# Definition for singly-linked list.# class ListNode:# def __init__(self, val=0, next=None):# self.val = val# self.next = next
1、合并两个有序链表
https://leetcode-cn.com/problems/merge-two-sorted-lists/
将两个升序链表合并为一个新的 升序 链表并返回。新链表是通过拼接给定的两个链表的所有节点组成的。 
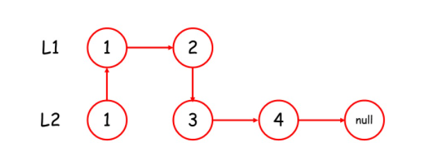
输入:l1 = [1,2,4], l2 = [1,3,4]输出:[1,1,2,3,4,4]
1.1、递归法
class Solution:def mergeTwoLists(self, list1: Optional[ListNode], list2: Optional[ListNode]) -> Optional[ListNode]:if list1 is None:return list2elif list2 is None:return list1elif list1.val < list2.val:# list1当前结点指向其他剩余的所有结点list1.next = self.mergeTwoLists(list1.next, list2)return list1else:# list2当前结点指向其他剩余的所有结点list2.next = self.mergeTwoLists(list1, list2.next)return list2
- 时间复杂度 O(n+m),n和m分别为两个链表的长度
- 空间复杂度 O(n+m),n和m分别为两个链表的长度,递归调用需要消耗栈的空间
该方法采用了递归的思想,如果list1当前结点小于list2当前结点,那么不需要排序,将list1当前结点的next指针指向除过list1的其他结点,否则,将list2当前结点的next指针指向除过list2的其他结点,直到有一个结点为空,此时两个链表已经排序完毕,为这种情况
再依次向前return返回指针,得到
2.1、迭代法
class Solution:def mergeTwoLists(self, list1: Optional[ListNode], list2: Optional[ListNode]) -> Optional[ListNode]:# 一个哨兵结点prehead = ListNode(-1)# 设置一个指针prev = preheadwhile list1 and list2:if list1.val <= list2.val:# prev指向list1结点prev.next = list1# list1结点向下走一步list1 = list1.nextelse:prev.next = list2list2 = list2.next# prev指针向下走一步prev = prev.nextprev.next = list1 if list1 is not None else list2return prehead.next
- 时间复杂度 O(n+m),n和m分别为两个链表的长度
- 空间复杂度 O(1),只维护了一个链表
该方法采用了迭代的思想,先设定一个哨兵结点 prehead ,再去维护一个prev指针,通过调整它的next指针,来构建排序完成后的链表。如果list1当前结点小于等于list2当前结点,那么prev指针指向list1当前结点,list1走向下一个结点,反之prev指针指向list2当前结点,list2走向下一个结点。每判断一次,prev指针向前走一步,知道有一个链表为空,这个时候,prev指针已经构建了一个排好序的列表,返回合并后的即可。prehead.next意思是去除哨兵结点后的链表。
2、判断链表是否有环
https://leetcode-cn.com/problems/linked-list-cycle/
给你一个链表的头节点 head ,判断链表中是否有环。
如果链表中有某个节点,可以通过连续跟踪 next 指针再次到达,则链表中存在环。 为了表示给定链表中的环,评测系统内部使用整数 pos 来表示链表尾连接到链表中的位置(索引从 0 开始)。如果 pos 是 -1,则在该链表中没有环。注意:pos 不作为参数进行传递,仅仅是为了标识链表的实际情况。
如果链表中存在环,则返回 true 。 否则,返回 false 。
1、快慢指针
class Solution:def hasCycle(self, head: ListNode) -> bool:# 判断链表头结点以及头结点指针是否存在if not head or not head.next:return False# 初始化指针slow = headfast = head.nextwhile slow != fast:# 快指针走的快,如果走完了,还没有,就没环if not fast or not fast.next:return False# 快指针 2步,慢指针 1步slow = slow.nextfast = fast.next.nextreturn True
- 时间复杂度 O(n),n为链表长度
- 空间复杂度 O(1),只使用了两个指针的额外空间
维护两个指针,慢指针一次走一步,快指针一次走两步,如果两个指针相遇,那么该指针存在环,因为我们while判断是快慢指针是否相等,所以,初始化时快指针需要比慢指针多一步,不然开始就相遇了。
3、输出链表倒数第k个节点
https://leetcode-cn.com/problems/lian-biao-zhong-dao-shu-di-kge-jie-dian-lcof/
输入一个链表,输出该链表中倒数第k个节点。为了符合大多数人的习惯,本题从1开始计数,即链表的尾节点是倒数第1个节点。
例如,一个链表有 6 个节点,从头节点开始,它们的值依次是 1、2、3、4、5、6。这个链表的倒数第 3 个节点是值为 4 的节点。
示例:
给定一个链表: 1->2->3->4->5, 和 k = 2.
