机器学习
白天
夜间
首页
下载
阅读记录
书签管理
我的书签
添加书签
移除书签
cost function
浏览
68
扫码
分享
2023-11-22 00:32:13
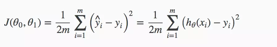
代价函数(cost function) 注:代价函数(有的地方也叫损失函数,Loss Function)
若有收获,就点个赞吧
0 人点赞
上一篇:
下一篇:
support vector machines
non linear decision boundary核函数
math
Multivariate Linear Regression
hypothesis function
cost function
gradient descent
Gradient Descent for Multiple Variables
Features and Polynomial Regression
Normal Equation
Octave
exercise1
Classification:logistics regression
advanced optimization
Decision Boundary
Cost function
Logistic regression cost function
Over fitting
Regularization for logistics regression
Regularization for linear regression
Gradient descent
Normal equation
exercise2
Neural network
Model Representation I
Model Representation II
Intuitions I
Intuitions II
Multiclass Classification
exercise3
Cost function
radom initialization 随机初始化
Unrolling Parameters
Gradient computation
Backpropagation Algorithm
Backward Propagation Intuition
what to do next
Prioritizing What to Work On
暂无相关搜索结果!
让时间为你证明
分享,让知识传承更久远
×
文章二维码
×
手机扫一扫,轻松掌上读
文档下载
×
请下载您需要的格式的文档,随时随地,享受汲取知识的乐趣!
PDF
文档
EPUB
文档
MOBI
文档
书签列表
×
阅读记录
×
阅读进度:
0.00%
(
0/0
)
重置阅读进度
×
思维导图备注