基础练习
1.十六进制转八进制
问题描述
给定n个十六进制正整数,输出它们对应的八进制数。
输入格式
输入的第一行为一个正整数n (1<=n<=10)。
接下来n行,每行一个由0~9、大写字母A~F组成的字符串,表示要转换的十六进制正整数,每个十六进制数长度不超过100000。
输出格式
输出n行,每行为输入对应的八进制正整数。
【注意】
输入的十六进制数不会有前导0,比如012A。
输出的八进制数也不能有前导0。
样例输入
2
39
123ABC
源代码
n=int(input())if (n>=1)&(n<=10):alist=n*[0]i=0while i<n:alist[i]=input()i+=1for i in range(0,len(alist)):alist[i]=int(alist[i],16)alist[i]=str(oct(alist[i]))[2:] #将八进制默认输出的0o去掉print(alist[i])"""int('A',16) # 字符串转换成16进制整数hex(16) # 10进制转16进制oct(8) # 10进制转8进制bin(8) # 10进制转2进制"""
2.特殊回文数
问题描述
123321是一个非常特殊的数,它从左边读和从右边读是一样的。
输入一个正整数n, 编程求所有这样的五位和六位十进制数,满足各位数字之和等于n 。
输入格式
输入一行,包含一个正整数n。
输出格式
按从小到大的顺序输出满足条件的整数,每个整数占一行。
样例输入
52
样例输出
899998
989989
998899
数据规模和约定
1<=n<=54。
源代码:
运行超时:
def huiwen(n):ans=0nn=nwhile nn>0:ans=ans*10 + (nn%10)nn=int(nn/10)if ans==n:return 1return 0def add(n):ans=0while n>0:ans+=n%10n=int(n/10)return ansn=int(input())for i in range(10000,1000000): #遍历次数过多容易导致超时if huiwen(i):if add(i)==n:print(i)
高效算法:
n=int(input())def huiwen(n):if n>45 and n%2==1: #如果给的数是大于45的奇数就不存在五位或六位的回文数,因为5位回文数n<=45,return #六位回文数n一定是偶数for i in range(1,10):for j in range(0,10):for k in range(0,10):if (2*(i+j)+k==n):sum=i*10001+j*1010+k*100print(sum)if n%2==1: #当n是奇数,没必要遍历六位回文数returnfor i in range(1,10):for j in range(0,10):for k in range(0,10):if (2*(i+j+k)==n):sum=i*100001+j*10010+k*1100print(sum)huiwen(n)
3.回文数
问题描述
1221是一个非常特殊的数,它从左边读和从右边读是一样的,编程求所有这样的四位十进制数。
输出格式
按从小到大的顺序输出满足条件的四位十进制数。
源代码
for i in range(1,10):for j in range(0,10):sum=i*1001+j*110print(sum)
4.特殊的数字
问题描述
153是一个非常特殊的数,它等于它的每位数字的立方和,即153=111+555+333。编程求所有满足这种条件的三位十进制数。
输出格式
按从小到大的顺序输出满足条件的三位十进制数,每个数占一行。
源代码
for i in range(1,10):for j in range(0,10):for k in range(0,10):sum=i*100+j*10+k*1if sum==pow(i,3)+pow(j,3)+pow(k,3):print(sum)
5.杨辉三角形
问题描述
杨辉三角形又称Pascal三角形,它的第i+1行是(a+b)的展开式的系数。
它的一个重要性质是:三角形中的每个数字等于它两肩上的数字相加。
下面给出了杨辉三角形的前4行:
1
1 1
1 2 1
1 3 3 1
给出n,输出它的前n行。
输入格式
输入包含一个数n。
输出格式
输出杨辉三角形的前n行。每一行从这一行的第一个数开始依次输出,中间使用一个空格分隔。请不要在前面输出多余的空格。
样例输入
4
样例输出
1
1 1
1 2 1
1 3 3 1
数据规模与约定
1 <= n <= 34。
源代码
利用二维数组,
alist=[['1'],['1','1']]n=int(input())def yanghui(n):for i in range(2,n):s=(i+1)*[0]s[0]='1's[i]='1'for j in range(1,i):s[j]=str(int(alist[i-1][j-1])+int(alist[i-1][j]))alist.append(s)for i in range(0,len(alist)):print(' '.join(alist[i])) #join要可以将字符列表转换为不带括号的元素yanghui(n)
6.查找整数
问题描述
给出一个包含n个整数的数列,问整数a在数列中的第一次出现是第几个。
输入格式
第一行包含一个整数n。
第二行包含n个非负整数,为给定的数列,数列中的每个数都不大于10000。
第三行包含一个整数a,为待查找的数。
输出格式
如果a在数列中出现了,输出它第一次出现的位置(位置从1开始编号),否则输出-1。
样例输入
6
1 9 4 8 3 9
9
样例输出
2
数据规模与约定
1 <= n <= 1000。
源代码
n=int(input())s=input().split() #输入多个数,并用空格隔开k=input()for i in range(0,n):if s[i]==k:flag=i+1breakelse:flag=-1print(flag)
7.数列特征
问题描述
给出n个数,找出这n个数的最大值,最小值,和。
输入格式
第一行为整数n,表示数的个数。
第二行有n个数,为给定的n个数,每个数的绝对值都小于10000。
输出格式
输出三行,每行一个整数。第一行表示这些数中的最大值,第二行表示这些数中的最小值,第三行表示这些数的和。
样例输入
5
1 3 -2 4 5
样例输出
5
-2
11
数据规模与约定
1 <= n <= 10000。
源代码
n=int(input())s=input().split()for i in range(0,n):s[i]=int(s[i])max=s[0]min=s[0]sum=s[0]for i in range(1,n):if max<s[i]:max=s[i]if min>s[i]:min=s[i]sum+=(s[i])print(max)print(min)print(sum)
普及题
1.用筛法求之N内的素数
题目描述
用筛法求之N内的素数。
输入
N
输出
0~N的素数
样例输入
100
样例输出
2
3
5
7
11
13
17
19
23
29
31
37
41
43
47
53
59
61
67
71
73
79
83
89
97
源代码
#定义一个列表prime,赋初值为0,列表索引表示对应的数字,通过数组值判断是否为素数#若prime[i]=0,则prime[i*j]=1,即i*j不是素数def Selbergsieve(n):prime=(n*n)*[0]for i in range(2,n):if prime[i]==0:j=2while i*j<=n:prime[i*j]=1j+=1for i in range(2,n):if prime[i]==0:print(i)n=int(input())Selbergsieve(n)###优化的代码,省去了遍历数组的时间def Selbergsieve(n):prime=(n*n)*[0]for i in range(2,n):if prime[i]==0:j=2print(i)while i*j<=n:prime[i*j]=1j+=1n=int(input())Selbergsieve(n)
2.字符串的输入输出处理
字符串的输入输出处理。
输入
第一行是一个正整数N,最大为100。之后是多行字符串(行数大于N), 每一行字符串可能含有空格,字符数不超过1000。
输出
先将输入中的前N行字符串(可能含有空格)原样输出,再将余下的字符串(不含有空格)以空格或回车分割依次按行输出。每行输出之间输出一个空行。
样例输入
2
www.dotcpp.com DOTCPP
A C M
D O T CPP
样例输出
www.dotcpp.com DOTCPP
A C M
D
O
T
CPP
源代码:
n = int(input())for i in range(n):print(input() + '\n')while True:try:slist = input().split()for s in slist:print(s + '\n')except:break
3.蛇形矩阵
蛇形矩阵是由1开始的自然数依次排列成的一个矩阵上三角形。
输入
本题有多组数据,每组数据由一个正整数N组成。(N不大于100)
输出
对于每一组数据,输出一个N行的蛇形矩阵。两组输出之间不要额外的空行。矩阵三角中同一行的数字用一个空格分开。行尾不要多余的空格。
样例输入
5
样例输出
1 3 6 10 15
2 5 9 14
4 8 13
7 12
11
源代码

n = int(input())num=1x=2y=1while n:num1=numx1=xfor i in range(0,n):print(num,end=' ') #不是换行输出,以空格隔开输出num+=xx+=1print('\n')num=num1+yy+=1x=x1+1n-=1
4.ip判断
输入
输入由多行组成,每行是一个字符串,输入由“End of file”结束。
字符串长度最大为30,且不含空格和不可见字符
输出
对于每一个输入,单独输出一行
如果该字符串是合法的IP,输出Y,否则,输出N
样例输入
1.2.3.4
a.b.c.d
267.43.64.12
12.34.56.bb
210.43.64.129
-123.4.5.6
样例输出
Y
N
N
N
Y
N
源代码
legalset=list(map(str,range(256)))try:while True:l=input().split('.')s=Truefor i in l:if i not in legalset:print('N')s=Falsebreakif s:print('Y')except EOFError:pass
5.Tom数
正整数的各位数字之和被Tom称为Tom数。求输入数(<2^32)的Tom数!
