题目链接
给你一棵二叉树的根节点 root ,返回其节点值的 后序遍历 。
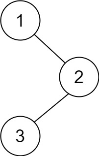
示例 1:
输入:root = [1,null,2,3]输出:[3,2,1]
示例2:
输入:root = []
输出:[]
示例3:
输入:root = [1]
输出:[1]
提示:
- 树中节点的数目在范围 [0, 100] 内
- -100 <= Node.val <= 100
递归
/**
* Definition for a binary tree node.
* public class TreeNode {
* int val;
* TreeNode left;
* TreeNode right;
* TreeNode() {}
* TreeNode(int val) { this.val = val; }
* TreeNode(int val, TreeNode left, TreeNode right) {
* this.val = val;
* this.left = left;
* this.right = right;
* }
* }
*/
class Solution {
public List<Integer> postorderTraversal(TreeNode root) {
List<Integer> result = new ArrayList<>();
postorder(root, result);
return result;
}
private void postorder(TreeNode root, List<Integer> result) {
if (root == null) {
return;
}
postorder(root.left, result);
postorder(root.right, result);
result.add(root.val);
}
}
非递归
/**
* Definition for a binary tree node.
* public class TreeNode {
* int val;
* TreeNode left;
* TreeNode right;
* TreeNode() {}
* TreeNode(int val) { this.val = val; }
* TreeNode(int val, TreeNode left, TreeNode right) {
* this.val = val;
* this.left = left;
* this.right = right;
* }
* }
*/
class Solution {
public List<Integer> postorderTraversal(TreeNode root) {
List<Integer> result = new ArrayList<>();
Deque<TreeNode> stack = new ArrayDeque<>();
if (root == null) {
return result;
}
stack.push(root);
// 中->左->右入栈,出栈是中->右->左,翻转成左->右->中
while (!stack.isEmpty()) {
TreeNode node = stack.pop();
result.add(node.val);
if (node.left != null) {
stack.push(node.left);
}
if (node.right != null) {
stack.push(node.right);
}
}
Collections.reverse(result);
return result;
}
}
统一迭代
class Solution {
public List<Integer> postorderTraversal(TreeNode root) {
Stack<TreeNode> stack = new Stack<>();
List<Integer> result = new ArrayList<>();
if (root == null) {
return result;
}
stack.push(root);
while (!stack.isEmpty()) {
TreeNode node = stack.peek();
if (node != null) {
stack.pop();
stack.push(node);
stack.push(null);
if (node.right != null) {
stack.push(node.right);
}
if (node.left != null) {
stack.push(node.left);
}
} else {
stack.pop();
result.add(stack.pop().val);
}
}
return result;
}
}
