【概念解释】
树:本身是一种递归的数据结构。树由根节点,以及它的子节点,以及子节点的子节点组成的一种数据结构。没有子节点的子节点被称为叶子节点。
【说明】:
【节点】对于节点的名称:“节点”|“结点”
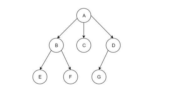
【节点的度】一个根节点有几个子节点
如:EFCG都是叶子节点,A的度为3,B的度为2,D的度为1
【节点的关系】子节点是父节点的孩子节点,父节点是孩子节点的双亲节点。如图中A是B的双亲节点,BCD是A的孩子节点。
【兄弟节点】有相同父节点的节点为兄弟节点,如图中的BCD
【节点的层次】A在第一层,BCD在第二层,EFG在第三层
【树的深度】是最大层次,即为3
分类和比较
【满二叉树】:所有叶子节点都在同一层,所有的分支节点(非叶子节点)都有左右子树
【斜树】:所有的子节点都向一个方向倾斜,只分叉出左子树或右子树。
【完全二叉树】:对于高度/深度为 h 的二叉树而言,h-1层都是满的,h层节点都在左侧连续排列,空位都在右侧,就是完全二叉树
【注意】:斜树其实就是链表结构。二叉树如果只分出一个叉来就是链表,如果分出两个叉来就是二叉树,如果分出多个叉来就是一棵树。满二叉树一定是完全二叉树,但是完全二叉树不一定是满二叉树。
满二叉树 每一层的节点个数 2^(n-1),n代表层数;
满二叉树 如果一个满二叉树的深度为h,那么该二叉树的节点总数为 2^n -1 个
【完全二叉树】
将完全二叉树的节点进行编号,对于编号为k的节点:
它的父节点就是k/2;
如果有孩子节点,它的左节点为 2k,右节点为 2k +1;
【注意】
满二叉树的节点要么没孩子,要么一定是两个。
完全二叉树从根往下数,除了最下层外都是全满(都有两个子节点),而最下层所有叶节点都向左边靠拢填满,构造一棵完全二叉树就是从上到下,从左到右放置节点。
构造出一棵完全二叉树
【代码实现】
public class CreateTree {// 0 1 2 3 4// 2k+1 2k+2private static int[] array = {1, 2, 3, 4, 5};private static List<TreeNode> nodeList = new LinkedList<>();private static TreeNode createTree() {//构造节点for (int i = 0; i < array.length; i++) {TreeNode node = new TreeNode(array[i]);nodeList.add(node);}//构造节点之间的关系for (int i = 0; i < nodeList.size()/2; i++) {TreeNode node = nodeList.get(i);node.left = nodeList.get(i * 2 + 1);//最后一个父节点可能没有右孩子,需要额外判断if (i*2 +2 < nodeList.size()){node.right = nodeList.get(i * 2 + 2);}}return nodeList.get(0);}}
【相关算法】
一、求取二叉树的深度:
给定一个二叉树,找出其最大深度。
二叉树的深度为根节点到最远叶子节点的最长路径上的节点数。
说明: 叶子节点是指没有子节点的节点。
示例:
给定二叉树 [3,9,20,null,null,15,7],
3
/ \
9 20
/ \
15 7
返回它的最大深度 3 。
来源:力扣(LeetCode)
链接:https://leetcode-cn.com/problems/maximum-depth-of-binary-tree
【代码实现】
public class Depth {
public static void main(String[] args) {
TreeNode treeNode = new TreeNode(3);
TreeNode leftNode = new TreeNode(9);
TreeNode rightNode = new TreeNode(20);
TreeNode subLeftNode = new TreeNode(15);
TreeNode subRightNode = new TreeNode(7);
rightNode.left = subLeftNode;
rightNode.right = subRightNode;
treeNode.left = leftNode;
treeNode.right = rightNode;
System.out.println(maxDepth(treeNode));
}
/* 3
/ \
9 20
/ \
15 7 */
public static int maxDepth(TreeNode treeNode){
if (treeNode == null){return 0;}
int leftDepth = maxDepth(treeNode.left);
int rightDepth = maxDepth(treeNode.right);
return Math.max(leftDepth,rightDepth) + 1;
}
}
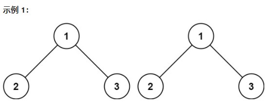
二、相同的树
给你两棵二叉树的根节点 p 和 q ,编写一个函数来检验这两棵树是否相同。
如果两个树在结构上相同,并且节点具有相同的值,则认为它们是相同的。
输入:p = [1,2,3], q = [1,2,3]
输出:true
输入:p = [1,2], q = [1,null,2]
输出:false
输入:p = [1,2,1], q = [1,1,2]
输出:false
提示:
两棵树上的节点数目都在范围 [0, 100] 内
-104 <= Node.val <= 104
来源:力扣(LeetCode)
链接:https://leetcode-cn.com/problems/same-tree
【思路分析】
1)两棵树,如果有左右子树,那么树A的左子树 == 树B的左子树,同时树A的右子树 ==树B的右子树
2)如果两棵树都为空,那也是相同的。
3)如果一棵为空,另一棵不为空,是不同的。
4)如果结构相同,数值不相同,也是不同的。
【代码实现】
public class SameTree {
public boolean isSameTree(TreeNode p,TreeNode q){
if (null == p && null == q){
return true;
}
if (null == p || null == q){
return false;
}
if (p.val != q.val){
return false;
}
return isSameTree(p.left,q.left) && isSameTree(p.right,q.right);
}
}
三、二叉树的遍历
3.1 递归遍历
遍历:对树种的每个节点都访问一次,且只访问一次。
深度优先遍历 DFS = Deep First Search
广度优先遍历 BFS = Breath First Search
先序遍历(前序遍历): 根节点 -> 左子树 -> 右子树 A -> B -> C 12457836
