RNN模型
- RNN(Recurrent Neural Network), 中文称作循环神经网络, 它一般以序列数据为输入, 通过网络内部的结构设计有效捕捉序列之间的关系特征, 一般也是以序列形式进行输出.
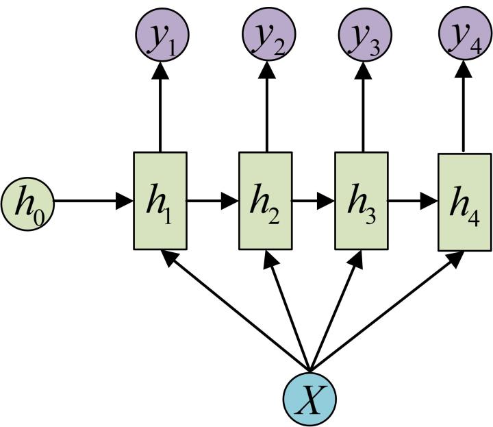
一般单层神经网络结构:

RNN单层网络结构:

以时间步对RNN进行展开后的单层网络结构

RNN的循环机制使模型隐层上一时间步产生的结果, 能够作为当下时间步输入的一部分(当下时间步的输入除了正常的输入外还包括上一步的隐层输出)对当下时间步的输出产生影响.
作用
因为RNN结构能够很好利用序列之间的关系, 因此针对自然界具有连续性的输入序列, 如人类的语言, 语音等进行很好的处理, 广泛应用于NLP领域的各项任务, 如文本分类, 情感分析, 意图识别, 机器翻译等.
分类
这里我们将从两个角度对RNN模型进行分类. 第一个角度是输入和输出的结构, 第二个角度是RNN的内部构造
- 按照输入和输出的结构进行分类:
- N vs N - RNN
- N vs 1 - RNN
- 1 vs N - RNN
- N vs M - RNN
- 按照RNN的内部构造进行分类:
- 传统RNN
- LSTM
- Bi-LSTM
- GRU
- Bi-GRU
N vs N - RNN:
它是RNN最基础的结构形式, 最大的特点就是: 输入和输出序列是等长的. 由于这个限制的存在, 使其适用范围比较小, 可用于生成等长度的合辙诗句.

N vs 1 - RNN:
有时候我们要处理的问题输入是一个序列,而要求输出是一个单独的值而不是序列,应该怎样建模呢?我们只要在最后一个隐层输出h上进行线性变换就可以了,大部分情况下,为了更好的明确结果, 还要使用sigmoid或者softmax进行处理. 这种结构经常被应用在文本分类问题上.

1 vs N - RNN:
如果输入不是序列而输出为序列的情况怎么处理呢?我们最常采用的一种方式就是使该输入作用于每次的输出之上. 这种结构可用于将图片生成文字任务等.

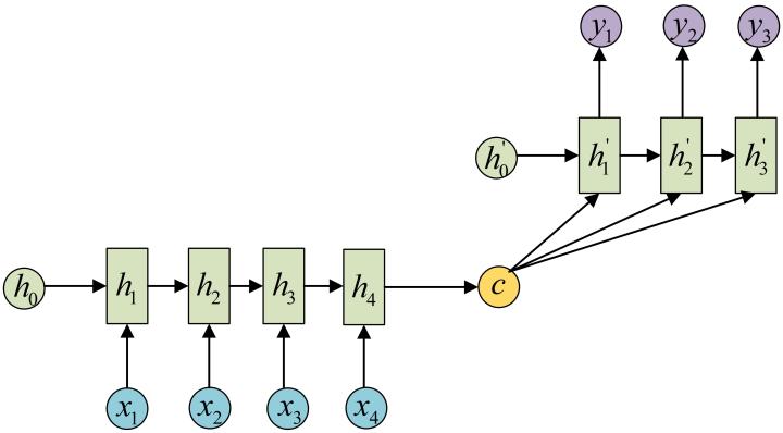
N vs M - RNN:
这是一种不限输入输出长度的RNN结构, 它由编码器和解码器两部分组成, 两者的内部结构都是某类RNN, 它也被称为seq2seq架构. 输入数据首先通过编码器, 最终输出一个隐含变量c, 之后最常用的做法是使用这个隐含变量c作用在解码器进行解码的每一步上, 以保证输入信息被有效利用.