输入
每行一个整数(<2^32).
输出
每行一个输出,对应该数的各位数之和.
样例输入
12345
56123
82
样例输出
15
17
10
源代码
while True:try:s=input()i=0s=list(s)tom=0while i<len(s):tom+=int(s[i])i+=1print(tom)except:pass
6.分糖果
题目描述
问题描述
有n个小朋友围坐成一圈。老师给每个小朋友随机发偶数个糖果,然后进行下面的游戏:
每个小朋友都把自己的糖果分一半给左手边的孩子。
一轮分糖后,拥有奇数颗糖的孩子由老师补给1个糖果,从而变成偶数。
反复进行这个游戏,直到所有小朋友的糖果数都相同为止。
你的任务是预测在已知的初始糖果情形下,老师一共需要补发多少个糖果。
输入
程序首先读入一个整数N(2< N< 100),表示小朋友的人数。
接着是一行用空格分开的N个偶数(每个偶数不大于1000,不小于2)
输出
要求程序输出一个整数,表示老师需要补发的糖果数。
样例输入
3
2 2 4
样例输出
4
源代码
n=int(input())s=input().split(' ')a=n*[0]num=0for i in range(0,n):a[i]=int(s[i])while 1:flag=Truefor i in range(1,n):if a[0]!=a[i]:flag=Falseif flag:breakfor i in range(0,n):a[i]=int(a[i]/2)temp=a[n-1]j=n-1while j>0:a[j]+=a[j-1]j-=1a[0]+=tempfor i in range(0,n):if a[i]%2!=0:a[i]+=1num+=1print(num)
7.数字游戏
栋栋正在和同学们玩一个数字游戏。
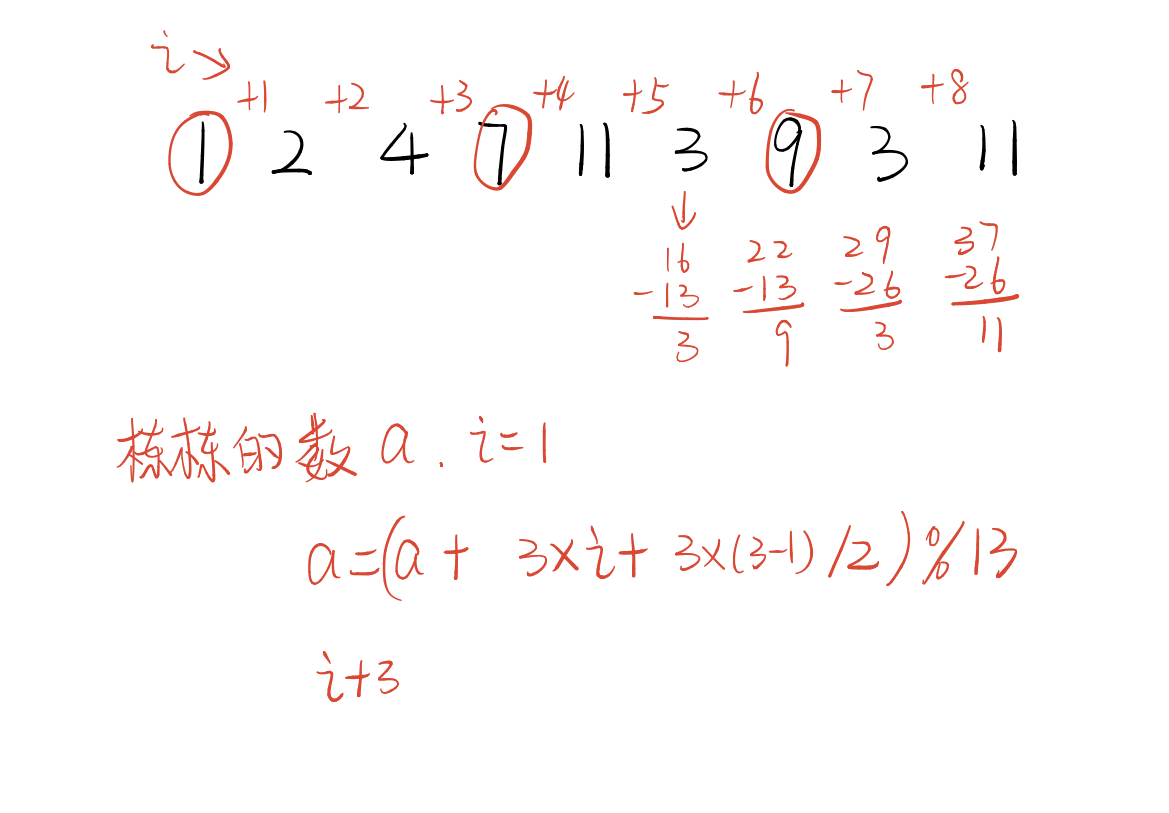
游戏的规则是这样的:栋栋和同学们一共n个人围坐在一圈。栋栋首先说出数字1。接下来,坐在栋栋左手边的同学要说下一个数字2。再下面的一个同学要从上一个同学说的数字往下数两个数说出来,也就是说4。下一个同学要往下数三个数,说7。依次类推。
为了使数字不至于太大,栋栋和同学们约定,当在心中数到 k-1 时,下一个数字从0开始数。例如,当k=13时,栋栋和同学们报出的前几个数依次为:
1, 2, 4, 7, 11, 3, 9, 3, 11, 7。
游戏进行了一会儿,栋栋想知道,到目前为止,他所有说出的数字的总和是多少。
