3.1 基本形式
- 给定
个属性描述的示例
,其中
是
在第
个属性上的取值。线性模型(linear model)通过属性的线性组合来进行预测的函数
- 函数形式:
- 向量形式:
确定后,模型确定
线性模型有很好的的解释性,更多非线性模型可在线性模型基础上引入层级结构或高维映射可得。
3.2 线性回归
1.一元线性回归
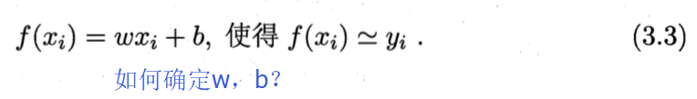
只有一个属性,即d = 1
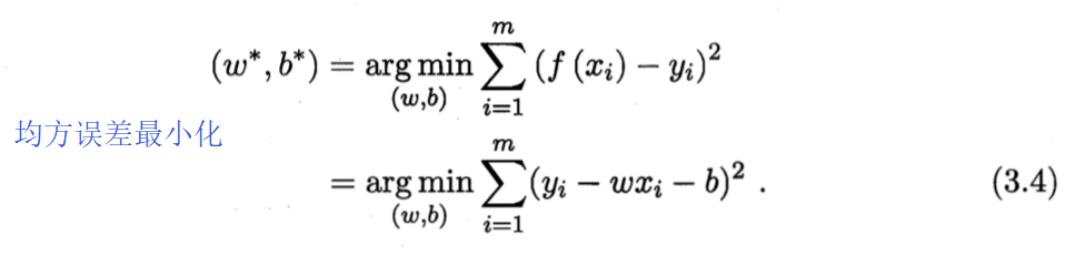
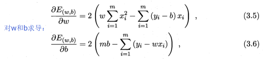
- 目标函数
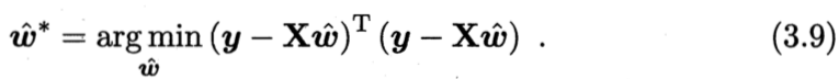
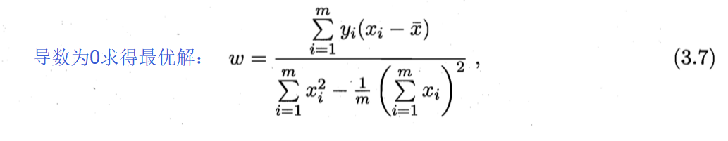
- 目标函数求解

再把标记也写成向量形式,则类似式(3.4)有

:
令上式为零可求最优解:


最终学得得多元线性回归模型为:
如果
不满秩,解出多个,将有算法的归纳偏好决定。常见是引入正则化项(regularization)。
3.对数线性回归
4.广义线性模型
3.3 对数几率回归


若预测值大于零判为正例,小于零判为反例。

单位阶跃函数不连续,替换为单调可微的对数几率函数:


解读:y视为样本正例可能性,则1-y是其反例可能性
“几率”反映x作为正例的相对可能性: (3.20)
“对数几率”: (3.21)
(3.18)用线性回归模型预测结果去笔记真实标记的对数几率,称为“对数几率回归”
3.4 线性判别分析
LDA思想:投影到一条直线上,同类样例尽可能近,异类样例尽可能远。
3.5 多分类学习
考虑N个类别C,C..,C,多分类学习的基本思路是“拆解法”
OvO:N个类别两两配对:
OvR:每次将一个类作为正例,其他部分为反例训练N个分类器
- OvR为N个分类器;OvO为
个
- OvO存储开销,测试时间开销比OvR大
- OvO每次只用两个,OvR用所有,所以OvO训练时间比OvR小
- 性能两个差不多
MvM:每次将若干个类作为正类,若干个其他类作为反类。正反构造不能随意。
常用的MvM技术:“纠错输出码”(Error Correcting Output Codes,ECOC)
编码矩阵有多种形式,常见二元码(正,反类),三元码(正,反,停用类)
ECOC编码对分类器错误有一定容忍和修正能力,编码越长、纠错能力越强
对冋等长度的编码,理论上来说,任意两个类別间的编码距离越远,则纠错能力越强
3.6 类别不平衡问题
类别不平衡指分类任务中不同类别训练样例数目相差较大的情况。如998个反例,2个正例,如果全判反,99.8%精度,无意义。

三类解决方法:(再缩放):
- 反例“欠采样”
- 正例“过采样”——SMOTE算法
- “阈值移动”