seq2seq
seq2seq架构最早被提出应用于机器翻译, 因为其输入输出不受限制,如今也是应用最广的RNN模型结构. 在机器翻译, 阅读理解, 文本摘要等众多领域都进行了非常多的应用实践.
传统RNN模型
结构图

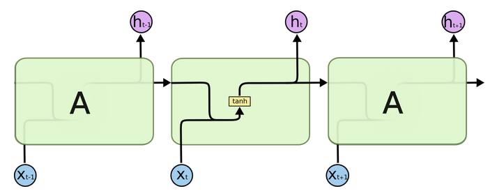
解释图:

中间的方块部分, 它的输入有两部分, 分别是h(t-1)以及x(t), 代表上一时间步的隐层输出, 以及此时间步的输入, 它们进入RNN结构体后, 会”融合”到一起, 这种融合我们根据结构解释可知, 是将二者进行拼接, 形成新的张量[x(t), h(t-1)], 之后这个新的张量将通过一个全连接层(线性层), 该层使用tanh作为激活函数, 最终得到该时间步的输出h(t), 它将作为下一个时间步的输入和x(t+1)一起进入结构体. 以此类推.
过程演示

计算公式

激活函数tanh的作用
用于帮助调节流经网络的值, tanh函数将值压缩在-1和1之间.

Pytorch中传统RNN工具的使用:
- 位置: 在torch.nn工具包之中, 通过torch.nn.RNN可调用.
nn.RNN类初始化主要参数解释:
- input_size: 输入张量x中特征维度的大小.
- hidden_size: 隐层张量h中特征维度的大小.
- num_layers: 隐含层的数量.
- nonlinearity: 激活函数的选择, 默认是tanh.
nn.RNN类实例化对象主要参数解释:
- input: 输入张量x.
- h0: 初始化的隐层张量h.
示例
# 导入工具包>>> import torch>>> import torch.nn as nn>>> rnn = nn.RNN(5, 6, 1)>>> input = torch.randn(1, 3, 5)>>> h0 = torch.randn(1, 3, 6)>>> output, hn = rnn(input, h0)>>> outputtensor([[[ 0.4282, -0.8475, -0.0685, -0.4601, -0.8357, 0.1252],[ 0.5758, -0.2823, 0.4822, -0.4485, -0.7362, 0.0084],[ 0.9224, -0.7479, -0.3682, -0.5662, -0.9637, 0.4938]]],grad_fn=<StackBackward>)>>> hntensor([[[ 0.4282, -0.8475, -0.0685, -0.4601, -0.8357, 0.1252],[ 0.5758, -0.2823, 0.4822, -0.4485, -0.7362, 0.0084],[ 0.9224, -0.7479, -0.3682, -0.5662, -0.9637, 0.4938]]],grad_fn=<StackBackward>)
优势:
- 由于内部结构简单, 对计算资源要求低, 相比之后我们要学习的RNN变体:LSTM和GRU模型参数总量少了很多, 在短序列任务上性能和效果都表现优异.
缺点:
- 传统RNN在解决长序列之间的关联时, 通过实践,证明经典RNN表现很差, 原因是在进行反向传播的时候, 过长的序列导致梯度的计算异常, 发生梯度消失或爆炸.
梯度消失或爆炸
根据反向传播算法和链式法则, 梯度的计算可以简化为以下公式:

其中sigmoid的导数值域是固定的, 在[0, 0.25]之间, 而一旦公式中的w也小于1, 那么通过这样的公式连乘后, 最终的梯度就会变得非常非常小, 这种现象称作梯度消失. 反之, 如果我们人为的增大w的值, 使其大于1, 那么连乘够就可能造成梯度过大, 称作梯度爆炸.
危害
如果在训练过程中发生了梯度消失,权重无法被更新,最终导致训练失败; 梯度爆炸所带来的梯度过大,大幅度更新网络参数,在极端情况下,结果会溢出(NaN值).
LSTM模型
LSTM(Long Short-Term Memory)也称长短时记忆结构, 它是传统RNN的变体, 与经典RNN相比能够有效捕捉长序列之间的语义关联, 缓解梯度消失或爆炸现象. 同时LSTM的结构更复杂, 它的核心结构可以分为四个部分去解析:
- 遗忘门
- 输入门
- 细胞状态
- 输出门
结构图

