前缀和

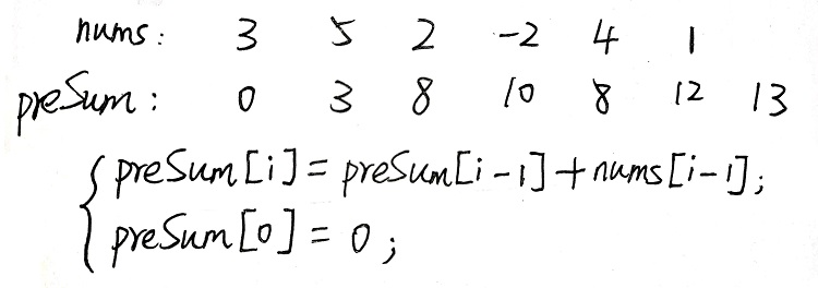
前缀和preSum[i]:表示在坐标i之前的所有数之和preSum[j]-preSum[i]:坐标[i,j-1]的所有数之和
let nums = [3, 5, 2, -2, 4, 1];/*** @description: 求前缀和数组* @return {*} 返回前缀和数组preSum* @param {*} nums 传入的数组*/function prefixSum(nums) {let preSum = [];preSum[0] = 0;for (let i = 0; i < nums.length; i++) {preSum[i + 1] = preSum[i] + nums[i];}return preSum;}/*** @description: 求[i,j)区间内的数组和* @return {*} 数组和* @param {*} preSum 前缀数组* @param {*} i 左坐标* @param {*} j 右坐标*/function sumFromTo(preSum,i,j) {return preSum[j]-preSum[i];}
测试:
let preSum = prefixSum(nums);
let sum = sumFromTo(preSum,1,4)
console.log(sum); // 5
差分数组

差分数组diff[i]:当前位置数-前一个位置数
从[i,j]的diff数组和:nums[j]-nums[i-1]
let nums = [8,2,6,3,1];
/**
* @description: 求差分数组
* @return {*} 返回差分数组diff
* @param {*} nums 传入的数组
*/
function diff(nums) {
let diffArray = [];
diffArray[0]=nums[0];
for(let i=1;i<nums.length;i++){
diffArray[i]=nums[i]-nums[i-1];
}
return diffArray;
}
/**
* @description: 让区间[i,j]内元素都加3
* @param {*} diffArray 差分数组diff
* @param {*} i 左坐标
* @param {*} j 右坐标
* @param {*} addNum 要加的数
*/
function diffAddNum(diffArray,i,j,addNum) {
diffArray[i]+=addNum;
diffArray[j+1]-=addNum;
}
/**
* @description: 通过差分数组,找到原数组
* @return {*} 原数组
* @param {*} diffArray 差分数组
*/
function deDiff(diffArray) {
let resNum = [];
resNum[0]=diffArray[0];
for(let i=1;i<diffArray.length;i++){
resNum[i]=resNum[i-1]+diffArray[i];
}
return resNum;
}
测试:
console.log(nums);
let diffArray = diff(nums);
diffAddNum(diffArray,1,3,3);
console.log(diffArray);
let resNum = deDiff(diffArray);
console.log(resNum);
/***********************
[ 8, 2, 6, 3, 1 ]
[ 8, -3, 4, -3, -5 ]
[ 8, 5, 9, 6, 1 ]
**********************/