样例说明
栋栋说出的数依次为1, 7, 9,和为17。
数据规模和约定
1 < n,k,T < 1,000,000;
输入
输入的第一行包含三个整数 n,k,T,其中 n 和 k 的意义如上面所述,T 表示到目前为止栋栋一共说出的数字个数。
输出
输出一行,包含一个整数,表示栋栋说出所有数的和。
样例输入
3 13 3
样例输出
17
源代码
n,k,T=map(int,input().split())num=1a=1j=1dd=0i=1while num<=T:dd+=awm=(n*i+int(n*(n-1)/2)+a)%ka=wmnum+=1i+=nprint(dd)###超时n,k,T=map(int,input().split())num=0a=n*[1]j=1dd=0while num<T:dd+=a[0]num+=1for i in range(1,n):wd,wm=divmod(a[i-1]+j,k)a[i]=a[i-1]+jj+=1wdd,wmm=divmod(a[n-1]+j,k)if wdd>0:a[0]=wmmelse:a[0]=a[n-1]+jj+=1print(dd)
8.核桃的数量(求三个数的最小公倍数)
小张是软件项目经理,他带领3个开发组。工期紧,今天都在加班呢。为鼓舞士气,小张打算给每个组发一袋核桃(据传言能补脑)。他的要求是:
1. 各组的核桃数量必须相同
2. 各组内必须能平分核桃(当然是不能打碎的)
3. 尽量提供满足1,2条件的最小数量(节约闹革命嘛)
输入
输入包含三个正整数a, b, c,表示每个组正在加班的人数,用空格分开(a,b,c< 30)
输出
输出一个正整数,表示每袋核桃的数量。
样例输入
2 4 5
样例输出
20
源代码
a,b,c=map(int,input().split())al=[a,b,c]al.sort()maxnum=al[2]while 1:if (maxnum%al[0]==0 and maxnum%al[1]==0 and maxnum%al[2]==0):breakmaxnum+=1print(maxnum)
提高题
1.2^k进制数
设r是个2^k 进制数,并满足以下条件:
(1)r至少是个2位的2^k 进制数。
(2)作为2^k 进制数,除最后一位外,r的每一位严格小于它右边相邻的那一位。
(3)将r转换为2进制数q后,则q的总位数不超过w。
在这里,正整数k(1≤k≤9)和w(k〈w≤30000)是事先给定的。
问:满足上述条件的不同的r共有多少个?
我们再从另一角度作些解释:设S是长度为w 的01字符串(即字符串S由w个“0”或“1”组成),S对应于上述条件(3)中的q。将S从右起划分为若干个长度为k 的段,每段对应一位2^k进制的数,如果S至少可分成2段,则S所对应的二进制数又可以转换为上述的2^k 进制数r。
例:设k=3,w=7。则r是个八进制数(2^3=8)。由于w=7,长度为7的01字符串按3位一段分,可分为3段(即1,3,3,左边第一段只有一个二进制位),则满足条件的八进制数有:
2位数:高位为1:6个(即12,13,14,15,16,17),高位为2:5个,…,高位为6:1个(即67)。共6+5+…+1=21个。
3位数:高位只能是1,第2位为2:5个(即123,124,125,126,127),第2位为3:4个,…,第2位为6:1个(即167)。共5+4+…+1=15个。
所以,满足要求的r共有36个。
输入
只有1行,为两个正整数,用一个空格隔开:
k w
输出
1行,是一个正整数,为所求的计算结果,即满足条件的不同的r的个数(用十进制数表示),要求最高位不得为0,各数字之间不得插入数字以外的其他字符(例如空格、换行符、逗号等)。
(提示:作为结果的正整数可能很大,但不会超过200位)
样例输入
3 7
样例输出
36
源代码
k,w=map(int,input().split())wd,wm=divmod(w,k) #wd是商,wm是余数def c(m,n): #当m=7,n=3,求7*6*5/(3*2*1)if n>m:return 0if n<0:return 0s=1for i in range(n):s=s*(m-i)//(i+1)return s#s0求的是首位为0的情况s0=sum([c(2**k-1,i) for i in range(2,wd+1)]) #sum([x,y,z...])求x+y+z+...的和s1=sum([c(2**k-1-x0,wd) for x0 in range(1,2**wm)]) #2**k表示2^kprint(s0+s1)
2.Huffuman树
**Huffman树在编码中有着广泛的应用。在这里,我们只关心Huffman树的构造过程。
给出一列数{pi}={p0, p1, …, pn-1},用这列数构造Huffman树的过程如下:
找到{pi}中最小的两个数,设为pa和pb,将pa和pb从{pi}中删除掉,然后将它们的和加入到{pi}中。这个过程的费用记为pa + pb。
重复步骤1,直到{pi}中只剩下一个数。
在上面的操作过程中,把所有的费用相加,就得到了构造Huffman树的总费用。
本题任务:对于给定的一个数列,现在请你求出用该数列构造Huffman树的总费用。
例如,对于数列{pi}={5, 3, 8, 2, 9},Huffman树的构造过程如下:
找到{5, 3, 8, 2, 9}中最小的两个数,分别是2和3,从{pi}中删除它们并将和5加入,得到{5, 8, 9, 5},费用为5。
找到{5, 8, 9, 5}中最小的两个数,分别是5和5,从{pi}中删除它们并将和10加入,得到{8, 9, 10},费用为10。
找到{8, 9, 10}中最小的两个数,分别是8和9,从{pi}中删除它们并将和17加入,得到{10, 17},费用为17。
找到{10, 17}中最小的两个数,分别是10和17,从{pi}中删除它们并将和27加入,得到{27},费用为27。
现在,数列中只剩下一个数27,构造过程结束,总费用为5+10+17+27=59。
输入
输入的第一行包含一个正整数n(n< =100)。
接下来是n个正整数,表示p0, p1, …, pn-1,每个数不超过1000。
输出
输出用这些数构造Huffman树的总费用。
源代码
###答案错误9%n=int(input())s=input().split()p=n*[0]for i in range(0,n):p[i]=int(s[i])num=0while len(p)>1:p.sort(reverse=True)a1=p.pop()a2=p.pop()p.append(a1+a2)p.sort(reverse=True)print(p)num+=(a1+a2)print(num)
3.K-进制数
考虑包含N位数字的K-进制数. 定义一个数有效, 如果其K-进制表示不包含两连续的0.