遗忘门
与传统RNN的内部结构计算非常相似, 首先将当前时间步输入x(t)与上一个时间步隐含状态h(t-1)拼接, 得到[x(t), h(t-1)], 然后通过一个全连接层做变换, 最后通过sigmoid函数进行激活得到f(t), 我们可以将f(t)看作是门值, 好比一扇门开合的大小程度, 门值都将作用在通过该扇门的张量, 遗忘门门值将作用的上一层的细胞状态上, 代表遗忘过去的多少信息, 又因为遗忘门门值是由x(t), h(t-1)计算得来的, 因此整个公式意味着根据当前时间步输入和上一个时间步隐含状态h(t-1)来决定遗忘多少上一层的细胞状态所携带的过往信息.
过程演示:

激活函数sigmiod的作用:
- 用于帮助调节流经网络的值, sigmoid函数将值压缩在0和1之间.

输入门

输入门的计算公式有两个, 第一个就是产生输入门门值的公式, 它和遗忘门公式几乎相同, 区别只是在于它们之后要作用的目标上. 这个公式意味着输入信息有多少需要进行过滤. 输入门的第二个公式是与传统RNN的内部结构计算相同. 对于LSTM来讲, 它得到的是当前的细胞状态, 而不是像经典RNN一样得到的是隐含状态.
过程演示

细胞状态更新

细胞更新的结构与计算公式非常容易理解, 这里没有全连接层, 只是将刚刚得到的遗忘门门值与上一个时间步得到的C(t-1)相乘, 再加上输入门门值与当前时间步得到的未更新C(t)相乘的结果. 最终得到更新后的C(t)作为下一个时间步输入的一部分. 整个细胞状态更新过程就是对遗忘门和输入门的应用.
过程演示

输出门

输出门部分的公式也是两个, 第一个即是计算输出门的门值, 它和遗忘门,输入门计算方式相同. 第二个即是使用这个门值产生隐含状态h(t), 他将作用在更新后的细胞状态C(t)上, 并做tanh激活, 最终得到h(t)作为下一时间步输入的一部分. 整个输出门的过程, 就是为了产生隐含状态h(t).
过程演示

Bi-LSTM
Bi-LSTM即双向LSTM, 它没有改变LSTM本身任何的内部结构, 只是将LSTM应用两次且方向不同, 再将两次得到的LSTM结果进行拼接作为最终输出.

