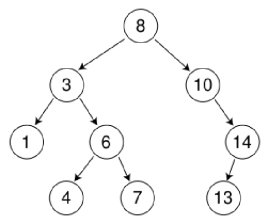
定义
- 某节点的左子树节点值仅包含小于该节点值
- 某节点的右子树节点值仅包含大于该节点值
- 对于根节点,最多有俩个直接相邻的子节点
图形

优点
二叉树时间复杂度为logn,因为平均情况下把一个n变为1的时候,满足公式n*(1/2)^k = 1,也就是需要执行的操作步数k为logn。
缺点
如果不进行调整,二叉查找树会出现退化的情况。
怎么统计二叉树中每个节点有几个子节点?
父节点的子节点个数 等于 左孩子节点的个数+有孩子节点的个数。用递归实现时,当遍历完左子树和右子树时,如果此时左孩子节点不为空,则左子树的个数为左孩子节点的个数+1,否则为0。右子树同理。
怎么从二叉搜索树中快速查找出第k小的值?
题目分析
我们知道二叉搜索树的特点,父节点大于左孩子节点,父节点大于有孩子节点。对于每个父节点,最多有俩个孩子节点。 根据这个特性,我们知道最小节点就是最左边的节点,最大节点就是最右边的节点。那么第二小和第二大节点呢?第二小,就是这个最小节点的直接相邻父节点,或者是这个最小节点的直接相邻的右孩子节点,第二大节点同理。
由上面分析可见,我们稍加分析就可以知道,这求第k小的值 可以在遍历二叉搜索树的时候得到。当一个父节点没有左子树或者遍历完左子树的时候,那么它就是最小的。
