1、单向链表
链表的介绍
- 链表是以节点的方式来存储,是链式存储
- 每个节点包含 data 域 和 next 域。next域用来指向下一个节点
- 链表的各个节点不一定是连续存储的
- 链表分带头节点的链表和没有头节点的链表,根据实际的需求来确定
实现思路
创建(添加)
有序插入
- 先遍历链表,找到应该插入的位置
- 要插入的节点的next指向插入位置的后一个节点
- 插入位置的前一个节点的next指向要插入节点
- 插入前要判断是否在队尾插入
根据某个属性节点修改值

代码
package com.luyi.DataStructures.linkedlist;/*** @author 卢意* @create 2020-12-01 21:10*/public class SingleLinkedListDemo {public static void main(String[] args) {// 先创建节点HeroNode heroNode1 = new HeroNode(1, "宋江", "及时雨");HeroNode heroNode2 = new HeroNode(2, "卢俊义", "玉麒麟");HeroNode heroNode3 = new HeroNode(3, "吴用", "智多星");HeroNode heroNode4 = new HeroNode(4, "林冲", "豹子头");// 创建一个链表SingleLinkedList singleLinkedList = new SingleLinkedList();// 加入// singleLinkedList.add(heroNode1);// singleLinkedList.add(heroNode2);// singleLinkedList.add(heroNode3);// singleLinkedList.add(heroNode4);/*** 结果:* HeroNode{no=1, name='宋江', nickName='及时雨'}* HeroNode{no=2, name='卢俊义', nickName='玉麒麟'}* HeroNode{no=3, name='吴用', nickName='智多星'}* HeroNode{no=4, name='林冲', nickName='豹子头'}*/// 加入按照编号的顺序singleLinkedList.addByOrder(heroNode1);singleLinkedList.addByOrder(heroNode4);singleLinkedList.addByOrder(heroNode2);singleLinkedList.addByOrder(heroNode3);singleLinkedList.addByOrder(heroNode3);/*** 结果* 准备插入的英雄的编号[3]已存在,不能加入!* HeroNode{no=1, name='宋江', nickName='及时雨'}* HeroNode{no=2, name='卢俊义', nickName='玉麒麟'}* HeroNode{no=3, name='吴用', nickName='智多星'}* HeroNode{no=4, name='林冲', nickName='豹子头'}*/// 显示singleLinkedList.list();// 测试 修改节点HeroNode newHeroNode = new HeroNode(2, "小卢", "小麒麟");HeroNode newHeroNode1 = new HeroNode(5, "小卢", "小麒麟");singleLinkedList.update(newHeroNode );singleLinkedList.update(newHeroNode1 );/*** 结果* HeroNode{no=1, name='宋江', nickName='及时雨'}* HeroNode{no=2, name='卢俊义', nickName='玉麒麟'}* HeroNode{no=3, name='吴用', nickName='智多星'}* HeroNode{no=4, name='林冲', nickName='豹子头'}* 没有找到编号为[5]的节点* 修改后的链表情况** HeroNode{no=1, name='宋江', nickName='及时雨'}* HeroNode{no=2, name='小卢', nickName='小麒麟'}* HeroNode{no=3, name='吴用', nickName='智多星'}* HeroNode{no=4, name='林冲', nickName='豹子头'}*/// 修改后的显示System.out.println("修改后的链表情况");System.out.println();singleLinkedList.list();System.out.println("删除一个节点");singleLinkedList.delete(1);singleLinkedList.delete(2);singleLinkedList.delete(3);singleLinkedList.delete(4);singleLinkedList.list();/*** 结果* 删除一个节点* 链表为空*/}}// 定义一个单向链表 管理我们的英雄class SingleLinkedList {// 初始化一下头结点 头结点不要动 不存放具体的数据private HeroNode head =new HeroNode(0,null,null);// 添加方法到单向链表// 思路 当不考虑编号顺序时// 1. 