我们看到图中对”我爱中国”这句话或者叫这个输入序列, 进行了从左到右和从右到左两次LSTM处理, 将得到的结果张量进行了拼接作为最终输出. 这种结构能够捕捉语言语法中一些特定的前置或后置特征, 增强语义关联,但是模型参数和计算复杂度也随之增加了一倍, 一般需要对语料和计算资源进行评估后决定是否使用该结构.
使用
在torch.nn工具包之中, 通过torch.nn.LSTM可调用.
nn.LSTM类初始化主要参数解释:
- input_size: 输入张量x中特征维度的大小.
- hidden_size: 隐层张量h中特征维度的大小.
- num_layers: 隐含层的数量.
- bidirectional: 是否选择使用双向LSTM, 如果为True, 则使用; 默认不使用.
nn.LSTM类实例化对象主要参数解释:
- input: 输入张量x.
- h0: 初始化的隐层张量h.
- c0: 初始化的细胞状态张量c.
示例
# 定义LSTM的参数含义: (input_size, hidden_size, num_layers)# 定义输入张量的参数含义: (sequence_length, batch_size, input_size)# 定义隐藏层初始张量和细胞初始状态张量的参数含义:# (num_layers * num_directions, batch_size, hidden_size)>>> import torch.nn as nn>>> import torch>>> rnn = nn.LSTM(5, 6, 2)>>> input = torch.randn(1, 3, 5)>>> h0 = torch.randn(2, 3, 6)>>> c0 = torch.randn(2, 3, 6)>>> output, (hn, cn) = rnn(input, (h0, c0))>>> outputtensor([[[ 0.0447, -0.0335, 0.1454, 0.0438, 0.0865, 0.0416],[ 0.0105, 0.1923, 0.5507, -0.1742, 0.1569, -0.0548],[-0.1186, 0.1835, -0.0022, -0.1388, -0.0877, -0.4007]]],grad_fn=<StackBackward>)>>> hntensor([[[ 0.4647, -0.2364, 0.0645, -0.3996, -0.0500, -0.0152],[ 0.3852, 0.0704, 0.2103, -0.2524, 0.0243, 0.0477],[ 0.2571, 0.0608, 0.2322, 0.1815, -0.0513, -0.0291]],[[ 0.0447, -0.0335, 0.1454, 0.0438, 0.0865, 0.0416],[ 0.0105, 0.1923, 0.5507, -0.1742, 0.1569, -0.0548],[-0.1186, 0.1835, -0.0022, -0.1388, -0.0877, -0.4007]]],grad_fn=<StackBackward>)>>> cntensor([[[ 0.8083, -0.5500, 0.1009, -0.5806, -0.0668, -0.1161],[ 0.7438, 0.0957, 0.5509, -0.7725, 0.0824, 0.0626],[ 0.3131, 0.0920, 0.8359, 0.9187, -0.4826, -0.0717]],[[ 0.1240, -0.0526, 0.3035, 0.1099, 0.5915, 0.0828],[ 0.0203, 0.8367, 0.9832, -0.4454, 0.3917, -0.1983],[-0.2976, 0.7764, -0.0074, -0.1965, -0.1343, -0.6683]]],grad_fn=<StackBackward>)
GRU模型
GRU(Gated Recurrent Unit)也称门控循环单元结构, 它也是传统RNN的变体, 同LSTM一样能够有效捕捉长序列之间的语义关联, 缓解梯度消失或爆炸现象. 同时它的结构和计算要比LSTM更简单, 它的核心结构可以分为两个部分去解析:
- 更新门
- 重置门
结构图

