5.1 神经元模型
机器学习中谈论神经网络指“神经网络学习”。神经网络基本成分是神经元模型。

- 理想激活函数是阶跃函数,0 表示抑制神经元而 1 表示激活神经元
- 阶跃函数具有不连续、不光滑等不好的性质,常用的是Sigmoid函数,可微连续
- 把许多个这样的神经元按一定的层次结构连接起来,就得到了神经网络.
5.2 感知机与多层网络
感知机
感知机( Perceptron)由两层神经元组成,如图5.3所示,输入层接收外界输入信号后传递给输出层,输出层是M-P神经元,亦称“阈值逻辑单元”( threshold logic unit)
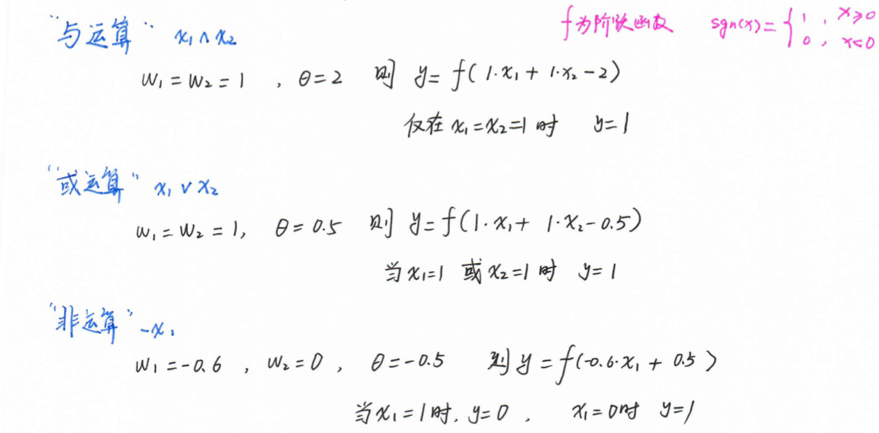
感知机可实现与、或、非运算,


更一般的,给定数据集,权重
,阈值 θ,可通过学习得到。θ 可看作,输入永远是-1
对于训练样例
若当前感知机输出为
,感知机权重调整
学习率
单层感知机只能“与”“或”“非”,非线性“异或”解决不了。
两层感知机可解决“异或”,引出多层前馈神经网络
多层感知机

- 输出层与输入层之间的一层神经元,被称之为隐层或隐含层,隐含层和输出层神经元都是具有激活函数的功能神经元
多层前馈神经网络
定义:每层神经元与下一层神经元全互联,神经元之间不存在同层连接也不存在跨层连接。 前馈:输入层接受外界输入,隐含层与输出层神经元对信号进行加工,最终结果由输出层神经元输出。 学习:根据训练数据来调整神经元之间的“连接权”以及每个功能神经元的“阈值”。 多层网络:包含隐层的网络。
5.3 误差逆传播算法
- 误差逆传播(Error Back Propagation,简称BP)算法就是其中最杰出的代表。
- 通常说“BP网络”一般指用BP算法训练多层前馈神经网络。
- 给定训练集

给定d个输入神经元,l个输出神经元,q个隐层神经元的多层前向前馈网络结构。(q为超参数)



对于样例
假设网络的实际输出为
(均方误差)
参数优化
- BP是一个迭代学习算法,在迭代的每一轮中采用广义的感知机学习规则对参数进行更新估计,任意的参数
的更新估计式为

- BP算法基于梯度下降策略,以目标的负梯度方向对参数进行调整。对误差
,给定学习率 η
5.4 全局最小与局部最小
5.5 其他常见神经网络










