概念
链表是一种非连续的存储结构。
一个链表由若干节点构成,而节点间的联系是前一个节点“指向后一个节点”。如下图所示:
这种顺序结构,我们还有一种数据结构是数组,它们核心的不同就是:链表是不连续的存储空间,而数组是连续存储空间,这两种结构带来一些操作上的取舍:
- 链表的访问某一条数据是非常慢的,如果我想访问最后一个节点的数据需要全部节点都遍历一遍,而数组只用下标就够了,直接能找到你需要访问的元素。
- 但是链表的优势,在于增加、删除节点操作。链表需要增加和删除的时候,直接改变指针的指向即可。但是数组的话,可能牵扯移动周边元素的操作。
实现
JS中,没有原生的实现,不过我们实现起来也非常简单。
// 定义节点interface ListNode {data: any;next: ListNode;}// 构造节点const a = {data: 'a',next: null,}const b = {data: 'a',next: null,}const c = {data: 'a',next: null,}a.next = b;b.next = c;
这里我们的一个简单链表就构造好了,构造了一个a -> b -> c的结构。
删除元素(假设删除b, a -> b -> c):
a.next = c;
增加元素,比如,a -> b -> c增加一个newNode,在b、c之间:
b.next = newNode;newNode.next = c;
遍历链表的操作
// 假设链表结构interface ListNode {data: any;next: ListNode;}// 假设存在一个链表 head// 如何遍历其每一个节点的数据// 下面是标准操作// 声明一个引用(或非严格可叫指针,但是js里面没有指针)// 指向链表头部let p = head;while(p) {// 你希望的操作// console.log(p.data);p = p.next;}
JS中的原型链
JS的原型链是一个老生常谈的问题。原型链可以理解成是JS这种语言实现继承的方式(通常编程语言有class和原型两种方式实现继承)。
简单来说,JS中一个对象的instance被new出来了之后,它会有一个属性去指向自己的原型对象(也是类的构造函数的原型对象),而这个所谓“自己的原型对象”本质上也是一个对象,那么它也有所谓“自己的原型对象”,那么这个指向关系会继续下去,最终,我们这个指向旅程终点是Object这一级。
上面的概念在具体代码层面就是:
- 每一个类的构造函数都会关联一个原型对象。这个原型对象和类的构造函数的关联关系是这样建立的:类的构造函数通过属性prototype指向原型对象;原型对象通过属性constructor指回类的构造函数。可以看到构造函数和原型对象的关联是双向的。
类的instance(实例)会关联类的原型对象。当代码中A类被new了一个新的实例对象时,默认在这个对象中会有一个属性,通常是叫proto,这个属性的值指向其原型对象,此原型对象和上文提到的类构造函数的原型对象是同一个对象。
基于这一点:假设 const ins = new ClassX(),那么我们就有:ins.proto === ClassX.prototype是true;
这有什么用呢?在JS中,如果查找某个对象有什么属性,是顺着原型链向上找的,如果原型链上访问到的对象中存在这个属性,那么其值就是待查找的某个属性的值。
另外一点,运算符instanceof也是通过原型链的关系来判断的。
那么,让我们再从链表的角度再来看下原型链。
从数据结构的角度来看,原型链就是一个链表结构,只不过,节点和节点间的关系不是next,而是proto,但是本质不都是一个指针或引用呗。
那么,我们想向遍历链表那样遍历原型链该怎么做?let p = something;while(p){// ....p = p.__proto__}
面试题
类似instanceof运算符的instanceOf方法
要求实现一个instanceOf()方法和instancof运算符的功能一致
interface DefineInstanceOf: (objToVerify:Object, constructorToVerify:Function) => boolean
很简单:
const instanceOf: DefineInstanceOf = (objToVerify, constructorToVerify) => {let p = objToVerify;while(p) {if(p.__proto__ === constructorToVerify.prototype) {return true;}p = p.__proto__;}return false;}
测试用例
instanceOf({}, Object)
true
instanceOf(()=>{}, Object)
true
instanceOf(()=>{}, Array)
false
_拿到深层次对象的指定访问路径的值
假设有个对象
const obj = {a: {aa: {aaa: {aaaa: 'I Love This Game!'}}},b: {bb: 22,}}
比如我想拿到obj.a.aa.aaa.aaaa的值通常情况下
// 一套optional访问就能搞定obj.a?.aa?.aaa?.aaaa
但是这种嵌套关系,换一个角度理解,也是一种链式关系,那么我们从链表的角度去理解,模拟链表遍历的操作,可以写下面这个函数:
const getAttrValueOptional = (object, attrs: string[]) =>{let p = object;while(p && attrs.length > 0){p = p[attrs.shift()]}return p}
测试用例
getAttrValueOptional(obj, [‘a’, ‘aa’, ‘aaa’, ‘aaaa’])
“I Love This Game!”
