平衡树和AVL
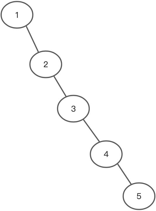
前面我们讲过二分搜索树,二分搜索树在某些情况下会退化成链表,比如它存入的数据从小到大排好序的:[1, 2, 3, 4, 5]
AVL 树得名于它的发明者 G. M. Adelson-Velsky 和 E. M. Landis,是他们两个人名字的缩写。他们在 1962 年的论文中发表了它。
AVL 树本质上还是一棵二分搜索树,只不过它每个节点左右子树的高度差的绝对值(平衡因子)不能超过 1。细心的朋友可能看到了 平衡因子 这个词,大家不要怕,这个词看着挺高端,实际就是节点左右子树高度差的绝对值而已。
下面这颗树就不是一个 AVL 树,因为节点 12 和 节点 8 他们之间的高度差绝对值为 2:
