围:无向图
存在如下的图求最小生成树
思路:
随机选择一个点,如 A
- A 通过
AB、AC、AD和其他的点相连,选权重最小的边AC,并把点A、点C视为一个点AC 点AC通过CB、CD、CE、CF和其他节点相连,选权重最小的边CF,并把点AC、点F视为一个点ACF点ACF通过FE、FD和其他节点相连,选权重最小的边FD,并把点ACF、点D视为一个点ACFD点ACFD通过CB、CE和其他节点相连,选权重最小的边CB,并把点ACFD、点B视为一个点ACFDB点ACFDB通过BE和其他节点相连,选权重最小的边BE,并把点ACFDB、点E视为一个点ACFDBE- 最小生成树完成,结束了
import java.util.*;
public class Prim {
public static Set<Edge> primMST(Graph graph) {
PriorityQueue<Edge> priorityQueue = new PriorityQueue<>(Comparator.comparingInt(o -> o.weight));
Set<Node> set = new HashSet<>();
Set<Edge> result = new HashSet<>();
// 这里使用所有的点进行循环,主要是排除一种特殊情况:一个图是有几个互不连通的新图组成
// 如果确认不会出现这种情况,完全可用没有下面的这个 for 循环
for (Node node : graph.nodes.values()) {
// 随机拿一个点做起点
if (!set.contains(node)) {
set.add(node);
for (Edge edge : node.edges) {
priorityQueue.add(edge);
}
while (!priorityQueue.isEmpty()) {
// 权重最小的边
Edge edge = priorityQueue.poll();
Node to = edge.to;
if (!set.contains(to)) {
// 不包含,说明这个点没有被视为和起点为 “同一个点”
set.add(to);
result.add(edge);
// 将该点和其他点连接的边放入队列
for (Edge nextEdge : to.edges) {
priorityQueue.add(nextEdge);
}
}
}
}
}
return result;
}
}
最短路径

点 A 到其他点的最短距离为
迪克斯特拉算法
适用范围:没有权值为负的边
思路:
假设 A 到其他点的距离为 ,A 到 A 的距离为 0,初始时,A 到所有点的最短距离为
| A | B | C | D | E | |
|---|---|---|---|---|---|
| A 到该点的最短路径 | 0 |
然后看 A 的边有没有让 A 到某点的距离变小,如果有就 更新/保存 最短路径
| A | B | C | D | E | |
|---|---|---|---|---|---|
| A 到该点的最短路径 | 0 | 3 | 15 | 9 |
A 点已经被使用过了,将 A 锁定,从其他记录中选出最短的路径 B,B 的边有没有让 A 到某点的距离变小,如果有就 更新/保存 最短路径
- A -> B -> C : 3 + 2 < 15 更新
- A -> B -> E : 3 + 200 <
更新 | | A | B | C | D | E | | :—-: | :—-: | :—-: | :—-: | :—-: | :—-: | | A 到该点的最短路径 | 0 | 3 | 5 | 9 | 203 |
B 点已经被使用过了,将 B 锁定,从其他记录中选出最短的路径 C,C 的边有没有让 A 到某点的距离变小,如果有就 更新/保存 最短路径
- A -> B -> C -> D : 5 + 7 > 9 不更新
- A -> B -> C -> E : 5 + 14 < 203 更新 | | A | B | C | D | E | | :—-: | :—-: | :—-: | :—-: | :—-: | :—-: | | A 到该点的最短路径 | 0 | 3 | 5 | 9 | 19 |
C 点已经被使用过了,将 C 锁定,从其他记录中选出最短的路径 D,D 的边有没有让 A 到某点的距离变小,如果有就 更新/保存 最短路径
- A -> B -> C -> D -> E : 9 + 16 > 9 不更新
D 点已经被使用过了,将 D 锁定,从其他记录中选出最短的路径 E,E 的边有没有让 A 到某点的距离变小,如果有就 更新/保存 最短路径
E 点已经被使用过了,将 E 锁定。完成
import java.util.*;
public class Dijkstral {
public static Map<Node, Integer> dijkstral(Node node) {
// key:从 head 出发到的 点
// value:最短距离
Map<Node, Integer> distanceMap = new HashMap<>();
distanceMap.put(node, 0);
// 起到了“锁定”的功能
Set<Node> set = new HashSet<>();
PriorityQueue<Edge> queue = new PriorityQueue<>(Comparator.comparingInt(o -> o.weight));
queue.addAll(node.edges);
while (!queue.isEmpty()) {
// 最短的边
Edge edge = queue.peek();
// 锁定当前点,本次就会计算出最短距离,之后不需要计算
set.add(edge.from);
// 遍历所有的边,判断是否需要更新最短距离
while (!queue.isEmpty()) {
Edge curEdge = queue.poll();
// 点 A 到该点的最短距离
Integer weightCount = distanceMap.get(curEdge.from);
if (distanceMap.get(curEdge.to) == null) {
distanceMap.put(curEdge.to, curEdge.weight);
} else {
// 如果 点 A 到该点的最短距离 + 权重 < 记录的最短距离 就更新
if (curEdge.weight + weightCount < distanceMap.get(curEdge.to)) {
distanceMap.put(curEdge.to, curEdge.weight + weightCount);
}
}
}
for (Edge e : edge.to.edges) {
if (set.contains(e.to)) continue;
queue.add(e);
}
}
return distanceMap;
}
public static void main(String[] args) {
Node nodeA = new Node(1);
Node nodeB = new Node(2);
Node nodeC = new Node(3);
Node nodeD = new Node(4);
Node nodeE = new Node(5);
Edge edgeAB = new Edge(3, nodeA, nodeB);
Edge edgeBA = new Edge(3, nodeB, nodeA);
Edge edgeAC = new Edge(15, nodeA, nodeC);
Edge edgeCA = new Edge(15, nodeC, nodeA);
Edge edgeAD = new Edge(9, nodeA, nodeD);
Edge edgeDA = new Edge(9, nodeD, nodeA);
Edge edgeBC = new Edge(2, nodeB, nodeC);
Edge edgeCB = new Edge(2, nodeC, nodeB);
Edge edgeBE = new Edge(200, nodeB, nodeE);
Edge edgeEB = new Edge(200, nodeE, nodeB);
Edge edgeCD = new Edge(7, nodeC, nodeD);
Edge edgeDC = new Edge(7, nodeD, nodeC);
Edge edgeCE = new Edge(14, nodeC, nodeE);
Edge edgeEC = new Edge(14, nodeE, nodeC);
Edge edgeDE = new Edge(16, nodeD, nodeE);
Edge edgeED = new Edge(16, nodeE, nodeD);
nodeA.nexts = Arrays.asList(nodeB, nodeC, nodeD);
nodeA.edges = Arrays.asList(edgeAB, edgeAC, edgeAD);
nodeB.nexts = Arrays.asList(nodeA, nodeC, nodeE);
nodeB.edges = Arrays.asList(edgeBA, edgeBC, edgeBE);
nodeC.nexts = Arrays.asList(nodeA, nodeB, nodeD, nodeE);
nodeC.edges = Arrays.asList(edgeCA, edgeCB, edgeCD, edgeCE);
nodeD.nexts = Arrays.asList(nodeA, nodeC, nodeE);
nodeD.edges = Arrays.asList(edgeDA, edgeDC, edgeDE);
nodeE.nexts = Arrays.asList(nodeB, nodeC, nodeD);
nodeE.edges = Arrays.asList(edgeEB, edgeEC, edgeED);
Map<Node, Integer> dijkstral = dijkstral(nodeA);
for (Map.Entry<Node, Integer> entry : dijkstral.entrySet()) {
System.out.println(nodeA.value + " - " + entry.getKey().value + " 最短距离为: " + entry.getValue());
}
}
}
结果:使用 1、2、3、4、5 表示 A、B、C、D、E
1 - 5 最短距离为: 19
1 - 3 最短距离为: 5
1 - 1 最短距离为: 0
1 - 4 最短距离为: 9
1 - 2 最短距离为: 3
优化
使用堆结构来优化,使用一个小根堆,每次都会自动取出最小的距离
import java.util.Arrays;
import java.util.HashMap;
import java.util.Map;
public class Dijkstral1 {
/**
* 维护一个小跟堆
*/
static class NodeHeap {
private Node[] nodes;
// 堆当前大小
private int size;
// node 对应 nodes 的下标
private Map<Node, Integer> heapIndexMap;
// node 的距离
private Map<Node, Integer> distanceMap;
public NodeHeap(int size) {
nodes = new Node[size];
heapIndexMap = new HashMap<>();
distanceMap = new HashMap<>();
this.size = 0;
}
/**
* 如果第一次出现 ==> add
* 已经存在并且新值更小 ==> update
* 已经存在 新值没有更小 ==> ignore
*
* @param node
* @param distance
*/
public void addOrUpdateOrIgnore(Node node, int distance) {
if (inHeap(node)) {
distanceMap.put(node, Math.min(distanceMap.get(node), distance));
insertHeapify(node, heapIndexMap.get(node));
}
if (!isEntered(node)) {
nodes[size] = node;
heapIndexMap.put(node, size);
distanceMap.put(node, distance);
insertHeapify(node, size++);
}
}
// node 是否进入过堆
private boolean isEntered(Node node) {
return heapIndexMap.containsKey(node);
}
private void insertHeapify(Node node, Integer index) {
while (distanceMap.get(nodes[index]) < distanceMap.get(nodes[(index - 1) / 2])) {
swap(index, (index - 1) / 2);
index = (index - 1) / 2;
}
}
private void heapify(int i, int size) {
// 左子节点
int left = i * 2 + 1;
while (left < size) {
// 右子节点
int right = left + 1;
int largestIndex = right < size && nodes[right].value > nodes[left].value ? right : left;