_getAttrValueOptional(obj, [‘a’, ‘aa’, ‘aaa’, ‘b’])
undefined
_getAttrValueOptional(obj, [‘b’, ‘bb’])
22
_getAttrValueOptional(obj, [‘b’, ‘bb’, ‘c’])
undefined
_getAttrValueOptional(obj, [])
obj
LeetCode 237: 删除链表的节点
删除链表中的节点
请编写一个函数,使其可以删除某个链表中给定的(非末尾)节点,你将只被给定要求被删除的节点。
现有一个链表 — head = [4,5,1,9],它可以表示为:
这个题目,给到你的是一个node,是想让你删除这个node。
很容易想到,那就是之前元素的next指向之后元素。但是很遗憾,在这个题里面拿不到。
但是我们换一个思路:“偷梁换柱”
把这个元素的数据域换成后一个元素的数据域。
把这个元素的next指针设置成后一个元素的next指针的值。
LeetCode 206: 反转链表
反转链表
反转一个单链表。
示例:
输入: 1->2->3->4->5->NULL
输出: 5->4->3->2->1->NULL
前后两个指针遍历,改变next指针
LeetCode 2: 两数相加
两数相加
给出两个 非空 的链表用来表示两个非负的整数。其中,它们各自的位数是按照 逆序 的方式存储的,并且它们的每个节点只能存储 一位 数字。
如果,我们将这两个数相加起来,则会返回一个新的链表来表示它们的和。
您可以假设除了数字 0 之外,这两个数都不会以 0 开头。
示例:
输入:(2 -> 4 -> 3) + (5 -> 6 -> 4)
输出:7 -> 0 -> 8
原因:342 + 465 = 807
每一位相加,但是要注意求和产生的进位,以及遍历完链表之后还有没进位,如果有,还需要额外构造一个节点。
LeetCode 83: 删除链表的重复元素
给定一个排序链表,删除所有重复的元素,使得每个元素只出现一次。
示例 1:
输入: 1->1->2
输出: 1->2
示例 2:
输入: 1->1->2->3->3
输出: 1->2->3
很容易想到的一个思路就是在遍历每个节点的时候记录下节点的值,放到set里面,在如果某个节点的值是出现过的,就删除这个节点。
这个题简单就简单在他是一个排序链表,所以上面比较通用的判断出现过没有的方法就没必要了,因为排序的链表,如果有重复元素,那么重复元素肯定相邻。
这样,判断的条件就从set.has()变成node.val === node.next.val,节省了空间,空间复杂度从o(n)变成o(1)了。
还有一点需要注意的是,遍历的时候,不是每一次都有推进指针的,我们当遇到非重复节点的时候推荐,反之,不推进指针,这样,可以防止连续n个都是相同值元素。
LeetCode 141: 环形链表
给定一个链表,判断链表中是否有环。
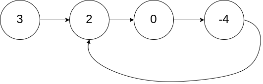
为了表示给定链表中的环,我们使用整数 pos 来表示链表尾连接到链表中的位置(索引从 0 开始)。 如果 pos 是 -1,则在该链表中没有环。
示例 1:
输入:head = [3,2,0,-4], pos = 1
输出:true
解释:链表中有一个环,其尾部连接到第二个节点。
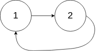
示例 2:
输入:head = [1,2], pos = 0
输出:true
解释:链表中有一个环,其尾部连接到第一个节点。
示例 3:
输入:head = [1], pos = -1
输出:false
解释:链表中没有环。
LeetCode的这个题目中的输入输出像是测试用例的输入输出,意思就是这么个意思,但是我们编程期间的输入输出不是这样,这个题真正的入参是一个head,出参是布尔值。
这个题目也可用遍历,每一个节点在set中放入next的值,然后校验set中的值是否出现过来完成
不过这个题有一个进阶挑战
进阶:
你能用 _O(1)(即,常量)内存解决此问题吗?
我们上述思路引入了set,空间复杂度是O(n)
完成这个进阶挑战,需要一个思路叫,快慢双指针。
两个步进不同的指针,如果有环,肯定能遇见的。
var hasCycle = function(head) {// 使用set 判断// let p = head;// const pointerSet = new Set();// while(p && p.next){// if(pointerSet.has(p)) {// return true// }// pointerSet.add(p);// p = p.next;// }// return false;// 进阶:// 你能用 O(1)(即,常量)内存解决此问题吗?// 快慢双指针let fast = head;let slow = head;while(fast && fast.next && fast.next.next && slow && slow.next) {fast = fast.next.next;slow = slow.next;if(fast === slow){return true;}}return false};
