判断链表有环(LeetCode 141)
给定一个链表,判断链表是否有环
示例:
输入[3,2,0,4](链表结构如下图) 输出:true
解法1:打标签法(污链表法)
通过打标签 flag 来解决问题,原链表的所有结点都没有 flag,从头结点开始遍历链表,给遍历过的结点立一个 flag,直到遍历到一个有 flag 的结点,证明链表是有环的
const hasCycle = function(head){while(head){if(head.flag){ // 如果 flag 为 true,证明环存在return true}else{ // 否则立一个 flag 继续往下走head.flag = truehead = head.next}}return false}
解法2:快慢指针
快慢指针同时从 head 出发,快指针一次走两步,慢指针一次走一步,如果直到快指针走到头,两者还没相遇说明无环,反之有环
var hasCycle = function(head) {let fast = headlet slow = headwhile(fast && fast.next){fast = fast.next.nextslow = slow.nextif(slow === fast){return true}}return false}
定位环的起点(LeetCode 142)
给定一个链表,返回链表开始入环的第一个结点。 如果链表无环,则返回 null。
示例:
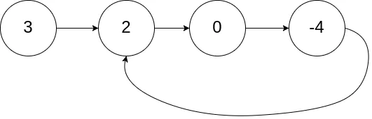
输入:head = [3,2,0,-4](如下图) 输出:tail connects to node index 1 解释:链表中有一个环,其尾部连接到第二个结点。
思路分析:
和判断是否有环一样采用打标签法,返回有flag的结点
const detectCycle = function(head){while(head){if(head.flag){return head}else{head.flag = truehead = head.next}}return null}