例:
1010230 是有效的7位数
1000198 无效
0001235 不是7位数, 而是4位数.
给定两个数N和K, 要求计算包含N位数字的有效K-进制数的总数.
假设2 <= K <= 10; 2 <= N; 4 <= N+K <= 18.
输入
两个十进制整数N和K
输出
十进制表示的结果
样例输入
2
10
样例输出
90
源代码
为满足提议,最多可以有n/2个0:101010101010…
将插入的0的个数为0,1,2……n/2且满足题意的数的个数相加,就是最终结果,因为插入n/2+1个0的时候就不能满足题意
n=int(input())k=int(input())num=0def c(m,n,k,N): #当m=7,n=3,求7*6*5/(3*2*1)*pow(k-1,N-n)if n>m:return 0if n<0:return 0s=1for i in range(n):s=s*(m-i)//(i+1)s=s*pow(k-1,N-n)return ss=sum([c(n-i,i,k,n) for i in range(0,round(n/2)+1)])print(s)
4.能量项链
在Mars星球上,每个Mars人都随身佩带着一串能量项链。在项链上有 N颗能量珠。能量珠是一颗有头标记与尾标记的珠子,这些标记对应着某个正整数。并且,对于相邻的两颗珠子,前一颗珠子的尾标记一定等于后一颗珠子的头标 记。因为只有这样,通过吸盘(吸盘是Mars人吸收能量的一种器官)的作用,这两颗珠子才能聚合成一颗珠子,同时释放出可以被吸盘吸收的能量。如果前一颗 能量珠的头标记为m,尾标记为r,后一颗能量珠的头标记为r,尾标记为n,则聚合后释放的能量为mrn(Mars单位),新产生的珠子的头标记为m, 尾标记为n。
需要时,Mars人就用吸盘夹住相邻的两颗珠子,通过聚合得到能量,直到项链上只剩下一颗珠子为止。显然,不同的聚合顺序得到的总能量是不同的,请你设计一个聚合顺序,使一串项链释放出的总能量最大。
例如:设N=4,4颗珠子的头标记与尾标记依次为(2,3) (3,5) (5,10) (10,2)。我们用记号◎表示两颗珠子的聚合操作,(j◎k)表示第j,k两颗珠子聚合后所释放的能量。则第4、1两颗珠子聚合后释放的能量为:
(4◎1)=1023=60。
这一串项链可以得到最优值的一个聚合顺序所释放的总能量为
((4◎1)◎2)◎3)=1023+1035+10510=710。
输入
第一行是一个正整数N(4≤N≤100),表示项链上珠子的个数。第二行 是N个用空格隔开的正整数,所有的数均不超过1000。第i个数为第i颗珠子的头标记(1≤i≤N),当i〈N时,第i颗珠子的尾标记应该等于第i+1颗 珠子的头标记。第N颗珠子的尾标记应该等于第1颗珠子的头标记。
至于珠子的顺序,你可以这样确定:将项链放到桌面上,不要出现交叉,随意指定第一颗珠子,然后按顺时针方向确定其他珠子的顺序。
输出
只有一行,是一个正整数E(E≤2.1*10^9),为一个最优聚合顺序所释放的总能量
样例输入
4
2 3 5 10
样例输出
710
源代码
