- 分类模型评估
- 准确率
- 预测正确的数占样本总数的比例
- 精确率
- 正确预测为正占全部预测为正的比例
- 召回率
- 正确预测为正占全部正样本的比例
- F1-score
- 主要用于评估模型的稳健型
- AUC指标
- 主要用于评估样本不均衡的情况
- 准确率
- 回归模型评估
- 均方根误差
- RMSE是一个衡量回归模型误差率的常用公式。然而,它仅能比较误差是相同单位的模型。
- 均方根误差

- 相对平方误差
- 与RMSE不同,RSE可以比较误差是不同单位的模型。

- 平均绝对误差
- MAE与原始数据单位相同, 它仅能比较误差是相同单位的模型。量级近似与RMSE,但是误差值相对小一些。

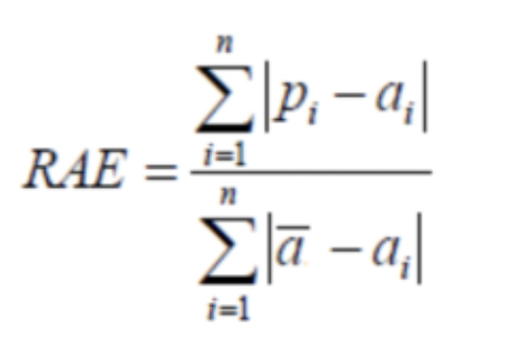
- 相对绝对误差
- 与RSE不同,RAE可以比较误差是不同单位的模型。

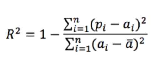
- 决定系数
- 决定系数 (R2)回归模型汇总了回归模型的解释度,由平方和术语计算而得。

- 拟合
- 欠拟合

因为机器学习到的天鹅特征太少了,导致区分标准太粗糙,不能准确识别出天鹅。
- 过拟合

机器已经基本能区别天鹅和其他动物了。然后,很不巧已有的天鹅图片全是白天鹅的,于是机器经过学习后,会认为天鹅的羽毛都是白的,以后看到羽毛是黑的天鹅就会认为那不是天鹅。
过拟合(over-fitting):所建的机器学习模型或者是深度学习模型在训练样本中表现得过于优越,导致在验证数据集以及测试数据集中表现不佳。
- 分类模型评估【知道】
- 精确率 – 查的准
- 召回率 – 查的全
- F1-score – 评判模型的稳健性
- 回归模型评估【知道】
- MSE – 均方误差
- RMSE – 均方根误差
- MAE – 平方绝对误差
- 拟合【掌握】
- 举例 – 判断是否是人
- 欠拟合
- 学习到的东西太少
- 学习到的特征少
- 过拟合
- 学习到的东西太多
- 学习到的特征多,不好泛化