更新门和重置门

和之前分析过的LSTM中的门控一样, 首先计算更新门和重置门的门值, 分别是z(t)和r(t), 计算方法就是使用X(t)与h(t-1)拼接进行线性变换, 再经过sigmoid激活. 之后重置门门值作用在了h(t-1)上, 代表控制上一时间步传来的信息有多少可以被利用. 接着就是使用这个重置后的h(t-1)进行基本的RNN计算, 即与x(t)拼接进行线性变化, 经过tanh激活, 得到新的h(t). 最后更新门的门值会作用在新的h(t),而1-门值会作用在h(t-1)上, 随后将两者的结果相加, 得到最终的隐含状态输出h(t), 这个过程意味着更新门有能力保留之前的结果, 当门值趋于1时, 输出就是新的h(t), 而当门值趋于0时, 输出就是上一时间步的h(t-1).
Bi-GRU
Bi-GRU与Bi-LSTM的逻辑相同, 都是不改变其内部结构, 而是将模型应用两次且方向不同, 再将两次得到的LSTM结果进行拼接作为最终输出. 具体参见上小节中的Bi-LSTM.
使用
在torch.nn工具包之中, 通过torch.nn.GRU可调用
nn.GRU类初始化主要参数解释:
- input_size: 输入张量x中特征维度的大小.
- hidden_size: 隐层张量h中特征维度的大小.
- num_layers: 隐含层的数量.
- bidirectional: 是否选择使用双向LSTM, 如果为True, 则使用; 默认不使用.
nn.GRU类实例化对象主要参数解释:
- input: 输入张量x.
- h0: 初始化的隐层张量h.
示例
>>> import torch>>> import torch.nn as nn>>> rnn = nn.GRU(5, 6, 2)>>> input = torch.randn(1, 3, 5)>>> h0 = torch.randn(2, 3, 6)>>> output, hn = rnn(input, h0)>>> outputtensor([[[-0.2097, -2.2225, 0.6204, -0.1745, -0.1749, -0.0460],[-0.3820, 0.0465, -0.4798, 0.6837, -0.7894, 0.5173],[-0.0184, -0.2758, 1.2482, 0.5514, -0.9165, -0.6667]]],grad_fn=<StackBackward>)>>> hntensor([[[ 0.6578, -0.4226, -0.2129, -0.3785, 0.5070, 0.4338],[-0.5072, 0.5948, 0.8083, 0.4618, 0.1629, -0.1591],[ 0.2430, -0.4981, 0.3846, -0.4252, 0.7191, 0.5420]],[[-0.2097, -2.2225, 0.6204, -0.1745, -0.1749, -0.0460],[-0.3820, 0.0465, -0.4798, 0.6837, -0.7894, 0.5173],[-0.0184, -0.2758, 1.2482, 0.5514, -0.9165, -0.6667]]],grad_fn=<StackBackward>)
优势:
- GRU和LSTM作用相同, 在捕捉长序列语义关联时, 能有效抑制梯度消失或爆炸, 效果都优于传统RNN且计算复杂度相比LSTM要小.
缺点:
- GRU仍然不能完全解决梯度消失问题, 同时其作用RNN的变体, 有着RNN结构本身的一大弊端, 即不可并行计算, 这在数据量和模型体量逐步增大的未来, 是RNN发展的关键瓶颈.
注意力机制
它需要三个指定的输入Q(query), K(key), V(value), 然后通过计算公式得到注意力的结果, 这个结果代表query在key和value作用下的注意力表示. 当输入的Q=K=V时, 称作自注意力计算规则.
常见的注意力计算规则:
- 将Q,K进行纵轴拼接, 做一次线性变化, 再使用softmax处理获得结果最后与V做张量乘法.

- 将Q,K进行纵轴拼接, 做一次线性变化后再使用tanh函数激活, 然后再进行内部求和, 最后使用softmax处理获得结果再与V做张量乘法.

- 将Q与K的转置做点积运算, 然后除以一个缩放系数, 再使用softmax处理获得结果最后与V做张量乘法.

