- 度量的是两个向量之间的夹角, 用夹角的余弦值来度量相似的情况
- 两个向量的夹角为0余弦值为1, 当夹角为90度是余弦值为0,为180度是余弦值为-1
- 余弦相似度在度量文本相似度, 用户相似度,物品相似度的时候较为常用
- 余弦相似度的特点, 与向量长度无关,余弦相似度计算要对向量长度归一化, 两个向量只要方向一致,无论程度强弱, 都可以视为’相似’

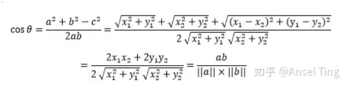
对于两个向量,如果他们之间的夹角越小,那么我们认为这两个向量是越相似的。余弦相似性就是利用了这个理论思想。它通过计算两个向量的夹角的余弦值来衡量向量之间的相似度值。余弦相似性推导公式如下:

