参考:
待完成
96. 不同的二叉搜索树
已完成题目
二叉树的遍历方式

538. 把二叉搜索树转换为累加树
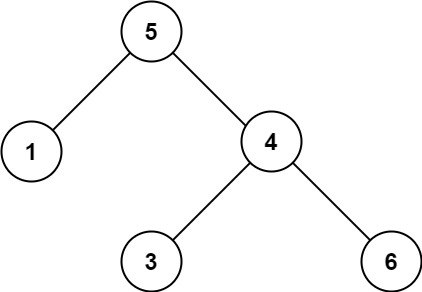
给出二叉 搜索 树的根节点,该树的节点值各不相同,请你将其转换为累加树(Greater Sum Tree),使每个节点 node 的新值等于原树中大于或等于 node.val 的值之和。
提醒一下,二叉搜索树满足下列约束条件:
- 节点的左子树仅包含键 小于 节点键的节点。
- 节点的右子树仅包含键 大于 节点键的节点。
- 左右子树也必须是二叉搜索树。
注意:本题和 1038: https://leetcode-cn.com/problems/binary-search-tree-to-greater-sum-tree/ 相同
示例 1:
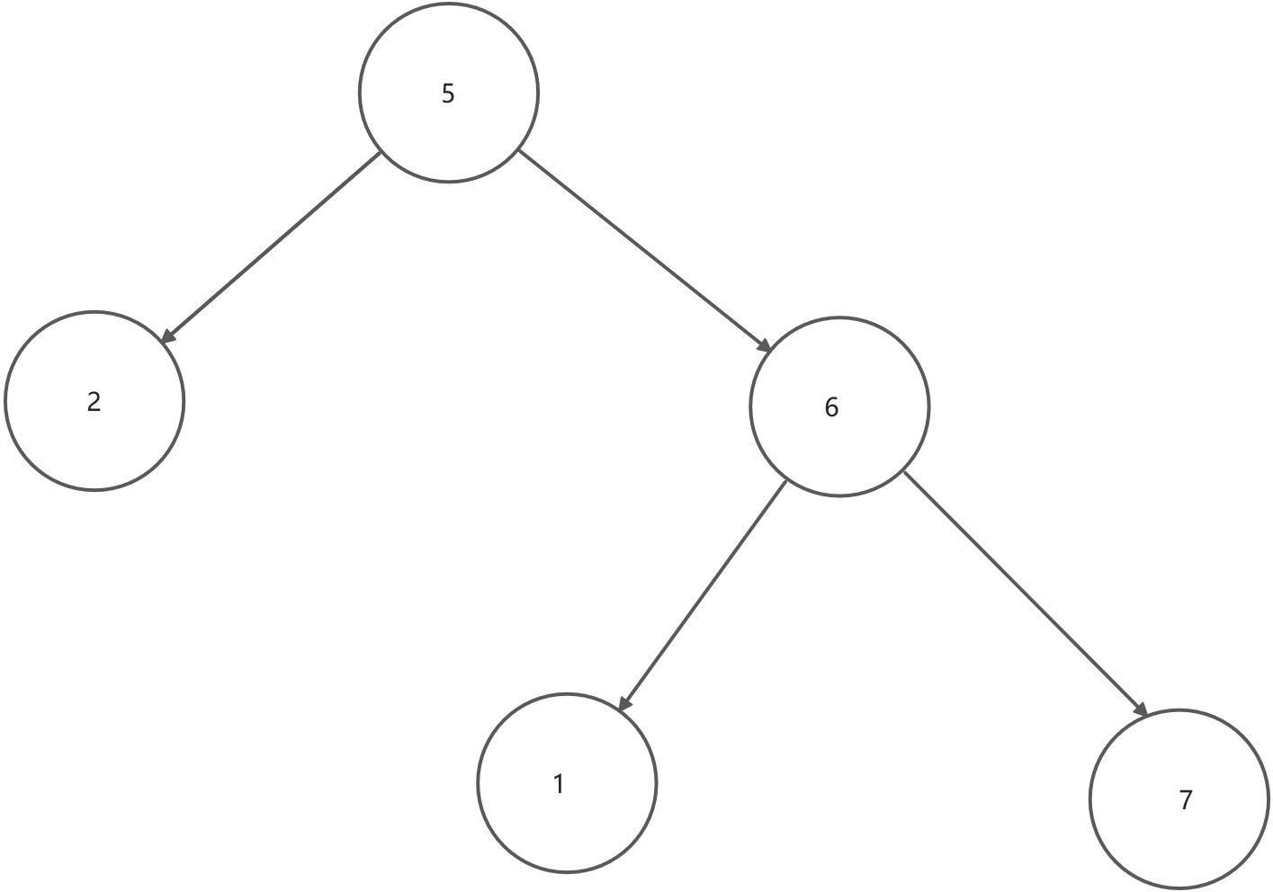
输入:[4,1,6,0,2,5,7,null,null,null,3,null,null,null,8] 输出:[30,36,21,36,35,26,15,null,null,null,33,null,null,null,8]
示例 2:
输入:root = [0,null,1] 输出:[1,null,1]
示例 3:
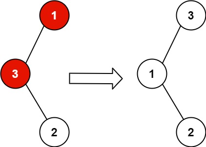
输入:root = [1,0,2] 输出:[3,3,2]
示例 4:
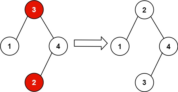
输入:root = [3,2,4,1] 输出:[7,9,4,10]
提示:
- 树中的节点数介于 0 和 104 之间。
- 每个节点的值介于 -104 和 104 之间。
- 树中的所有值 互不相同 。
- 给定的树为二叉搜索树。
通过次数107,248
提交次数153,569
中序遍历的逆方向看,同时用temp保存当前值
# Definition for a binary tree node.# class TreeNode:# def __init__(self, val=0, left=None, right=None):# self.val = val# self.left = left# self.right = rightclass Solution:def convertBST(self, root: TreeNode) -> TreeNode:temp = 0o = rootdef post_travese(root):nonlocal tempif not root:returnpost_travese(root.right)temp += root.valroot.val = temppost_travese(root.left)post_travese(o)return root
/*** Definition for a binary tree node.* public class TreeNode {* int val;* TreeNode left;* TreeNode right;* TreeNode() {}* TreeNode(int val) { this.val = val; }* TreeNode(int val, TreeNode left, TreeNode right) {* this.val = val;* this.left = left;* this.right = right;* }* }*/class Solution {int sum = 0;public TreeNode convertBST(TreeNode root) {TreeNode o = root;dfs(o);return root;}public void dfs(TreeNode root){if (root == null) {return;}dfs(root.right);sum += root.val;root.val = sum;dfs(root.left);}}

127. 单词接龙
字典 wordList 中从单词 beginWord 和 endWord 的 转换序列 是一个按下述规格形成的序列:
- 序列中第一个单词是 beginWord 。
- 序列中最后一个单词是 endWord 。
- 每次转换只能改变一个字母。
转换过程中的中间单词必须是字典 wordList 中的单词。
给你两个单词beginWord 和 endWord 和一个字典 wordList ,找到从 beginWord 到 endWord 的 最短转换序列 中的 单词数目 。如果不存在这样的转换序列,返回 0。
示例 1:
输入:beginWord = “hit”, endWord = “cog”, wordList = [“hot”,”dot”,”dog”,”lot”,”log”,”cog”] 输出:5 解释:一个最短转换序列是 “hit” -> “hot” -> “dot” -> “dog” -> “cog”, 返回它的长度 5。
示例 2:
输入:beginWord = “hit”, endWord = “cog”, wordList = [“hot”,”dot”,”dog”,”lot”,”log”] 输出:0 解释:endWord “cog” 不在字典中,所以无法进行转换。
提示:
- 1 <= beginWord.length <= 10
- endWord.length == beginWord.length
- 1 <= wordList.length <= 5000
- wordList[i].length == beginWord.length
- beginWord、endWord 和 wordList[i] 由小写英文字母组成
- beginWord != endWord
- wordList 中的所有字符串 互不相同
通过次数122,730
提交次数262,390
94. 二叉树的中序遍历

给定一个二叉树的根节点 root ,返回它的 中序 遍历。
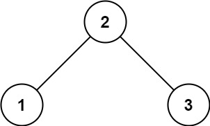
示例 1:
输入:root = [1,null,2,3] 输出:[1,3,2] 

示例 2:
输入:root = [] 输出:[]
示例 3:
输入:root = [1] 输出:[1]
示例 4:
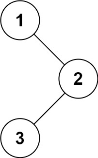
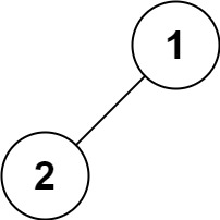
输入:root = [1,2] 输出:[2,1]
示例 5:
输入:root = [1,null,2] 输出:[1,2]
提示:
- 树中节点数目在范围 [0, 100] 内
- -100 <= Node.val <= 100
进阶: 递归算法很简单,你可以通过迭代算法完成吗?
# Definition for a binary tree node.# class TreeNode:# def __init__(self, val=0, left=None, right=None):# self.val = val# self.left = left# self.right = rightclass Solution:def inorderTraversal(self, root: TreeNode) -> List[int]:res = []self.dfs(root, res)return resdef dfs(self, root, res):if not root:returnself.dfs(root.left, res)res.append(root.val)self.dfs(root.right, res)
栈
# Definition for a binary tree node.# class TreeNode:# def __init__(self, val=0, left=None, right=None):# self.val = val# self.left = left# self.right = rightclass Solution:def inorderTraversal(self, root: TreeNode) -> List[int]:stack = []res = []while stack or root:while root:stack.append(root)root = root.leftnode = stack.pop()res.append(node.val)root = node.rightreturn res
98. 验证二叉搜索树
给你一个二叉树的根节点 root ,判断其是否是一个有效的二叉搜索树。
有效 二叉搜索树定义如下:
- 节点的左子树只包含 小于 当前节点的数。
- 节点的右子树只包含 大于 当前节点的数。
- 所有左子树和右子树自身必须也是二叉搜索树。


示例 1:
输入:root = [2,1,3] 输出:true
示例 2:
输入:root = [5,1,4,null,null,3,6] 输出:false 解释:根节点的值是 5 ,但是右子节点的值是 4 。
提示:
- 树中节点数目范围在[1, 104] 内
- -231 <= Node.val <= 231 - 1
通过次数345,784
提交次数988,867
错误答案
# Definition for a binary tree node.# class TreeNode:# def __init__(self, val=0, left=None, right=None):# self.val = val# self.left = left# self.right = rightclass Solution:def isValidBST(self, root: TreeNode) -> bool:flag = Truedef dfs(root):if not root:returnleft = dfs(root.left)right = dfs(root.right)if left.val >= root.val or right.val <= root.val:flag = Falsereturnreturn flag
以为没考虑到这种情况
递归
# Definition for a binary tree node.# class TreeNode:# def __init__(self, val=0, left=None, right=None):# self.val = val# self.left = left# self.right = rightclass Solution:def isValidBST(self, root: TreeNode) -> bool:pre = Nonedef dfs(root):nonlocal preif not root:return Trueis_left_valid = dfs(root.left)if pre is None:pre = root.valelif pre < root.val:pre = root.valelse:return Falseis_right_valid = dfs(root.right)return is_left_valid and is_right_validreturn dfs(root)
迭代,中序遍历后判断是否有序
# Definition for a binary tree node.# class TreeNode:# def __init__(self, val=0, left=None, right=None):# self.val = val# self.left = left# self.right = rightclass Solution:def isValidBST(self, root: TreeNode) -> bool:if not root:return Trueres =[]def in_order(root):if not root:returnin_order(root.left)res.append(root.val)in_order(root.right)in_order(root)for i in range(1, len(res)):if res[i-1] >= res[i]:return Falsereturn True
112. 路径总和

给你二叉树的根节点 root 和一个表示目标和的整数 targetSum ,判断该树中是否存在 根节点到叶子节点 的路径,这条路径上所有节点值相加等于目标和 targetSum 。
叶子节点 是指没有子节点的节点。
示例 1:
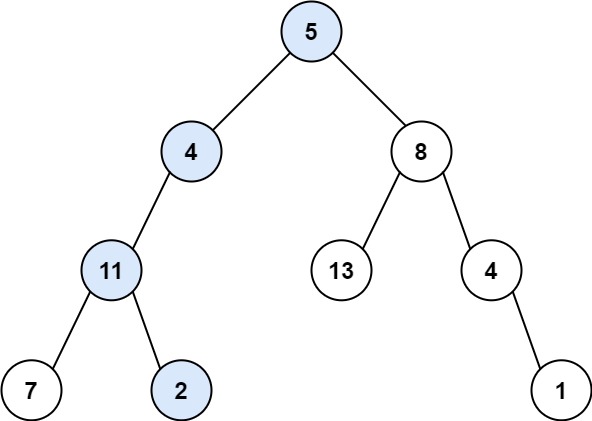
输入:root = [5,4,8,11,null,13,4,7,2,null,null,null,1], targetSum = 22 输出:true 
示例 2:
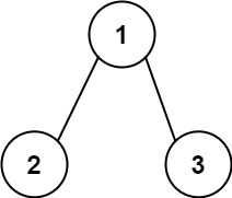
输入:root = [1,2,3], targetSum = 5 输出:false
示例 3:
输入:root = [1,2], targetSum = 0 输出:false
提示:
- 树中节点的数目在范围 [0, 5000] 内
- -1000 <= Node.val <= 1000
- -1000 <= targetSum <= 1000
通过次数266,554
提交次数506,807
# Definition for a binary tree node.# class TreeNode:# def __init__(self, val=0, left=None, right=None):# self.val = val# self.left = left# self.right = rightclass Solution:def hasPathSum(self, root: Optional[TreeNode], targetSum: int) -> bool:def dfs(root, count):if not root.left and not root.right and count == 0:return True # 如果没有左右子树(到达叶子节点)且target也被消耗完了,则直接返回True,退出递归if root.left: # 如果有左子树,则进入回溯count -= root.left.valif (dfs(root.left, count)): #return Truecount += root.left.valif root.right:count -= root.right.valif (dfs(root.right, count)):return Truecount += root.right.valreturn Falseif not root :return Falseif not root.left and not root.right:return targetSum == root.valreturn dfs(root, targetSum - root.val)
113. 路径总和 II
给你二叉树的根节点 root 和一个整数目标和 targetSum ,找出所有 从根节点到叶子节点 路径总和等于给定目标和的路径。
叶子节点 是指没有子节点的节点。
示例 1:
输入:root = [5,4,8,11,null,13,4,7,2,null,null,5,1], targetSum = 22 输出:[[5,4,11,2],[5,8,4,5]] 
示例 2:
输入:root = [1,2,3], targetSum = 5 输出:[]
示例 3:
输入:root = [1,2], targetSum = 0 输出:[]
提示:
- 树中节点总数在范围 [0, 5000] 内
- -1000 <= Node.val <= 1000
- -1000 <= targetSum <= 1000
通过次数177,610
提交次数283,414
带返回值的回溯
# Definition for a binary tree node.
# class TreeNode:
# def __init__(self, val=0, left=None, right=None):
# self.val = val
# self.left = left
# self.right = right
class Solution:
def pathSum(self, root: Optional[TreeNode], targetSum: int) -> List[List[int]]:
res = []
def dfs(root, count, temp):
if not root.left and not root.right and count == 0:
res.append(temp[:])
if not root.left and not root.right:
return False
if root.left:
temp.append(root.left.val)
count -= root.left.val
if (dfs(root.left, count, temp)):
return True
temp.pop(-1)
count += root.left.val
if root.right:
temp.append(root.right.val)
count -= root.right.val
if (dfs(root.right, count, temp)):
return True
temp.pop(-1)
count += root.right.val
return False
if not root:
return []
if not root.left and not root.right:
if root.val == targetSum:
return [[root.val]]
else:
return []
dfs(root, targetSum - root.val, [root.val])
return res
找一个路径,关键点是
if (dfs(root.left, count, temp)):
return True
找到了,则直接返回,不再继续找了
不带返回值的回溯
递归出所有的结果放在res里面
# Definition for a binary tree node.
# class TreeNode:
# def __init__(self, val=0, left=None, right=None):
# self.val = val
# self.left = left
# self.right = right
class Solution:
def pathSum(self, root: Optional[TreeNode], targetSum: int) -> List[List[int]]:
res = []
def dfs(root, count, temp):
if not root.left and not root.right and count == 0:
res.append(temp[:])
if not root.left and not root.right:
return
if root.left:
temp.append(root.left.val)
count -= root.left.val
dfs(root.left, count, temp)
temp.pop(-1)
count += root.left.val
if root.right:
temp.append(root.right.val)
count -= root.right.val
dfs(root.right, count, temp)
temp.pop(-1)
count += root.right.val
if not root:
return []
if not root.left and not root.right:
if root.val == targetSum:
return [[root.val]]
else:
return []
dfs(root, targetSum - root.val, [root.val])
return res
226. 翻转二叉树

使用前序或者后序遍历来交换左右2个节点
# Definition for a binary tree node.
# class TreeNode:
# def __init__(self, val=0, left=None, right=None):
# self.val = val
# self.left = left
# self.right = right
class Solution:
def invertTree(self, root: TreeNode) -> TreeNode:
def dfs(root):
if not root:
return
dfs(root.left)
dfs(root.right)
temp = root.left
root.left = root.right
root.right= temp
dfs(root)
return root
/**
* Definition for a binary tree node.
* public class TreeNode {
* int val;
* TreeNode left;
* TreeNode right;
* TreeNode() {}
* TreeNode(int val) { this.val = val; }
* TreeNode(int val, TreeNode left, TreeNode right) {
* this.val = val;
* this.left = left;
* this.right = right;
* }
* }
*/
class Solution {
public TreeNode invertTree(TreeNode root) {
TreeNode o = root;
postOrder(o);
return root;
}
public TreeNode postOrder(TreeNode root){
if (root == null) {
return null;
}
TreeNode left = postOrder(root.left);
TreeNode right = postOrder(root.right);
TreeNode temp = left;
root.left = right;
root.right = temp;
return root;
}
}
对左右子树进行判断, 未AC,未完成
# Definition for a binary tree node.
# class TreeNode:
# def __init__(self, val=0, left=None, right=None):
# self.val = val
# self.left = left
# self.right = right
class Solution:
def invertTree(self, root: TreeNode) -> TreeNode:
if not root:
return
def post_order(left, right):
if not left or not right:
return
temp = left.val
left.val = right.val
right.val = temp
# if left.left and right.right:
post_order(left.left, right.right)
# if left.right and right.left:
post_order(left.right, right.left)
o = root
post_order(o.left, o.right)
return root
需要考虑到没有子树的情况
前序遍历解法
# Definition for a binary tree node.
# class TreeNode:
# def __init__(self, val=0, left=None, right=None):
# self.val = val
# self.left = left
# self.right = right
class Solution:
def invertTree(self, root: TreeNode) -> TreeNode:
if not root: return
root.left, root.right = root.right, root.left
self.invertTree(root.left)
self.invertTree(root.right)
return root
101. 对称二叉树
给定一个二叉树,检查它是否是镜像对称的。
例如,二叉树 [1,2,2,3,4,4,3] 是对称的。
1 / \ 2 2 / \ / \ 3 4 4 3
但是下面这个 [1,2,2,null,3,null,3] 则不是镜像对称的:
1 / \ 2 2 \ \ 3 3
进阶:
你可以运用递归和迭代两种方法解决这个问题吗?