返回链表 4->5.
1、快慢指针
class Solution:def getKthFromEnd(self, head: ListNode, k: int) -> ListNode:# 定义指针fast, slow = head, headclass Solution:def reverseList(self, head: ListNode) -> ListNode:# 初始化fast指针到k的位置while fast and k > 0:fast, k = fast.next, k-1# 两个指针同时向前,每次一步while slow and fast:fast = fast.nextslow = slow.nextreturn slow
- 时间复杂度 O(n)
- 空间复杂度 O(1)
定义两个指针,即快慢指针。初始化,使慢指针位于head位置;快指针位于k所在位置,然后依次向前,每次前进一格,当fast指向null的时候,slow指针刚好在k所在的位置。这个时候,直接返回slow指针即可。
4、翻转链表
https://leetcode-cn.com/problems/reverse-linked-list/
定义一个函数,输入一个链表的头节点,反转该链表并输出反转后链表的头节点。
示例:
输入: 1->2->3->4->5->NULL
输出: 5->4->3->2->1->NULL
1、双指针法
class Solution:def reverseList(self, head: ListNode) -> ListNode:prev, cur = None, headwhile cur:# 保存原本next指针tmp = cur.next# 将cur的next指针指向前继结点cur.next = prev# 前继结点向前走一步prev = cur# cur通过tmp保存的next向前走一步cur = tmpreturn cur
- 时间复杂度 O(n),n为链表长度
- 空间复杂度 O(1),只使用了两个常量空间
定义两个指针,一个为当前结点,一个为前继结点,用来构造新链表,每次循环,先存储当前结点的next指向,再将next指向为前继结点,这样就如下图所示。然后,prev向下走一步来访问下一结点,cur通过tmp来访问下一结点。
2、递归法
因为该算法中,递归导致要维护函数调用栈,空间复杂度为O(n),增加了空间复杂度,但其思想可以参考。
https://leetcode-cn.com/problems/fan-zhuan-lian-biao-lcof/solution/jian-zhi-offer-24-fan-zhuan-lian-biao-die-dai-di-2/
5、删除链表中的结点
https://leetcode-cn.com/problems/shan-chu-lian-biao-de-jie-dian-lcof/
给定单向链表的头指针和一个要删除的节点的值,定义一个函数删除该节点。
返回删除后的链表的头节点。
示例 1:
输入: head = [4,5,1,9], val = 5
输出: [4,1,9]
解释: 给定你链表中值为 5 的第二个节点,那么在调用了你的函数之后,该链表应变为 4 -> 1 -> 9.
1、双指针法
class Solution:def deleteNode(self, head: ListNode, val: int) -> ListNode:# 如果head的值就是val,返回head的next,即跳过目标val的链表if head.val = val:return head.next# 定义两个指针prev, cur = head, head.next# 当cur的val等于目标val并且cur存在时while cur and cur.val != val:prev, cur = cur, cur.nextif cur:prev.next = cur.nextreturn head
首先,边界值判断,如果head的val等于目标val,就返回head的next指针指向。定义两个指针,前继指针和游标指针。prev和cur指针每次走一步,直到cur的val等于目标val并且cur存在时,这个时候,cur就是要删除的结点。如果cur存在,那么将prev的next指向cur的next指向,即prev的下下一个结点。返回head即可。
6、两个链表的第一个公共节点
https://leetcode-cn.com/problems/intersection-of-two-linked-lists/
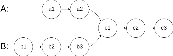
输入两个链表,找出它们的第一个公共节点。
如下面的两个链表:
在节点 c1 开始相交。
1、双指针法
class Solution:def getIntersectionNode(self, headA: ListNode, headB: ListNode) -> ListNode:node1, node2 = headA, headBwhile node1 != node2:node1 = node1.next if node1 else headBnode2 = node2.next if node2 else headAreturn node1
- 时间复杂度 O(m+n)
- 空间复杂度 O(1)
该方法通过定义两个指针,初始化为headA和headB,每次向前走一步,当指针走向结点末尾时,将该指针指向对面链表的头部,这样当他们相遇时,所指向额结点就是第一个公共结点。
