给定一个链表,返回链表开始入环的第一个节点。 如果链表无环,则返回 null。
为了表示给定链表中的环,我们使用整数 pos 来表示链表尾连接到链表中的位置(索引从 0 开始)。 如果 pos 是 -1,则在该链表中没有环。注意,pos 仅仅是用于标识环的情况,并不会作为参数传递到函数中。
说明:不允许修改给定的链表。
进阶:
你是否可以使用 O(1) 空间解决此题?
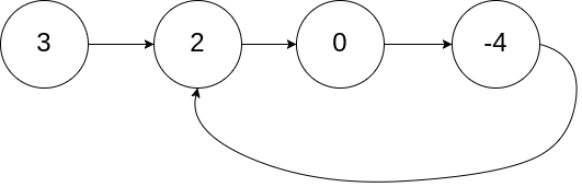
示例 1:
输入:head = [3,2,0,-4], pos = 1
输出:返回索引为 1 的链表节点
解释:链表中有一个环,其尾部连接到第二个节点。
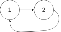
示例 2:
输入:head = [1,2], pos = 0
输出:返回索引为 0 的链表节点
解释:链表中有一个环,其尾部连接到第一个节点。
示例 3:
输入:head = [1], pos = -1
输出:返回 null
解释:链表中没有环。
提示:
链表中节点的数目范围在范围 [0, 104] 内
-105 <= Node.val <= 105
pos 的值为 -1 或者链表中的一个有效索引
/*** Definition for singly-linked list.* class ListNode {* int val;* ListNode next;* ListNode(int x) {* val = x;* next = null;* }* }*/public class Solution {public ListNode detectCycle(ListNode head) {/**思路1:使用一个set集合,遍历链表元素,如果有环存在,那么set集合中一定包含这个元素,直接返回即可思路2:使用快慢指针(1)快指针一次走两步,慢指针一次走一步。(2)假如有环,那么快指针一定会在某个时刻追上慢指针(3)假设非环部分的长度为a,环的长度为b,快指针走了f步,慢指针走了s步(4)那么首先有f=2s(两倍的步长),当重合的时候,快指针一定比慢指针走了一倍的路程(5)其次因为在环中相遇,所以重合的时候,快指针在环内一定比慢指针多跑了n圈即假设非环部分长度为a,环长度为b,一定有 f = nb + s(6)两式相减 nb = s(7)*/// 使用set集合来做/**HashSet set = new HashSet();ListNode node = head;while(null != node){if(set.contains(node)){return node;}set.add(node);node = node.next;}return null;*/// 使用快慢指针来做ListNode slow = head;ListNode fast = head;// 先确认是否有环// 找到环的位置后,slow位置不变,fast指针从head头位置一步一步走,当和slow相遇的时候,就是环入口while(true){if (fast == null || fast.next == null) return null;fast = fast.next.next;slow = slow.next;if(slow == fast) break;}fast = head;// 找到入口while(fast!=slow){fast = fast.next;slow = slow.next;}return fast;}}
