概念解释:
【线性表】:“线性存储结构”,一根线能串起来的数组,存储到物理空间之中。
数据要有相同的数据类型,元素之间的关系要是“一对一”关系
线性表和链表的是两种存储结构,“线式”和“链式”。
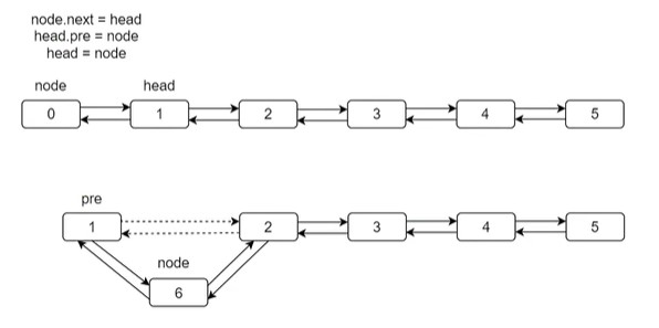
【前置节点】链表中某一个节点指向的前一个节点
【后继节点】与前置节点相对,链表中某一个节点指向的后一个节点
【图示】:线性表是不管逻辑上还是物理位置上都是以线性的方式罗列的,而链表在逻辑上是线性的,但是在物理结构上更多的是以一种引用的方式排列的。
【背景】
链表出现的背景是因为线性表要进行增删的时候,需要挪动其他相关的元素,而为了解决这个问题提出的链表结构在做增删操作时,增加最多只需要断开一条引用增加两条引用就可以了,删除则只需要打断两条引用增加一条引用即可。同时要做扩容操作时也相对较为高效简便。
【代码实现】
public class ListNode {String data;ListNode next;public ListNode(String data) {this.data = data;}public static ListNode arrayToListNode(String[] arr){if (arr.length == 0){return null;}//生成链表的根节点ListNode root = new ListNode(arr[0]);//先将根节点设置为前置节点ListNode pre = root;for (int i = 1; i < arr.length; i++) {ListNode node = new ListNode(arr[i]);//将前置节点的next指针指向当前节点,创建链接关系pre.next = node;//创建完链接关系后将当前节点更新为前直接点,以便于下一次循环创建接下来的链接关系pre = node;}return root;}}
【双链表】
【拓展】:
链表和数组的区别:链表的优点是实现了动态处理,不需要处理固定容量带来的问题。缺点则是失去了随机访问的能力。因此单链表的特点是增删快,查询慢;数组的特点是增删慢,查询快。
【双链表】:
单链表内只包含节点数据以及下一个节点的引用,而双链表则还包含上一个节点的引用。也就是说双链表包括
数据 + 前置指针 + 后置指针
添加元素:
删除元素:
JAVA经典实现:LinkedList
【查询方式】
如根据元素索引位置找到元素,如果在链表的前半段则从前往后遍历,如果在链表的后半段则从后往前遍历
【环形链表】
链表的尾部节点指向链表中的某一个节点元素,使链表形成一个环形结构。
/*** 给一个链表的pos索引位置处加入口节点使其形成环形链表* @param node* @param pos 代表尾节点的指向,链表中某个节点的索引位置(也就是环的入口)*/public static void toCycle(ListNode node,int pos){//记录遍历指针指向的当前位置的索引int cnt = 0;//环的入口处的节点ListNode cycleNode = null;while (true){//遍历到pos位置处后,将遍历到的节点赋值给cycleNodeif (cnt == pos){cycleNode = node;}//遍历到尾节点时,将尾节点的next指针指向cycleNodeif (node.next == null){node.next = cycleNode;return;}node = node.next;cnt++;}}
相关算法
一、输出链表中倒数第K个节点
解法①:总长度减去k再加1
第一次遍历,拿到链表长度相关数据n,第二次遍历将n-k+1作为遍历次数,拿到对应的第K个节点的Node
public static ListNode getKthFromEnd(ListNode head,int k){int n = 0;ListNode tmp = head;while (tmp.next != null){n++;tmp = tmp.next;}tmp = head;for (int i = 0; i < n - k + 1; i++) {tmp = tmp.next;}return tmp;}
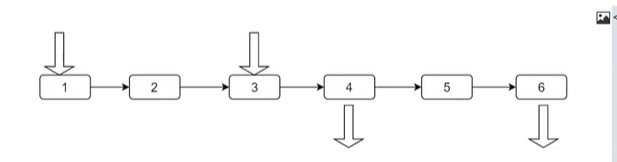
解法②:双指针(快慢指针)定位
要找到倒数第K个节点的Node,可以同时开启两个指针,一开始分别记录第一个节点和正数第K个节点的位置,然后让指针往后挪动,当第二个指针指向链表的末尾Node时,第一个指针正好指向倒数第K个节点。(相当于慢的指针没走的K步由快指针走完)
public static void main(String[] args) {int[] arr = {1,2,3,4,5,6};ListNode head = ListNode.arrayToListNode(arr);ListNode kthFromEnd = getKthFromEnd1(head, 3);System.out.println(kthFromEnd.val);}public static ListNode getKthFromEnd1(ListNode head,int k){ListNode fast = head;ListNode slow = head;for (int i = 0; i < k - 1; i++) {fast=fast.next;}while (null != fast.next){fast = fast.next;slow = slow.next;System.out.println("slow走到了"+slow.val+"处,fast走到了"+fast.val+"处。");}return slow;}
【过程示例】
slow走到了2处,fast走到了4处。
slow走到了3处,fast走到了5处。
slow走到了4处,fast走到了6处。
4
二、反转链表
【描述】让一个节点的next指向前置节点,让原next节点指向自身。也就是记录前置节点,变更指向。注意在引用更改时,会丢失原next节点的引用,需要用临时的指针temp记录一下
解法:声明临时节点依次挪动
public static void main(String[] args) {
int[] arr = {1,2,3,4,5};
ListNode head = ListNode.arrayToListNode(arr);
ListNode head1 = reverseList(head);
ListNode.print(head1);
}
public static ListNode reverseList(ListNode head){
//pre初始化为null;
ListNode pre = null;
//从head开始移动
ListNode cur = head;
while (cur != null){
//拿出cur当前移动至的节点它的下一个节点
ListNode tmp = cur.next;
//将移动至的当前节点的next指针指向pre
cur.next = pre;
//pre更新,变为当前节点cur
pre = cur;
//cur更新,变为原cur的next节点。完成挪动
cur = tmp;
}
//cur最终会挪到最后一个节点的next节点,所以要返回pre作为新链表的head节点
return pre;
}
三、判断一个链表是否是环形链表
解法①:使用快慢指针
跑步时,操场是一个环形跑道,跑的快的人和跑的慢的人终将相遇,这就能倒推出跑道是环形的。
构造一个快指针,让其一次遍历两个节点,一个慢指针一次遍历一个节点
public static void main(String[] args) {
int[] arr = {1,2,3,4,5,6,7,8};
ListNode listNode = ListNode.arrayToListNode(arr);
ListNode.toCycle(listNode,3);
boolean b = hasCycle(listNode);
System.out.println(b);
}
public static boolean hasCycle(ListNode head){
if (null == head || null == head.next){
return false;
}
ListNode slow = head;
ListNode fast = head;
while (true){
slow = slow.next;
fast = fast.next.next;
if (null == fast || null == fast.next){
return false;
}
if (slow == fast){
return true;
}
if (null != slow){
System.out.print("slow走到了"+slow.val+"位置,");
}
if (null != fast){
System.out.println("fast走到了"+fast.val+"位置。");
}
}
}
控制台打印输出
slow走到了2位置,fast走到了3位置。
slow走到了3位置,fast走到了5位置。
slow走到了4位置,fast走到了7位置。
slow走到了5位置,fast走到了4位置。
true
123456 78
2 3 4 5 6 7 8 7 8 7 8
3 5 7 7 7
四、判断一个链表是否是环形链表,如是返回其入口节点,不是返回空
解法①:快慢指针相遇
第一次相遇之后,让fast重新指向头节点head,slow保持不变。fast和slow按照相同速度移动,第二次相遇后,此节点即为入口节点。
public static ListNode detectCycle(ListNode head){
if (null == head || null == head.next){
return null;
}
ListNode slow = head;
ListNode fast = head;
while (true){
slow = slow.next;
fast = fast.next.next;
if (null == fast || null == fast.next){
return null;
}
if (slow == fast){
break;
}
if (null != slow){
System.out.print("slow走到了"+slow.val+"位置,");
}
if (null != fast){
System.out.println("fast走到了"+fast.val+"位置。");
}
}
fast = head;
while (true){
fast = fast.next;
slow = slow.next;
if (fast == slow){
return slow;
}
}
}
五、经典链表应用之“约瑟夫环”
【描述】假设有N个人围成一圈,从第一个人开始报数,报到第M个人时,第M个人被杀,然后下一个人继续从1开始报数,报至第M个人时第M个人也被杀,依次循环直至最后一个。那么最后一个人的初始位置在哪里?
解法①:链表方式
【分析】将每个人视作链表中的一个节点,当遍历至M的时候删除该节点,然后从M处开始重新遍历,直至剩下最后一个节点。
public static void main(String[] args) {
System.out.println("41,3 ->"+josephus(41,3));
}
public static int josephus(int n,int m){
int[] arr = new int[n];
for (int i = 0; i < n; i++) {
arr[i] = i+1;
}
ListNode head = ListNode.arrayToListNode(arr);
ListNode.toCycle(head,0);
int cnt = 1;
while (true){
//在m位置处的节点要被删去,那就需要将m-1位置处的节点next指向next.next
if (cnt == m-1){
System.out.println("在第"+head.next.val+"处的值被删除");
head.next=head.next.next;
//m位置处的节点被删去后,将cnt置为0重新计数
//之所以不置为1,因为下面回有cnt++抵消
cnt = 0;
}
//指针向后移动一位起到遍历作用
head = head.next;
cnt++;
//当某一个节点的next节点指向自己的时候,说明只剩下一个节点了,那该节点的值即为结果
if (head == head.next){
return head.val;
}
}
}
解法②:数组方式
【分析】将每个人视作数组中的一个元素,当报数到m的时候,使用占位符代表此人死掉了。再次遍历时跳过该占位符标记的位置。当剩余人数只有一人时,即为结果。
public static int josephus1(int n,int m){
int[] people = new int[n];
int index = -1;
int cnt = 0;
int remain = n;
while (remain >= 1){
index++;
if (index >= n){
index = 0;
}
if (people[index] == -1){continue;}
System.out.println("cnt 等于:"+cnt+",index为"+index);
if (cnt == m){
people[index] = -1;
System.out.println("cnt 等于:"+cnt+"第"+index+"位置处的元素被删除");
remain--;
cnt = 0;
}
cnt++;
}
return index;
}