说明:当注意力权重矩阵和V都是三维张量且第一维代表为batch条数时, 则做bmm运算.bmm是一种特殊的张量乘法运算.
bmm运算
# 如果参数1形状是(b × n × m), 参数2形状是(b × m × p), 则输出为(b × n × p)>>> input = torch.randn(10, 3, 4)>>> mat2 = torch.randn(10, 4, 5)>>> res = torch.bmm(input, mat2)>>> res.size()torch.Size([10, 3, 5])
自注意力机制
注意力机制是注意力计算规则能够应用的深度学习网络的载体, 同时包括一些必要的全连接层以及相关张量处理, 使其与应用网络融为一体. 使用自注意力计算规则的注意力机制称为自注意力机制.
NLP领域中, 当前的注意力机制大多数应用于seq2seq架构, 即编码器和解码器模型.
作用
- 在解码器端的注意力机制: 能够根据模型目标有效的聚焦编码器的输出结果, 当其作为解码器的输入时提升效果. 改善以往编码器输出是单一定长张量, 无法存储过多信息的情况.
- 在编码器端的注意力机制: 主要解决表征问题, 相当于特征提取过程, 得到输入的注意力表示. 一般使用自注意力(self-attention).
实现步骤
- 第一步: 根据注意力计算规则, 对Q,K,V进行相应的计算.
- 第二步: 根据第一步采用的计算方法, 如果是拼接方法,则需要将Q与第二步的计算结果再进行拼接, 如果是转置点积, 一般是自注意力, Q与V相同, 则不需要进行与Q的拼接.
- 第三步: 最后为了使整个attention机制按照指定尺寸输出, 使用线性层作用在第二步的结果上做一个线性变换, 得到最终对Q的注意力表示.
import torchimport torch.nn as nnimport torch.nn.functional as Fclass Attn(nn.Module):def __init__(self, query_size, key_size, value_size1, value_size2, output_size):"""初始化函数中的参数有5个, query_size代表query的最后一维大小key_size代表key的最后一维大小, value_size1代表value的导数第二维大小,value = (1, value_size1, value_size2)value_size2代表value的倒数第一维大小, output_size输出的最后一维大小"""super(Attn, self).__init__()# 将以下参数传入类中self.query_size = query_sizeself.key_size = key_sizeself.value_size1 = value_size1self.value_size2 = value_size2self.output_size = output_size# 初始化注意力机制实现第一步中需要的线性层.self.attn = nn.Linear(self.query_size + self.key_size, value_size1)# 初始化注意力机制实现第三步中需要的线性层.self.attn_combine = nn.Linear(self.query_size + value_size2, output_size)def forward(self, Q, K, V):"""forward函数的输入参数有三个, 分别是Q, K, V, 根据模型训练常识, 输入给Attion机制的张量一般情况都是三维张量, 因此这里也假设Q, K, V都是三维张量"""# 第一步, 按照计算规则进行计算,# 我们采用常见的第一种计算规则# 将Q,K进行纵轴拼接, 做一次线性变化, 最后使用softmax处理获得结果attn_weights = F.softmax(self.attn(torch.cat((Q[0], K[0]), 1)), dim=1)# 然后进行第一步的后半部分, 将得到的权重矩阵与V做矩阵乘法计算,# 当二者都是三维张量且第一维代表为batch条数时, 则做bmm运算attn_applied = torch.bmm(attn_weights.unsqueeze(0), V)# 之后进行第二步, 通过取[0]是用来降维, 根据第一步采用的计算方法,# 需要将Q与第一步的计算结果再进行拼接output = torch.cat((Q[0], attn_applied[0]), 1)# 最后是第三步, 使用线性层作用在第三步的结果上做一个线性变换并扩展维度,得到输出# 因为要保证输出也是三维张量, 因此使用unsqueeze(0)扩展维度output = self.attn_combine(output).unsqueeze(0)return output, attn_weightsquery_size = 32key_size = 32value_size1 = 32value_size2 = 64output_size = 64attn = Attn(query_size, key_size, value_size1, value_size2, output_size)Q = torch.randn(1,1,32)K = torch.randn(1,1,32)V = torch.randn(1,32,64)out = attn(Q, K ,V)print(out[0])print(out[1])
输出效果:
tensor([[[ 0.4477, -0.0500, -0.2277, -0.3168, -0.4096, -0.5982, 0.1548,-0.0771, -0.0951, 0.1833, 0.3128, 0.1260, 0.4420, 0.0495,-0.7774, -0.0995, 0.2629, 0.4957, 1.0922, 0.1428, 0.3024,-0.2646, -0.0265, 0.0632, 0.3951, 0.1583, 0.1130, 0.5500,-0.1887, -0.2816, -0.3800, -0.5741, 0.1342, 0.0244, -0.2217,0.1544, 0.1865, -0.2019, 0.4090, -0.4762, 0.3677, -0.2553,-0.5199, 0.2290, -0.4407, 0.0663, -0.0182, -0.2168, 0.0913,-0.2340, 0.1924, -0.3687, 0.1508, 0.3618, -0.0113, 0.2864,-0.1929, -0.6821, 0.0951, 0.1335, 0.3560, -0.3215, 0.6461,0.1532]]], grad_fn=<UnsqueezeBackward0>)tensor([[0.0395, 0.0342, 0.0200, 0.0471, 0.0177, 0.0209, 0.0244, 0.0465, 0.0346,0.0378, 0.0282, 0.0214, 0.0135, 0.0419, 0.0926, 0.0123, 0.0177, 0.0187,0.0166, 0.0225, 0.0234, 0.0284, 0.0151, 0.0239, 0.0132, 0.0439, 0.0507,0.0419, 0.0352, 0.0392, 0.0546, 0.0224]], grad_fn=<SoftmaxBackward>)