通过次数409,319
提交次数726,764
层序遍历解法
# Definition for a binary tree node.
# class TreeNode:
# def __init__(self, x):
# self.val = x
# self.left = None
# self.right = None
class Solution:
def isSymmetric(self, root: TreeNode) -> bool:
cur_queue = [root]
while cur_queue:
next_queue=[]
li =[]
for node in cur_queue:
if not node:
li.append(None)
continue
next_queue.append(node.left)
next_queue.append(node.right)
li.append(node.val)
if li != li[::-1]:
return False
cur_queue = next_queue
return True
递归解法
# Definition for a binary tree node.
# class TreeNode:
# def __init__(self, val=0, left=None, right=None):
# self.val = val
# self.left = left
# self.right = right
class Solution:
def isSymmetric(self, root: TreeNode) -> bool:
if not root:
return True
def dfs(left, right):
if not left and not right:
return True
if left and not right:
return False
if not left and right:
return False
if left.val != right.val:
return False
outside = dfs(left.left, right.right)
inside = dfs(left.right, right.left)
return outside and inside
return dfs(root.left, root.right)
/**
* Definition for a binary tree node.
* public class TreeNode {
* int val;
* TreeNode left;
* TreeNode right;
* TreeNode() {}
* TreeNode(int val) { this.val = val; }
* TreeNode(int val, TreeNode left, TreeNode right) {
* this.val = val;
* this.left = left;
* this.right = right;
* }
* }
*/
class Solution {
public boolean isSymmetric(TreeNode root) {
if (root == null) {
return true;
}
return dfs(root.left, root.right);
}
public boolean dfs(TreeNode left, TreeNode right) {
if (left == null && right == null) {
return true;
}
if (left == null | right == null) {
return false;
}
if (left.val != right.val) {
return false;
}
boolean outside = dfs(left.left, right.right);
boolean inside = dfs(left.right, right.left);
return outside && inside;
}
}
首先想清楚,判断对称二叉树要比较的是哪两个节点,要比较的可不是左右节点!
对于二叉树是否对称,要比较的是根节点的左子树与右子树是不是相互翻转的,理解这一点就知道了其实我们要比较的是两个树(这两个树是根节点的左右子树),所以在递归遍历的过程中,也是要同时遍历两棵树。
这题的逻辑是在2棵树上进行遍历
1. outside = dfs(left.left, right.right)
2. inside = dfs(left.right, right.left)
左子树是正常的 后续遍历 左右根
右子树看成是后序遍历的改进, 右左根
99. 恢复二叉搜索树

给你二叉搜索树的根节点 root ,该树中的两个节点被错误地交换。请在不改变其结构的情况下,恢复这棵树。
进阶:使用 O(n) 空间复杂度的解法很容易实现。你能想出一个只使用常数空间的解决方案吗?
示例 1:
输入:root = [1,3,null,null,2] 输出:[3,1,null,null,2] 解释:3 不能是 1 左孩子,因为 3 > 1 。交换 1 和 3 使二叉搜索树有效。 
示例 2:
输入:root = [3,1,4,null,null,2] 输出:[2,1,4,null,null,3] 解释:2 不能在 3 的右子树中,因为 2 < 3 。交换 2 和 3 使二叉搜索树有效。
提示:
- 树上节点的数目在范围 [2, 1000] 内
- -231 <= Node.val <= 231 - 1
使用中序遍历转换为数组,再交换
但是判断数组哪2个点交换了,采用的是非常暴力的解法
# Definition for a binary tree node.
# class TreeNode:
# def __init__(self, val=0, left=None, right=None):
# self.val = val
# self.left = left
# self.right = right
class Solution:
def recoverTree(self, root: Optional[TreeNode]) -> None:
res = []
o = root
def in_order(root):
if not root:
return
nonlocal res
in_order(root.left)
res.append(root.val)
in_order(root.right)
in_order(o)
temp = sorted(res)
print(res)
print(temp)
x, y = -1, -1
for i in range(len(res)):
if res[i] != temp[i]:
if x == -1:
x = res[i]
else:
y = res[i]
print('x=',x)
print ('y=',y)
o2 = root
def dfs(root):
if not root: return
if root.val == x:
root.val = y
elif root.val == y:
root.val = x
dfs(root.left)
dfs(root.right)
dfs(o2)
优化解法,利用引用,中序遍历,数组里放的是节点的引用,而不是val
class Solution(object):
def recoverTree(self, root):
nodes = []
# 中序遍历二叉树,并将遍历的结果保存到list中
def dfs(root):
if not root:
return
dfs(root.left)
nodes.append(root)
dfs(root.right)
dfs(root)
x = None
y = None
pre = nodes[0]
# 扫面遍历的结果,找出可能存在错误交换的节点x和y
for i in xrange(1,len(nodes)):
if pre.val>nodes[i].val:
y=nodes[i]
if not x:
x = pre
pre = nodes[i]
# 如果x和y不为空,则交换这两个节点值,恢复二叉搜索树
if x and y:
x.val,y.val = y.val,x.val
作者:wang_ni_ma
链接:https://leetcode-cn.com/problems/recover-binary-search-tree/solution/san-chong-jie-fa-xiang-xi-tu-jie-99-hui-fu-er-cha-/
来源:力扣(LeetCode)
著作权归作者所有。商业转载请联系作者获得授权,非商业转载请注明出处。
别人的思路待完成
思路
中序遍历BST,依次访问的节点值是递增的,错误的BST会破坏递增性,从而能定位出错误。
我发现,错误有两种:
错误1:出现了两对不满足前小后大,需要交换第一对的第一个元素与第二对的第二个元素。<br /> 错误2:只出现一对不满足前小后大,交换这一对元素即可。

可以在的递归遍历过程中,将节点值推入一个数组,再遍历数组找出错误对。
但其实没必要。
只用比较前后访问的节点值,prev 保存上一个访问的节点,当前访问的是 root 节点。
每访问一个节点,如果prev.val>=root.val,就找到了一对“错误对”。
检查一下它是第一对错误对,还是第二对错误对。
遍历结束,就确定了待交换的两个错误点,进行交换。
代码
时间复杂度O(n),n是节点个数,空间复杂度O(H),递归栈的深度。
作者:xiao_ben_zhu
链接:https://leetcode-cn.com/problems/recover-binary-search-tree/solution/tu-jie-hui-fu-yi-ge-er-cha-sou-suo-shu-by-hyj8/
来源:力扣(LeetCode)
著作权归作者所有。商业转载请联系作者获得授权,非商业转载请注明出处。
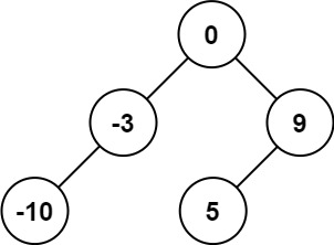
108. 将有序数组转换为二叉搜索树

给你一个整数数组 nums ,其中元素已经按 升序 排列,请你将其转换为一棵 高度平衡 二叉搜索树。
高度平衡 二叉树是一棵满足「每个节点的左右两个子树的高度差的绝对值不超过 1 」的二叉树。
示例 1:
输入:nums = [-10,-3,0,5,9] 输出:[0,-3,9,-10,null,5] 解释:[0,-10,5,null,-3,null,9] 也将被视为正确答案: 
示例 2:
输入:nums = [1,3] 输出:[3,1] 解释:[1,3] 和 [3,1] 都是高度平衡二叉搜索树。

