树是经常用到的数据结构,用来模拟具有树状结构性质的数据集合。
从图的观点来看,树可视为拥有N个节点和N-1条边的一个有向无环图**二叉树**(Binary Tree)是一种更为典型的树状结构,二叉树是每个节点最多有两个子树的树结构,通常子树被称为左子树、右子树
对于二叉树,需要掌握常见的排序、遍历算法。
二叉树遍历:
- 前序遍历
- 中序遍历
- 后序遍历
- 层序遍历
斜树
左斜树
右斜树
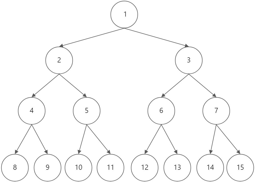
满二叉树
**Full Binary Tree**
如果一个二叉树的层数为**K**,且结点总数是**2****k**** -1** ,则它就是满二叉树。
满二叉树特点(高度 h):
- 叶子节点都在最后一层
- 只有度为0、度为2的节点
- 叶子数是:
**2****h**** ** - 第 k 层的结点数是:
**n = 2****(k - 1)** - 总结点数:
**n = 2****k**** - 1**,(反过来,高度**h = log****2****(n+1)**)

完全二叉树
**Complete Binary Tree**
完全二叉树的节点数是任意的,从形式上讲它是个缺失的的三角形,但所缺失的部分一定是右下角某个连续的部 分,最后那一行可能不是完整的
对于k层的完全二叉树,节点数的范围2^ (k - 1) -1 < N< 2^k - 1;设二叉树的深度为h,除第 h 层外,其它各层 (1~h-1) 的结点数都达到最大个数,第 h 层所有的结点都连续集中在最左边, 这就是完全二叉树。
个人所想:层序遍历上满足节点连续性。
完全二叉树特点(高度 h,共n个节点):
- 高度
**h = log****2****(n+1)**

