概念
树的数据结构用来表示层级关系。
图的数据结构用来表示网络关系。
图的表示
我们需要研究的本质还是节点和节点间的关系,所以当一种表述方式能够说清楚这样的关系,它就是一种好的表示。常见的表示方法有:对象、邻接表、邻接矩阵(二维数组)。
- 对象这种形式将节点抽象成node对象、边抽象成edge对象,这样的表示常见于可视化工具库中,比如AntV、D3.js:
- 邻接表相较上面的对象的方法稍微抽象点,可以理解是用Map在对象和其关系之间做了一个映射。
- 而最抽象的莫过于邻接矩阵了,在邻接矩阵中,没有体现具体节点,而节点的内涵隐式的包含在数组的下标之中。所以,这个矩阵(二维数组)展示的就是某节点和另一个节点是否存在边。这种表示方法虽然抽象,但是对于计算机而讲,就可以应用线性代数中矩阵的很多性质,相应的快速做出变换。
用最简单的图来举例说下我们的几种表示方法吧:
(如果我们现在有一个关系是这样的:节点有两个:1,2,其关系是:1->2)
用Object最直白的表示:
const graph = {nodes:[{id: 1},{id: 2}],edges:[{source: 1 ,target: 2}]}
用邻接表来表示:
const gTable = {1: [2],2: []}
用邻接矩阵来表示:
const gMatrix = [[0, 1],[0, 0]];
不过问题来了,看上去似乎object可以表述更多的信息,比如扩展下:
const graph = {nodes:[{id: 1, name: 'lin7', gender: 'female'},{id: 2, name: 'cjj', gender: 'male'}],edges:[{source: 1 ,target: 2,isInLove:true,when:'at frist sight'}]}
这样我们表述了更多的信息,那么如果是这样的信息,邻接矩阵怎么做呢?
const gMatrix = [[0,{isInLove:true,when:'at frist sight'}],[0, 0]];
邻接矩阵并不关心节点,或者说节点信息在另外的地方维护,我们通过gMatrix就知道,存在第一个节点指向第二个节点的边,那么具体第一个节点和第二个节点是谁?那其实就是你说是谁就可以是谁。
那么邻接表这种方式其实是一个点边映射的Map,那么,当信息复杂需要做映射的时候,我们用一个WeakMap就能说的清楚。
遍历
遍历是最基本和最重要的方法了。
对于图,基本的遍历和树一样,也分为深度、广度优先(DFS & BFS)。
不过图有一点需要格外注意的是,在遍历过程中要防止路径成环,比如,可能出现这样的路径 A -> B -> C -> D -> B … 这种情况需要避免,否则程序奔溃,调用栈溢出了。怎么避免?用Set记录下遍历过的节点就好。
同样的DFS可以借助递归或者栈来实现。BFS需要借助队列实现。
题目
LeetCode 133:克隆图
133. 克隆图
给你无向 连通 图中一个节点的引用,请你返回该图的 深拷贝(克隆)。
图中的每个节点都包含它的值 val(int) 和其邻居的列表(list[Node])。
class Node {
public int val;
public List
}
_
这道题是让我们深拷贝题目给出的数据结构。其实差不多是一道遍历题,但是按照题目的数据结构,我们的边关系也需要深拷贝,这点是这个题目的点。
/*** // Definition for a Node.* function Node(val, neighbors) {* this.val = val === undefined ? 0 : val;* this.neighbors = neighbors === undefined ? [] : neighbors;* };*//*** @param {Node} node* @return {Node}*/var cloneGraph = function(node) {if(!node) return;// 存放node和其备份的Mapconst nodeMapToCopy = new Map();const dfs = (n) => {const { val, neighbors } = n;const newNode = new Node(val);// 把克隆体放入mapnodeMapToCopy.set(n, newNode);(neighbors || []).forEach(ngb => {if(!nodeMapToCopy.has(ngb)){dfs(ngb);}// 这时候一定存在nodeMapToCopy.get(ngb)newNode.neighbors.push(nodeMapToCopy.get(ngb));})}dfs(node);return nodeMapToCopy.get(node);};
LeetCode 65: 有效数字
65. 有效数字
验证给定的字符串是否可以解释为十进制数字。
例如:
“0” => true
“ 0.1 “ => true
“abc” => false
“1 a” => false
“2e10” => true
“ -90e3 “ => true
“ 1e” => false
“e3” => false
“ 6e-1” => true
“ 99e2.5 “ => false
“53.5e93” => true
“ —6 “ => false
“-+3” => false
“95a54e53” => false
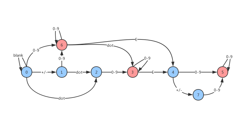
这个题本来是个字符串题目,不用正则,一个个字符校验的话,用状态机图的思路解决,就和图扯上关系了。
下面是一副状态机图,这个状态机的节点表述当前状态,状态间的转化用边来表示。这个状态机的入口是0状态,成功的出口是:3、5、6状态。
每当新遇到一个字符,在当前状态的基础上根据边规定的条件,转化成下一种状态。如果最终能到成功状态,就返回成功。
_
/*** @param {string} s* @return {boolean}*/var isNumber = function (s) {// 学习别人的状态机图解法// blank 表示空格// sign 表示正负号// digit 表示数字// . 就是小数点// e 就是 e// 邻接表表示状态机const graph = {0: { "blank": 0, "sign": 1, ".": 2, "digit": 6 },1: { "digit": 6, ".": 2 },2: { "digit": 3 },3: { "digit": 3, "e": 4 },4: { "digit": 5, "sign": 7 },5: { "digit": 5 },6: { "digit": 6, ".": 3, "e": 4 },7: { "digit": 5 },};let state = 0;let char;s = s.trim();for (char of s) {if (char >= "0" && char <= "9") {char = "digit";} else if (char == " ") {char = "blank";} else if (char == "+" || char == "-") {char = "sign";}state = graph[state][char];if (state == undefined) {return false;}}// 3 是小数,5是科学计数法,6是整数return state == 3 || state == 5 || state == 6;};
上面的代码中,状态机图的表示用邻接表表示法。
