前言
现实中的树有着十分清晰的结构,从根开始连着树干,树干又进行分化成为树枝,树枝又可以分裂成多个树枝,树枝上最后有着树叶,现实生活中很多结构都是树的抽象(180°旋转的树),比如公司的组织架构,家族的家谱,但都万变不离其中,如图:
而在真实的开发中,我们常将树分为两个分支,这就是我们之后要学习的二叉树
**
树的优势
我们为什么要学习树?树相对于链表,数组,哈希表而言又有着什么优势呢?
首先我们讨论下不同数据结构的优缺点:
数组
- 优点:可以通过下标值访问,效率高;
- 缺点:查找数据时需要先对数据进行排序,生成有序数组,才能提高查找效率;并且在插入和删除元素时,需要大量的位移操作;
链表
- 优点:数据的插入和删除操作效率都很高;
- 缺点:查找效率低,需要从头开始依次查找,直到找到目标数据为止;当需要在链表中间位置插入或删除数据时,插入或删除的效率都不高。
哈希表
- 优点:哈希表的插入/查询/删除效率都非常高;
- 缺点:空间利用率不高,底层使用的数组中很多单元没有被利用;并且哈希表中的元素是无序的,不能按照固定顺序遍历哈希表中的元素;而且不能快速找出哈希表中最大值或最小值这些特殊值。
树结构
- 优点:树结构综合了上述三种结构的优点,同时也弥补了它们存在的缺点(虽然效率不一定都比它们高),比如树结构中数据都是有序的,查找效率高;空间利用率高;并且可以快速获取最大值和最小值等。
总的来说:每种数据结构都有自己特定的应用场景。
树的常用术语
树结构:
- 树(Tree):由 n(n ≥ 0)个节点构成的有限集合。当 n = 0 时,称为空树。
- 对于任意一棵非空树(n > 0),它具备以下性质:
- 数中有一个称为根(Root)的特殊节点,用 r 表示;
- 其余节点可分为 m(m > 0)个互不相交的有限集合 T
1,T2,…,Tm,其中每个集合本身又是一棵树,称为原来树的子树(SubTree)。
- 节点的度(Degree):节点的子树个数,比如节点 B 的度为 2;
- 树的度:树的所有节点中最大的度数,如上图树的度为 2;
- 叶节点(Leaf):度为 0 的节点(也称为叶子节点),如上图的 H,I 等;
- 父节点(Parent):度不为 0 的节点称为父节点,如上图节点 B 是节点 D 和 E 的父节点;
- 子节点(Child):若 B 是 D 的父节点,那么 D 就是 B 的子节点;
- 兄弟节点(Sibling):具有同一父节点的各节点彼此是兄弟节点,比如上图的 B 和 C,D 和 E 互为兄弟节点;
- 路径和路径长度:路径指的是一个节点到另一节点的通道,路径所包含边的个数称为路径长度,比如 A->H 的路径长度为 3;
- 节点的层次(Level):规定根节点在 1 层,其他任一节点的层数是其父节点的层数加 1。如 B 和 C 节点的层次为 2;
- 树的深度(Depth):树种所有节点中的最大层次是这棵树的深度,如上图树的深度为 4;
树的简单表示
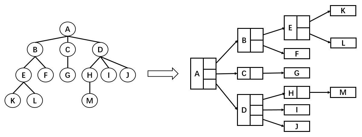
如图,树结构的组成方式类似于链表,都是由一个个节点连接构成。不过,根据每个父节点子节点数量的不同,每一个父节点需要的引用数量也不同。比如节点 A 需要 3 个引用,分别指向子节点 B,C,D;B 节点需要 2 个引用,分别指向子节点 E 和 F;K 节点由于没有子节点,所以不需要引用,但是我们无法确定某一结点的引用数。
儿子—兄弟表示法:**
这种结构的结点树固定,每个节点中引用的数量都固定
//节点ANode{//存储数据this.data = data//统一只记录左边的子节点this.leftChild = B//统一只记录右边的第一个兄弟节点this.rightSibling = null}//节点BNode{this.data = datathis.leftChild = Ethis.rightSibling = C}//节点FNode{this.data = datathis.leftChild = nullthis.rightSibling = null}
儿子—兄弟旋转表示法
故此我们可以清晰的发现:
- 其实所有树的本质都可以用二叉树模拟出来
- 所以二叉树是十分重要的