找到当前链表的最后节点// 2. 将最后的这个节点的next 指向 新节点public void add(HeroNode heroNode){// 因为 head节点不能动 我们需要一个辅助节点 tempHeroNode temp = head;// 遍历链表找到最后while (true){// 找到链表的最后if(temp.next == null){break;}// 如果没有找到 就将temp后移temp = temp.next;}// 当退出white循环时, temp 就指向了链表的最后temp.next = heroNode;}// 第二种添加英雄的方式, 根据排名将英雄插入到指定位置// 如果有这个排名, 则添加失败 并给出提示public void addByOrder(HeroNode heroNode){// 因为头结点不能动 因此我们任然通过一个辅助指针(变量) 来帮助找到添加的位置// 因为是单列表 temp是要找到添加节点的前一个节点, 否则插入不了HeroNode temp = head;boolean flag = false; // 标志添加的编号是否存在 默认为falsewhile(true) {if(temp.next == null) { // 说明已经到了链表的最后了break;}if (temp.next.no > heroNode.no) { // 位置找到了 在temp和temp.next之间插入该节点break;}else if (temp.next.no == heroNode.no) { // 说明希望添加的heroNode的编号已经存在 不能添加flag = true; // 说明编号存在break;}temp = temp.next;}// 判断 flag的值if (flag){ // 不能添加 说明编号存在System.out.println("准备插入的英雄的编号["+heroNode.no+"]已存在,不能加入!");}else {// 插入链表中 temp 中heroNode.next = temp.next;temp.next = heroNode;}}// 显示链表 遍历public void list(){// 判断链表为空if(head.next == null){System.out.println("链表为空");return;}// 因为头结点不能动我们需要一个复制节点 tempHeroNode temp = head.next;while(true){// 输出这个节点的信息System.out.println(temp);if(temp.next == null){break;}// 将temp 后移 不然是一个死循环temp = temp.next;}}// 修改节点的信息 根据编号来修改 编号不能修改public void update (HeroNode newHeroNode){if(head.next == null){System.out.println("链表为空");return;}// 找到需要修改的节点 很具no查询HeroNode temp = head.next;boolean flag = false; // 表示是否找到该节点while (true) {if (temp == null) {break; // 表示链表已经遍历结束了 (不是最后一个节点 已经出到外面去了)}if (temp.no == newHeroNode.no){// 找到要修改的节点flag = true;break;}temp = temp.next;}// 根据flag判断是否找到要修改的节点if(!flag){System.out.println("没有找到编号为["+newHeroNode.no+ "]的节点");}else {temp.name = newHeroNode.name;temp.nickName = newHeroNode.nickName;}}// 删除节点//思路 1.head节点不能动 因此我们需要一个temp辅助节点找到删除节点的前一个节点// 2. 我们需要以temp节点的后一个节点的标号进行比较public void delete(int no){HeroNode temp = head;boolean flag = false; // 标志是否找到待删除节点的while (true) {if (temp.next == null){ // temp已经到链表的最后break;}if (temp.next.no == no){// 找到了待删除节点的前一个节点flag = true;break;}temp = temp.next;}if (flag){// 可以删除HeroNode t = temp.next;temp.next = t.next;t.next = null;}else {System.out.println("没有找到该no=["+no+"]节点,无法删除");}}}// 定义一个HeroNode , 每个HeroNode 对象就是一个节点class HeroNode {public int no;public String name;public String nickName;public HeroNode next; // 指向下一个节点// 构造器public HeroNode(int hNo, String hName, String hNickName){this.no = hNo;this.name = hName;this.nickName = hNickName;}// 为了显示方便 重写toString方法@Overridepublic String toString() {return "HeroNode{" +"no=" + no +", name='" + name + '\'' +", nickName='" + nickName + '\'' +'}';}}
单链表面试题
求单链表的有效节点的个数
/**** @param head 链表的头节点* @return 返回的是有效节点个数*/public Integer getLength(HeroNode head){if (head.next == null){// 空链表return 0;}int length = 0;// 定义一个辅助变量HeroNode cur =head.next;while (cur != null) {length++;cur = cur.next;}return length;}
求单链表的倒数第K个节点
// 求单链表的倒数第K个节点// 思路 1 编写一个方法接收head节点 接收index(倒数第index节点)// 2 先把链表变历 求出长度 length 去找到length-index的节点public HeroNode findNodeStartLast(HeroNode head ,int index){// 如果链表为空 返回nullif (head.next == null){return null;}// 变历得到链表的长度int length = this.getLength(head);// 再一次遍历 返回 第length - index// 先做一个index的校验if(index <= 0 || index > length){return null;}// 定义一个辅助节点HeroNode temp = head.next;for(int i = 0 ;i < length-index ;i++ ){temp = temp.next;}return temp;}
单链表的反转

// 单链表的反转public HeroNode reverseNode(HeroNode head){//如果当前链表为空,或者只有一个节点,无需反转,直接返回if(head.next == null || head.next.next == null) {return head.next;}//定义一个辅助的指针(变量),帮助我们遍历原来的链表HeroNode cur = head.next;HeroNode next = null;// 指向当前节点[cur]的下一个节点HeroNode reverseHead = new HeroNode(0, "", "");//遍历原来的链表,每遍历一个节点,就将其取出,并放在新的链表reverseHead 的最前端//动脑筋while(cur != null) {next = cur.next;//先暂时保存当前节点的下一个节点,因为后面需要使用cur.next = reverseHead.next;//将cur的下一个节点指向新的链表的最前端reverseHead.next = cur; //将cur 连接到新的链表上cur = next;//让cur后移}//将head.next 指向 reverseHead.next , 实现单链表的反转head.next = reverseHead.next;return reverseHead.next;}
- 创建一个新的头结点,作为新链表的头
- 从头遍历旧链表,将遍历到的节点插入新链表的头结点之后
- 注意需要用到两个暂存节点
- 一个用来保存正在遍历的节点
- 一个用来保存正在遍历节点的下一个节点
逆序打印
- 遍历链表,将遍历到的节点入栈
- 遍历完后,进行出栈操作,同时打印出栈元素

//可以利用栈这个数据结构,将各个节点压入到栈中,然后利用栈的先进后出的特点,就实现了逆序打印的效果public static void reversePrint(HeroNode head) {if(head.next == null) {return;//空链表,不能打印}//创建要给一个栈,将各个节点压入栈Stack<HeroNode> stack = new Stack<HeroNode>();HeroNode cur = head.next;//将链表的所有节点压入栈while(cur != null) {stack.push(cur);cur = cur.next; //cur后移,这样就可以压入下一个节点}//将栈中的节点进行打印,pop 出栈while (stack.size() > 0) {System.out.println(stack.pop()); //stack的特点是先进后出}}
2、双向链表
单链表的问题
双向链表
实现思路
遍历
- 和单向链表的遍历相同,需要一个辅助节点来保存当前正在遍历的节点
添加
- 双向链表多出了一个frnot,所以在添加时,要让新增节点的front指向链表尾节点
修改
- 和单向链表的修改相同
删除
- 使用temp来保存要删除的节点
- temp.pre.next指向temp.next
- temp.next指向temp.pre

代码