"""1.从N个球里选择标记和最小的,然后与前一个球聚合形成一个新的球2.从N-1个球中选择标记和最小的球,重复第一步操作3.直到没有球为止"""N = int(input())num = list(map(int,input().split()))arr = [([0]*2) for i in range(N)]for i in range(N):if i+1 == N:arr[i] = num[i],num[0]else:arr[i] = num[i],num[i+1]def minest(arr,N):#print(min(arr))return arr.index(min(arr))ans = 0for i in range(N-1):start = minest(arr,N)-1 #arr[-1]=arr[N-1]#print(arr[start])ans += arr[start][0]*arr[start+1][0]*arr[start+1][1]arr[start+1] = arr[start][0],arr[start+1][1]del arr[start]#print(arr)print(ans)
5.插入排序
**排序,顾名思义,是将若干个元素按其大小关系排出一个顺序。形式化描述如下:有n个元素a[1],a[2],…,a[n],从小到大排序就是将它们排成一个新顺序a[i[1]]< a[i[2]]< …< a[i[n]]
i[k]为这个新顺序。
插入排序,顾名思义,是通过插入操作完成排序。其直觉和方法来源于打牌时安排牌的方法。每次摸起一张牌,你都会将其插入到现在手牌中它按顺序应在的那个位置。插入排序每一步都类似这个摸牌过程。比如现在有整数数组:{3, 1, 5, 4, 2}
第一步:插入3 得到新序列{3}
第二步:插入1 得到新序列{1 3}
第三步:插入5 得到新序列{1 3 5}
第四步:插入4 得到新序列{1 3 4 5}
第五步:插入2 得到新序列{1 2 3 4 5}
为了看程序中如何完成插入过程,我们以第五步为例:
初始时:1 3 4 5 2
将2存入临时变量tmp
将下标j指向2之前的元素5,然后根据tmp和a[j]的大小关系决定该元素是否应该后移。如果a[j]> tmp,则将a[j]后移到a[j+1],序列变成1 3 4 5 5。
将下标j前移
判断a[j]> tmp,后移a[j]到a[j+1],得到1 3 4 4 5
将下标j前移
判断a[j]> tmp,后移a[j]到a[j+1],得到1 3 3 4 5
因为a[j]< =tmp,所以将tmp放回a[j+1],得到 1 2 3 4 5
现在,输入n个整数,根据以上算法,输出插入排序的全过程。
数据规模和约定
n< =100
整数元素在int范围内
输入
第一行一个正整数n,表示元素个数
第二行为n个整数,以空格隔开
输出
有n个元素,因此输出部分分为n个部分,每个部分开头行为:Insert element[i],i为第几个元素。然后对于每一个部分,输出该部分该元素在插入排序过程中的每一步产生的新序列,初始时的序列以Init:打头,然 后每一步后移数组元素后的元素序列以Move back:打头,最后得到的最终结果序列以Final:打头。序列元素间以一个空格隔开。示例请看样例输出。每一个部分的Insert element[i]之后的每一步的输出行之前要缩进两格,即输出两个空格。
样例输入
5
3 1 5 4 2
样例输出
Insert element[1]:
Init:3
Final:3
Insert element[2]:
Init:3 1
Move back:3 3
Final:1 3
Insert element[3]:
Init:1 3 5
Final:1 3 5
Insert element[4]:
Init:1 3 5 4
Move back:1 3 5 5
Final:1 3 4 5
Insert element[5]:
Init:1 3 4 5 2
Move back:1 3 4 5 5
Move back:1 3 4 4 5
Move back:1 3 3 4 5
Final:1 2 3 4 5