largestIndex = nodes[largestIndex].value > nodes[i].value ? largestIndex : i;
if (largestIndex == i) break;
swap(largestIndex, i);
i = largestIndex;
left = i * 2 + 1;
}
}
private boolean inHeap(Node node) {
return isEntered(node) && heapIndexMap.get(node) != -1;
}
public boolean isEmpty() {
return size == 0;
}
public NodeRecord pop() {
NodeRecord nodeRecord = new NodeRecord(nodes[0], distanceMap.get(nodes[0]));
size--;
swap(0, size);
// 弹出的节点 记录下标为 -1,这样即使是已经弹出的节点也能记录该点曾经进入过堆
heapIndexMap.put(nodes[size], -1);
distanceMap.remove(nodes[size]);
nodes[size] = null;
heapify(0, size);
return nodeRecord;
}
private void swap(int i, int i1) {
heapIndexMap.put(nodes[i], i1);
heapIndexMap.put(nodes[i1], i);
Node temp = nodes[i];
nodes[i] = nodes[i1];
nodes[i1] = temp;
}
}
private static class NodeRecord {
public Node node;
public int distance;
public NodeRecord(Node node, int distance) {
this.node = node;
this.distance = distance;
}
}
public static Map<Node, Integer> dijkstral(Node head, int size) {
NodeHeap nodeHeap = new NodeHeap(size);
nodeHeap.addOrUpdateOrIgnore(head, 0);
Map<Node, Integer> result = new HashMap<>();
while (!nodeHeap.isEmpty()) {
NodeRecord record = nodeHeap.pop();
Node cur = record.node;
int distance = record.distance;
result.put(cur, distance);
for (Edge edge : cur.edges) {
// 堆的天然好处,不会去更新已经确定的最短距离
nodeHeap.addOrUpdateOrIgnore(edge.to, edge.weight + distance);
}
}
return result;
}
public static void main(String[] args) {
Node nodeA = new Node(1);
Node nodeB = new Node(2);
Node nodeC = new Node(3);
Node nodeD = new Node(4);
Node nodeE = new Node(5);
Edge edgeAB = new Edge(3, nodeA, nodeB);
Edge edgeBA = new Edge(3, nodeB, nodeA);
Edge edgeAC = new Edge(15, nodeA, nodeC);
Edge edgeCA = new Edge(15, nodeC, nodeA);
Edge edgeAD = new Edge(9, nodeA, nodeD);
Edge edgeDA = new Edge(9, nodeD, nodeA);
Edge edgeBC = new Edge(2, nodeB, nodeC);
Edge edgeCB = new Edge(2, nodeC, nodeB);
Edge edgeBE = new Edge(200, nodeB, nodeE);
Edge edgeEB = new Edge(200, nodeE, nodeB);
Edge edgeCD = new Edge(7, nodeC, nodeD);
Edge edgeDC = new Edge(7, nodeD, nodeC);
Edge edgeCE = new Edge(14, nodeC, nodeE);
Edge edgeEC = new Edge(14, nodeE, nodeC);
Edge edgeDE = new Edge(16, nodeD, nodeE);
Edge edgeED = new Edge(16, nodeE, nodeD);
nodeA.nexts = Arrays.asList(nodeB, nodeC, nodeD);
nodeA.edges = Arrays.asList(edgeAB, edgeAC, edgeAD);
nodeB.nexts = Arrays.asList(nodeA, nodeC, nodeE);
nodeB.edges = Arrays.asList(edgeBA, edgeBC, edgeBE);
nodeC.nexts = Arrays.asList(nodeA, nodeB, nodeD, nodeE);
nodeC.edges = Arrays.asList(edgeCA, edgeCB, edgeCD, edgeCE);
nodeD.nexts = Arrays.asList(nodeA, nodeC, nodeE);
nodeD.edges = Arrays.asList(edgeDA, edgeDC, edgeDE);
nodeE.nexts = Arrays.asList(nodeB, nodeC, nodeD);
nodeE.edges = Arrays.asList(edgeEB, edgeEC, edgeED);
Map<Node, Integer> dijkstral = dijkstral(nodeA, 5);
for (Map.Entry<Node, Integer> entry : dijkstral.entrySet()) {
System.out.println(nodeA.value + " - " + entry.getKey().value + " 最短距离为: " + entry.getValue());
}
}
}
结果:使用 1、2、3、4、5 表示 A、B、C、D、E
1 - 2 最短距离为: 3
1 - 4 最短距离为: 9
1 - 3 最短距离为: 5
1 - 5 最短距离为: 19
1 - 1 最短距离为: 0
