根节点和枝节点很简单,分别记录每个叶子节点的最小值,并用一个指针指向叶子节点。
叶子节点里每个键值都指向真正的数据块,每个叶子节点都有前指针和后指针,这是为了做范围查询时,叶子节点间可以直接跳转,从而避免再去回溯至枝和根节点。
特点:
1、有n棵子树的结点中含有n个关键字,每个关键字不保存数据,只用来索引,所有数据都保存在叶子节点。
2、所有的叶子结点中包含了全部关键字的信息,及指向含这些关键字记录的指针,且叶子结点本身依关键字的大小自小而大顺序链接。
3、所有的非终端结点可以看成是索引部分,结点中仅含其子树(根结点)中的最大(或最小)关键字。
2.1 B+树概述
B+树其实和B树是非常相似的,我们首先看看相同点。
- 根节点至少一个元素
- 非根节点元素范围:m/2 <= k <= m-1
不同点。
- B+树有两种类型的节点:内部结点(也称索引结点)和叶子结点。内部节点就是非叶子节点,内部节点不存储数据,只存储索引,数据都存储在叶子节点。
- 内部结点中的key都按照从小到大的顺序排列,对于内部结点中的一个key,左树中的所有key都小于它,右子树中的key都大于等于它。叶子结点中的记录也按照key的大小排列。
- 每个叶子结点都存有相邻叶子结点的指针,叶子结点本身依关键字的大小自小而大顺序链接。
- 父节点存有右孩子的第一个元素的索引。
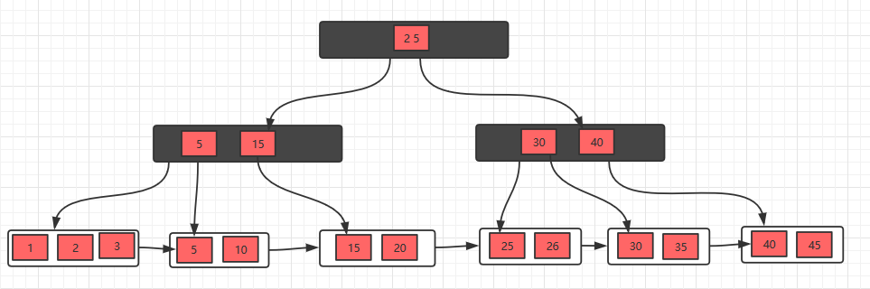
下面我们看一个B+树的例子,感受感受它吧!

2.2 插入操作
对于插入操作很简单,只需要记住一个技巧即可:当节点元素数量大于m-1的时候,按中间元素分裂成左右两部分,中间元素分裂到父节点当做索引存储,但是,本身中间元素还是分裂右边这一部分的。
下面以一颗5阶B+树的插入过程为例,5阶B+树的节点最少2个元素,最多4个元素。
- 插入5,10,15,20

- 插入25,此时元素数量大于4个了,分裂

- 接着插入26,30,继续分裂


有了这几个例子,相信插入操作没什么问题了,下面接着看看删除操作。
2.3 删除操作
对于删除操作是比B树简单一些的,因为叶子节点有指针的存在,向兄弟节点借元素时,不需要通过父节点了,而是可以直接通过兄弟节移动即可(前提是兄弟节点的元素大于m/2),然后更新父节点的索引;如果兄弟节点的元素不大于m/2(兄弟节点也没有多余的元素),则将当前节点和兄弟节点合并,并且删除父节点中的key,下面我们看看具体的实例。
- 初始状态

- 删除10,删除后,不满足要求,发现左边兄弟节点有多余的元素,所以去借元素,最后,修改父节点索引

- 删除元素5,发现不满足要求,并且发现左右兄弟节点都没有多余的元素,所以,可以选择和兄弟节点合并,最后修改父节点索引

- 发现父节点索引也不满足条件,所以,需要做跟上面一步一样的操作

这样,B+树的删除操作也就完成了,是不是看完之后,觉得非常简单!
B+Tree
B+Tree是在B-Tree基础上的一种优化,使其更适合实现外存储索引结构。B+Tree与B-Tree的结构很像,但是也有几个自己的特性:
1、所有的非叶子节点只存储关键字信息。 2、所有卫星数据(具体数据)都存在叶子结点中。 3、所有的叶子结点中包含了全部元素的信息。 4、所有叶子节点之间都有一个链指针。
如果上面B-Tree的图变成B+Tree,那应该如下:
大家仔细对比于B-Tree的图能发现什么不同?
1、非叶子结点上已经只有key信息了,满足上面第1点特性!
2、所有叶子结点下面都有一个data区域,满足上面第2点特性!
3、非叶子结点的数据在叶子结点上都能找到,如根结点的元素4、8在最底层的叶子结点上也能找到,满足上面第3点特性!
4、注意图中叶子结点之间的箭头,满足满足上面第4点特性!
B-Tree or B+Tree?
在讲这两种数据结构在数据库中的选择之前,我们还需要了解的一个知识点是操作系统从磁盘读取数据到内存是以磁盘块(block)为基本单位的,位于同一个磁盘块中的数据会被一次性读取出来,而不是需要什么取什么。即使只需要一个字节,磁盘也会从这个位置开始,顺序向后读取一定长度的数据放入内存。这样做的理论依据是计算机科学中著名的局部性原理:当一个数据被用到时,其附近的数据也通常会马上被使用。
预读的长度一般为页(page)的整倍数。页是计算机管理存储器的逻辑块,硬件及操作系统往往将主存和磁盘存储区分割为连续的大小相等的块,每个存储块称为一页(在许多操作系统中,页得大小通常为4k)。
B-Tree和B+Tree该如何选择呢?都有哪些优劣呢?
1、B-Tree因为非叶子结点也保存具体数据,所以在查找某个关键字的时候找到即可返回。而B+Tree所有的数据都在叶子结点,每次查找都得到叶子结点。所以在同样高度的B-Tree和B+Tree中,B-Tree查找某个关键字的效率更高。
2、由于B+Tree所有的数据都在叶子结点,并且结点之间有指针连接,在找大于某个关键字或者小于某个关键字的数据的时候,B+Tree只需要找到该关键字然后沿着链表遍历就可以了,而B-Tree还需要遍历该关键字结点的根结点去搜索。
3、由于B-Tree的每个结点(这里的结点可以理解为一个数据页)都存储主键+实际数据,而B+Tree非叶子结点只存储关键字信息,而每个页的大小有限是有限的,所以同一页能存储的B-Tree的数据会比B+Tree存储的更少。这样同样总量的数据,B-Tree的深度会更大,增大查询时的磁盘I/O次数,进而影响查询效率。
鉴于以上的比较,所以在常用的关系型数据库中,都是选择B+Tree的数据结构来存储数据!下面我们以mysql的innodb存储引擎为例讲解,其他类似sqlserver、oracle的原理类似!
3 B树和B+树总结
B+树相对于B树有一些自己的优势,可以归结为下面几点。
- 单一节点存储的元素更多,使得查询的IO次数更少,所以也就使得它更适合做为数据库MySQL的底层数据结构了。
- 所有的查询都要查找到叶子节点,查询性能是稳定的,而B树,每个节点都可以查找到数据,所以不稳定。
- 所有的叶子节点形成了一个有序链表,更加便于查找。
