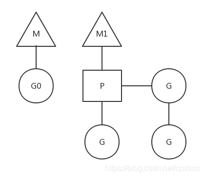
MPG

Go 的协程依赖于 MPG 模式,分别如下:

  • Machine:对应线程
  • Processor:上下文环境(代码片段逻辑处理器)
  • Goroutine:协程(轻量级线程)

20200906204136595.png
MPG 模式的特点:

  • M : P = 1 : 1,P : G = 1 : n。