6.1 间隔与支持向量

6.1 对偶问题

image.png
image.png

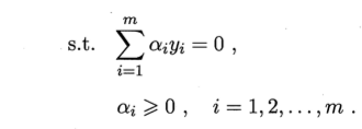
原问题(有约束):
image.png
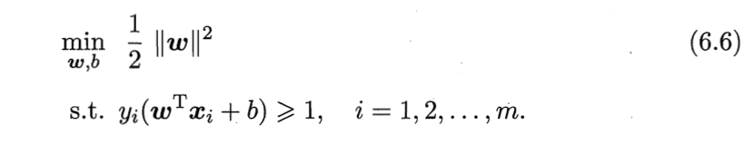
引入新的变量,构造拉格朗日函数:
image.png
当优化问题的对偶形式更容易求解时,使用对偶形式进行
转化成对偶问题:原始最小化——对偶最大化

6.3 核函数

image.png
可将样本从原始空间映射到一个更高维的特征空间
如果原始空间是有限维,属性数有限,一定存在一个高维特征空间使样本可分
image.png
image.png
求解(6.21)涉及计算,是xi和xj映射哦特征空间后的内积,由于维数,计算可能困难,设想一个函数
image.png