package com.atguigu.linkedlist;public class DoubleLinkedListDemo {public static void main(String[] args) {// 测试System.out.println("双向链表的测试");// 先创建节点HeroNode2 hero1 = new HeroNode2(1, "宋江", "及时雨");HeroNode2 hero2 = new HeroNode2(2, "卢俊义", "玉麒麟");HeroNode2 hero3 = new HeroNode2(3, "吴用", "智多星");HeroNode2 hero4 = new HeroNode2(4, "林冲", "豹子头");// 创建一个双向链表DoubleLinkedList doubleLinkedList = new DoubleLinkedList();doubleLinkedList.add(hero1);doubleLinkedList.add(hero2);doubleLinkedList.add(hero3);doubleLinkedList.add(hero4);doubleLinkedList.list();// 修改HeroNode2 newHeroNode = new HeroNode2(4, "公孙胜", "入云龙");doubleLinkedList.update(newHeroNode);System.out.println("修改后的链表情况");doubleLinkedList.list();// 删除doubleLinkedList.del(3);System.out.println("删除后的链表情况~~");doubleLinkedList.list();}}// 创建一个双向链表的类class DoubleLinkedList {// 先初始化一个头节点, 头节点不要动, 不存放具体的数据private HeroNode2 head = new HeroNode2(0, "", "");// 返回头节点public HeroNode2 getHead() {return head;}// 遍历双向链表的方法// 显示链表[遍历]public void list() {// 判断链表是否为空if (head.next == null) {System.out.println("链表为空");return;}// 因为头节点,不能动,因此我们需要一个辅助变量来遍历HeroNode2 temp = head.next;while (true) {// 判断是否到链表最后if (temp == null) {break;}// 输出节点的信息System.out.println(temp);// 将temp后移, 一定小心temp = temp.next;}}// 添加一个节点到双向链表的最后.public void add(HeroNode2 heroNode) {// 因为head节点不能动,因此我们需要一个辅助遍历 tempHeroNode2 temp = head;// 遍历链表,找到最后while (true) {// 找到链表的最后if (temp.next == null) {//break;}// 如果没有找到最后, 将将temp后移temp = temp.next;}// 当退出while循环时,temp就指向了链表的最后// 形成一个双向链表temp.next = heroNode;heroNode.pre = temp;}//第二种方式在添加英雄时,根据排名将英雄插入到指定位置(按顺序添加)//(如果有这个排名,则添加失败,并给出提示)public void addByOrder(HeroNode2 heroNode){//因为头节点不能动,因此我们仍然通过一个辅助指针(变量)来帮助找到添加的位置HeroNode2 temp = head;boolean flag = false;while (true){if (temp.next == null){//说明temp已经在链表的最后break;}if (temp.next.no > heroNode.no){//位置找到,就在temp的后面插入break;}else if (temp.next.no == heroNode.no){//说明希望添加的heroNode的编号已然存在flag = true; //说明编号存在break;}temp = temp.next; //后移,遍历当前链表}//判断flag 的值if (flag){//不能添加,说明编号存在System.out.printf("准备插入的英雄的编号 %d 已经存在了, 不能加入\n", heroNode.no);}else {//插入到链表中, temp的后面heroNode.next = temp.next;temp.next = heroNode;heroNode.pre = temp;}}// 修改一个节点的内容, 可以看到双向链表的节点内容修改和单向链表一样// 只是 节点类型改成 HeroNode2public void update(HeroNode2 newHeroNode) {// 判断是否空if (head.next == null) {System.out.println("链表为空~");return;}// 找到需要修改的节点, 根据no编号// 定义一个辅助变量HeroNode2 temp = head.next;boolean flag = false; // 表示是否找到该节点while (true) {if (temp == null) {break; // 已经遍历完链表}if (temp.no == newHeroNode.no) {// 找到flag = true;break;}temp = temp.next;}// 根据flag 判断是否找到要修改的节点if (flag) {temp.name = newHeroNode.name;temp.nickname = newHeroNode.nickname;} else { // 没有找到System.out.printf("没有找到 编号 %d 的节点,不能修改\n", newHeroNode.no);}}// 从双向链表中删除一个节点,// 说明// 1 对于双向链表,我们可以直接找到要删除的这个节点// 2 找到后,自我删除即可public void del(int no) {// 判断当前链表是否为空if (head.next == null) {// 空链表System.out.println("链表为空,无法删除");return;}HeroNode2 temp = head.next; // 辅助变量(指针)boolean flag = false; // 标志是否找到待删除节点的while (true) {if (temp == null) { // 已经到链表的最后break;}if (temp.no == no) {// 找到的待删除节点的前一个节点tempflag = true;break;}temp = temp.next; // temp后移,遍历}// 判断flagif (flag) { // 找到// 可以删除// temp.next = temp.next.next;[单向链表]temp.pre.next = temp.next;// 这里我们的代码有问题?// 如果是最后一个节点,就不需要执行下面这句话,否则出现空指针if (temp.next != null) {temp.next.pre = temp.pre;}} else {System.out.printf("要删除的 %d 节点不存在\n", no);}}}// 定义HeroNode2 , 每个HeroNode 对象就是一个节点class HeroNode2 {public int no;public String name;public String nickname;public HeroNode2 next; // 指向下一个节点, 默认为nullpublic HeroNode2 pre; // 指向前一个节点, 默认为null// 构造器public HeroNode2(int no, String name, String nickname) {this.no = no;this.name = name;this.nickname = nickname;}// 为了显示方法,我们重新toString@Overridepublic String toString() {return "HeroNode [no=" + no + ", name=" + name + ", nickname=" + nickname + "]";}}
3、单向环形链表
约瑟夫问题
单向环形链表
约瑟夫环

大致思路
- 遍历链表找到指定位置的节点
- 用一个front保存指定节点的前一个节点,方便删除
- 当count==time时,删除此时正在遍历的节点,放入数组中,并将count的值初始化
- 用一个变量loopTime记录已经出圈了几个人,当其等于length时则是最后一个节点,直接放入数组并返回数即可

代码
package com.atguigu.linkedlist;public class Josepfu {public static void main(String[] args) {// 测试一把看看构建环形链表,和遍历是否okCircleSingleLinkedList circleSingleLinkedList = new CircleSingleLinkedList();circleSingleLinkedList.addBoy(125);// 加入5个小孩节点circleSingleLinkedList.showBoy();//测试一把小孩出圈是否正确circleSingleLinkedList.countBoy(10, 20, 125); // 2->4->1->5->3//String str = "7*2*2-5+1-5+3-3";}}// 创建一个环形的单向链表class CircleSingleLinkedList {// 创建一个first节点,当前没有编号private Boy first = null;// 添加小孩节点,构建成一个环形的链表public void addBoy(int nums) {// nums 做一个数据校验if (nums < 1) {System.out.println("nums的值不正确");return;}Boy curBoy = null; // 辅助指针,帮助构建环形链表// 使用for来创建我们的环形链表for (int i = 1; i <= nums; i++) {// 根据编号,创建小孩节点Boy boy = new Boy(i);// 如果是第一个小孩if (i == 1) {first = boy;first.setNext(first); // 构成环curBoy = first; // 让curBoy指向第一个小孩} else {curBoy.setNext(boy);//boy.setNext(first);//curBoy = boy;}}}// 遍历当前的环形链表public void showBoy() {// 判断链表是否为空if (first == null) {System.out.println("没有任何小孩~~");return;}// 因为first不能动,因此我们仍然使用一个辅助指针完成遍历Boy curBoy = first;while (true) {System.out.printf("小孩的编号 %d \n", curBoy.getNo());if (curBoy.getNext() == first) {// 说明已经遍历完毕break;}curBoy = curBoy.getNext(); // curBoy后移}}// 根据用户的输入,计算出小孩出圈的顺序/**** @param startNo* 表示从第几个小孩开始数数* @param countNum* 表示数几下* @param nums* 表示最初有多少小孩在圈中*/public void countBoy(int startNo, int countNum, int nums) {// 先对数据进行校验if (first == null || startNo < 1 || startNo > nums) {System.out.println("参数输入有误, 请重新输入");return;}// 创建要给辅助指针,帮助完成小孩出圈Boy helper = first;// 需求创建一个辅助指针(变量) helper , 事先应该指向环形链表的最后这个节点while (true) {if (helper.getNext() == first) { // 说明helper指向最后小孩节点break;}helper = helper.getNext();}//小孩报数前,先让 first 和 helper 移动 k - 1次for(int j = 0; j < startNo - 1; j++) {first = first.getNext();helper = helper.getNext();}//当小孩报数时,让first 和 helper 指针同时 的移动 m - 1 次, 然后出圈//这里是一个循环操作,知道圈中只有一个节点while(true) {if(helper == first) { //说明圈中只有一个节点break;}//让 first 和 helper 指针同时 的移动 countNum - 1for(int j = 0; j < countNum - 1; j++) {first = first.getNext();helper = helper.getNext();}//这时first指向的节点,就是要出圈的小孩节点System.out.printf("小孩%d出圈\n", first.getNo());//这时将first指向的小孩节点出圈first = first.getNext();helper.setNext(first); //}System.out.printf("最后留在圈中的小孩编号%d \n", first.getNo());}}// 创建一个Boy类,表示一个节点class Boy {private int no;// 编号private Boy next; // 指向下一个节点,默认nullpublic Boy(int no) {this.no = no;}public int getNo() {return no;}public void setNo(int no) {this.no = no;}public Boy getNext() {return next;}public void setNext(Boy next) {this.next = next;}}
4、跳跃表
1、什么是跳跃表
跳跃链表是一种随机化数据结构,基于并联的链表,其效率可比拟于二叉排序树(对于大多数操作需要O(log n)平均时间),并且对并发算法友好。
基本上,跳跃列表是对有序的链表增加上附加的前进链接,增加是以随机化(抛硬币)的方式进行的,所以在列表中的查找可以快速的跳过部分列表(因此得名)。所有操作都以对数随机化的时间进行。
2、跳跃表原理
查询链表的时间复杂度
搜索链表中的元素时,无论链表中的元素是否有序,时间复杂度都为O(n),如下图,搜索103需要查询9次才能找到该节点
但是能够提高搜索的其他数据结构,如:二叉排序树、红黑树、B树、B+树等等的实现又过于复杂。有没有一种相对简单,同时又能提搜索效率的数据结构呢,跳跃表就是这样一种数据结构。
Redis中使用跳跃表好像就是因为一是B+树的实现过于复杂,二是Redis只涉及内存读写,所以最后选择了跳跃表。
跳跃表实现——搜索
为了能够更快的查找元素,我们可以在该链表之上,再添加一个新链表,新链表中保存了部分旧链表中的节点,以加快搜索的速度。如下图所示
我们搜索元素时,从最上层的链表开始搜索。当找到某个节点大于目标值或其后继节点为空时,从该节点向下层链表搜寻,然后顺着该节点到下一层继续搜索。
比如我们要找103这个元素,则会经历:2->23->54->87->103
这样还是查找了5次,当我们再将链表的层数增高以后,查找的次数会明显降低,如下图所示。3次便找到了目标元素103
代码中实现的跳表结构如下图所示
一个节点拥有多个指针,指向不同的节点
跳跃表实现——插入
跳跃表的插入策略如下
- 先找到合适的位置以便插入元素
- 找到后,将该元素插入到最底层的链表中,并且抛掷硬币(1/2的概率)
- 若硬币为正面,则将该元素晋升到上一层链表中,并再抛一次
- 若硬币为反面,则插入过程结束
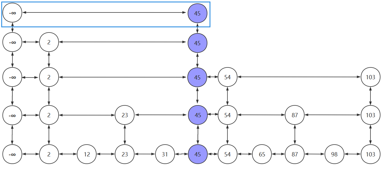
- 为了避免以下情况,需要在每个链表的头部设置一个 负无穷 的元素
- 若我们要将45插入到跳跃表中

- 先找到插入位置,将45插入到合适的位置

- 抛掷硬币:为正,晋升

- 假设硬币一直为正,插入元素一路晋升,当晋升的次数超过跳跃表的层数时,需要再创建新的链表以放入晋升的插入元素。新创建的链表的头结点为负无穷

以上便是跳跃表的插入过程












