DFS
DFS框架
result = []def backtrack(路径, 选择列表):if 满足结束条件:result.add(路径)returnfor 选择 in 选择列表:做选择backtrack(路径, 选择列表)撤销选择
例题1
46. 全排列 - 力扣(LeetCode) (leetcode-cn.com)
/*** @param {number[]} nums* @return {number[][]}*/Array.prototype.contains = function(num){for(let i=0;i<this.length;i++){if(this[i]===num){return true;}}return false;};var permute = function(nums) {let res = [];let track = [];backtrack(nums,track);return res;function backtrack(nums,track){if(nums.length===track.length){let newTrack = [];Object.assign(newTrack,track)res.push(newTrack);return;}for(let num of nums){if(track.contains(num)){continue;}track.push(num);backtrack(nums,track);track.pop();}}};
例题2
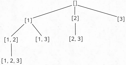
78. 子集 - 力扣(LeetCode) (leetcode-cn.com)
这个需要剪枝:
/**
* @param {number[]} nums
* @return {number[][]}
*/
var subsets = function(nums) {
let res = [];
let track = [];
trackback(nums,track,0);
return res;
function trackback(nums,track,start){
let newTrack = [];
Object.assign(newTrack,track);
res.push(newTrack);
for(let i=start;i<nums.length;i++){
track.push(nums[i]);
trackback(nums,track,i+1)
track.pop();
}
}
};
BFS
BFS框架
要说框架的话,我们先举例一下 BFS 出现的常见场景好吧,问题的本质就是让你在一幅「图」中找到从起点 start 到终点 target 的最近距离,这个例子听起来很枯燥,但是 BFS 算法问题其实都是在干这个事儿
// 计算从起点 start 到终点 target 的最近距离
int BFS(Node start, Node target) {
Queue<Node> q; // 核心数据结构
Set<Node> visited; // 避免走回头路
q.offer(start); // 将起点加入队列
visited.add(start);
int step = 0; // 记录扩散的步数
while (q not empty) {
int sz = q.size();
/* 将当前队列中的所有节点向四周扩散 */
for (int i = 0; i < sz; i++) {
Node cur = q.poll();
/* 划重点:这里判断是否到达终点 */
if (cur is target)
return step;
/* 将 cur 的相邻节点加入队列 */
for (Node x : cur.adj())
if (x not in visited) {
q.offer(x);
visited.add(x);
}
}
/* 划重点:更新步数在这里 */
step++;
}
}
例题1
111. 二叉树的最小深度 - 力扣(LeetCode) (leetcode-cn.com)
求二叉树最小高度
输入:root = [3,9,20,null,null,15,7]
输出:2
/**
* Definition for a binary tree node.
* function TreeNode(val, left, right) {
* this.val = (val===undefined ? 0 : val)
* this.left = (left===undefined ? null : left)
* this.right = (right===undefined ? null : right)
* }
*/
/**
* @param {TreeNode} root
* @return {number}
*/
var minDepth = function (root) {
if (!root === true) {
return 0;
}
let queue = [];
let depth = 1;
queue.push(root);
while (queue.length !== 0) {
// 踩坑:这里queue.length要另外写在外面,要是写在循环里是动态改变的,最终结果始终输出1
let ql = queue.length;
for (let i = 0; i < ql; i++) {
let cur = queue.shift();
if (cur.left === null && cur.right === null) {
return depth;
}
if (cur.left !== null) {
queue.push(cur.left);
}
if (cur.right !== null) {
queue.push(cur.right);
}
}
depth++;
}
return depth;
};