中须遍历: 左子树 -> 根节点 -> 右子树 B -> A -> C 42758136
后序遍历: 左子树 -> 右子树 -> 根节点 B -> C -> A 47852631
完全二叉树的遍历:
先序遍历:124895367
中序遍历:849251637
后序遍历:894526731
广序遍历:123456789
public static void main(String[] args) {
TreeNode treeNode = CreateTree.create();
System.out.println(treeNode);
preOrder(treeNode);
System.out.println();
System.out.println("-------------");
inOrder(treeNode);
System.out.println();
System.out.println("-------------");
postOrder(treeNode);
}
//先序 中序 和 后序的遍历
/**
* 先序遍历 124895367
* @param treeNode
*/
public static void preOrder(TreeNode treeNode){
if (treeNode == null) return;
System.out.print(treeNode.val + " ");
preOrder(treeNode.left);
preOrder(treeNode.right);
}
/**
* 中序遍历 849251637
* @param treeNode
*/
public static void inOrder(TreeNode treeNode){
if ( null == treeNode) return;
inOrder(treeNode.left);
System.out.print(treeNode.val + " ");
inOrder(treeNode.right);
}
/**
* 后续遍历 894526731
* @param treeNode 头节点
*/
public static void postOrder(TreeNode treeNode){
if (null == treeNode) return;
postOrder(treeNode.left);
postOrder(treeNode.right);
System.out.print(treeNode.val + " ");
}
//广度优先遍历 123456789
//通过队列实现 从根节点开始存储到队列中
// 对队列元素的处理是 将队头节点的孩子存入队列中,取出队头节点
// 直到队列为空 所有节点处理完成 同时节点的顺序是按照层级的
public static void bfs(TreeNode node){
if (node == null) return;
LinkedList<TreeNode> queues = new LinkedList<>();
queues.offer(node);
while (queues.size() > 0){
//取出队列首部元素
TreeNode treeNode = queues.poll();
System.out.print(treeNode.val);
//如果
if (treeNode.left != null){
queues.offer(treeNode.left);
}
if (treeNode.right != null){
queues.offer(treeNode.right);
}
}
}
3.2 非递归遍历:迭代遍历
递归 —— 有去有回
先解决子问题 再基于子问题解决当前问题 解决当前问题
可以理解为 是解决有依赖关系的多个问题
fib(3) A -> fib(2) B -> fib(1) C
调用关系:
开始处理A;
因为A依赖B,开始处理B;
因为B依赖C,开始处理C;
C处理完成 -> B处理完成 -> A处理完成
先进后出的处理关系 — 栈
实际上在Java内部,递归就是通过栈的方式进行遍历的
先递归 整棵树的遍历 根节点的遍历 - 左子树的遍历 - 右子树的遍历
3.2.1 先序遍历
先序遍历:124895367





【代码实现】
先序遍历 入栈时打印
/** * 使用栈 + 迭代的方式打印 先序遍历 * @param node */ public static void preOrderByLoop(TreeNode node){ Stack<TreeNode> stack = new Stack<>(); //使用指针,记录遍历到哪个节点 TreeNode pointerNode = node; while (pointerNode != null || !stack.isEmpty()){ //入栈,把当前能读到的所有左孩子 存入栈中 while(pointerNode != null){ System.out.print(pointerNode.val + " "); stack.push(pointerNode); pointerNode = pointerNode.left; } //出栈 弹出栈顶元素 并找到其右孩子 /** * 1 2 4 8 * 1 2 4 * 1 2 9 * 1 5 * 3 6 * 7 * 打印出来 124895367 */ if (!stack.isEmpty()){ pointerNode = stack.pop(); pointerNode = pointerNode.right; } } }3.2.2 中序遍历
中序遍历 出栈时打印
/** * 使用栈 + 迭代的方式打印 中序遍历 * @param node */ public static void inOrderByLoop(TreeNode node){ Stack<TreeNode> stack = new Stack<>(); //使用指针,记录遍历到哪个节点 TreeNode pointerNode = node; while (pointerNode != null || !stack.isEmpty()){ //入栈,把当前能读到的所有左孩子 存入栈中 while(pointerNode != null){ // System.out.print(pointerNode.val + " "); stack.push(pointerNode); pointerNode = pointerNode.left; } //出栈 弹出栈顶元素 并找到其右孩子 /** * 打印出来 */ if (!stack.isEmpty()){ pointerNode = stack.pop(); System.out.print(pointerNode.val + " "); pointerNode = pointerNode.right; } } }3.2.3 右序遍历
右序遍历时,根节点不从栈中弹出,要在右子树遍历后再弹出;
如何判断右子树被遍历完成?
通过记录上一次遍历的节点
如果上一次遍历的节点是当前节点的右子树,代表此根节点可以被遍历出来
入栈顺序 1 2 4 8 9 5 3 6 7
出栈顺序 8 9 4 5 2 6 7 3 1
节点的出栈逻辑有两种情况
1)当前节点是叶子节点
2)上一次出栈的节点是当前节点的右子树
