- 时间、空间复杂度
- 字符串
- 647. 回文子串【马拉车算法】">647. 回文子串【马拉车算法】
- 5740. 所有元音按顺序排布的最长子字符串(美丽字符串)">5740. 所有元音按顺序排布的最长子字符串(美丽字符串)
- 数组
- 581. 最短无序连续子数组【双指针】">581. 最短无序连续子数组【双指针】
- 560. 和为K的子数组(前缀和)">560. 和为K的子数组(前缀和)
- 448. 找到所有数组中消失的数字(原地修改)">448. 找到所有数组中消失的数字(原地修改)
- 栈
- 739. 每日温度【单调栈】">739. 每日温度【单调栈】
- 42. 接雨水【单调栈】">42. 接雨水【单调栈】
- 84. 柱状图中最大的矩形【单调栈】">84. 柱状图中最大的矩形【单调栈】
- 树
- 543. 二叉树的直径【后序遍历】">543. 二叉树的直径【后序遍历】
- 538. 把二叉搜索树转换为累加树【反向中序遍历】">538. 把二叉搜索树转换为累加树【反向中序遍历】
- 617. 合并二叉树【DFS】">617. 合并二叉树【DFS】
- 112. 路径总和【DFS】">112. 路径总和【DFS】
- 113. 路径总和 II【DFS】">113. 路径总和 II【DFS】
- 437. 路径总和 III【前缀和】">437. 路径总和 III【前缀和】
- 动态规划
- 01背包问题
- 双指针
- 141. 环形链表">141. 环形链表
- 142. 环形链表 II">142. 环形链表 II
- 287. 寻找重复数【模拟环形链表】">287. 寻找重复数【模拟环形链表】
- 二分查找
- 设计题
- 括号问题
- 位运算
- 338. 比特位计数">338. 比特位计数
- 461. 汉明距离【布赖恩·克尼根算法】">461. 汉明距离【布赖恩·克尼根算法】
- 数学
时间、空间复杂度
对于一个程序问题我们也许可以用很多种不同的算法去解决,当然对于同一个问题,使用不同的算法,也许最终得到的结果是一样的,但在过程中消耗的资源和时间却会有很大的区别。
那么我们应该如何去衡量不同算法之间的优劣呢?
主要还是从算法所占用的「时间」和「空间」两个维度去考量。
时间维度:是指执行当前算法所消耗的时间,我们通常用「时间复杂度」来描述。
空间维度:是指执行当前算法需要占用多少内存空间,我们通常用「空间复杂度」来描述。
对于算法消耗的时间和空间我们也可以用两种不同的方法来分析。
1.事后分析法
事后分析法就是将一个算法执行一遍,在执行结束或者说在执行的整个过程中,我们去计算这个程序执行所消耗的时间和内存空间,来分析这个算法的好坏。
但是这种分析方法有着很大的局限性我们一般不使用。
原因:由于不同的机器的性能或者架构的不同以及算法执行时间和数据规模的有密切关系,所以不同的数据规模,不同的机器下算法运行的时间不同,我们无法做到用统一的标准计算运行时间和消耗的空间。
例如:在一台i9的机器上执行较差的算法所消耗的时间可能比在一台i3的机器上执行较好的算法所用的时间更短。
两个算法在不同数据规模的执行消耗时间的长短可能截然相反。
2.事前分析法
因此,另一种更为通用的方法就出来了:「 大O符号表示法 」,即 T(n) = O(f(n))
说明:大O符号表示法不同于上面的事后分析法,它不去计算具体消耗的时间和空间,而是表示了数据规模与消耗时间和空间的一种正比关系。
for(i=1; i<=n; ++i){j = i;j++;}
通过「 大O符号表示法 」,这段代码的时间复杂度为:O(n) ,为什么呢?
在 大O符号表示法中,时间复杂度的公式是: T(n) = O( f(n) ),其中f(n) 表示每行代码执行次数之和,而 O 表示正比例关系,这个公式的全称是:算法的渐进时间复杂度。
几个原则
- 去掉常数项 :2(n^2) =n^2
- 一段代码取时间复杂度最高的一项
test(n) {//时间复杂度n^3for(int i = 0; i < n ; i++){for(int i = 0; i < n ; i++){for(int i = 0; i < n ; i++){print(n);}}}//时间复杂度n^2for(int i = 0; i < n ; i++){for(int i = 0; i < n ; i++){print(n);}}//时间复杂度nfor(int i = 0; i < n ; i++){print(n);}int a = 1 + 2;}
这段代码的时间复杂度为n2+n,因为当n足够大时,n3相比太小,可以忽略不计。
3.常见复杂度
o(1)
i = i + 1;
o(n)
test(n){for(int i = 0 ;i < n;i++){print(i);}}
o(n^2)
test(n){for(int i = 0 ;i < n;i++){print(i);for(int j = 0 ;j < n;j++){print(i);}}}
o(log2n)
test(n) {int i = 1;while (i <= n) {i = 2 * i;}}
随着循环次数的增加,i的值变化如下

根据对数函数的公式 2的i次方等于n,i等于log2n

二、空间复杂度
既然时间复杂度不是用来计算程序具体耗时的,那么我也应该明白,空间复杂度也不是用来计算程序实际占用的空间的。空间复杂度是对一个算法在运行过程中临时占用存储空间大小的一个量度,同样反映的是一个趋势,我们用 S(n) 来定义。
空间复杂度比较常用的有:O(1)、O(n)、O(n²),我们下面来看看:
- 空间复杂度 O(1)
如果算法执行所需要的临时空间不随着某个变量n的大小而变化,即此算法空间复杂度为一个常量,可表示为 O(1)
举例:
int i = 1;int j = 2;++i;j++;int m = i + j;
代码中的 i、j、m 所分配的空间都不随着处理数据量变化,因此它的空间复杂度 S(n) = O(1)
- 空间复杂度 O(n)
我们先看一个代码:
int[] m = new int[n]for(i=1; i<=n; ++i){j = i;j++;}
这段代码中,第一行new了一个数组出来,这个数据占用的大小为n,这段代码的2-6行,虽然有循环,但没有再分配新的空间,因此,这段代码的空间复杂度主要看第一行即可,即 S(n) = O(n)
注意:除此以外,当我们在算法中使用到递归的时候也要注意,n次递归计O(n)的空间复杂度,因为使用一次递归调用就会在方法栈中生成一个栈帧,占用常量大小的内存空间。
4. 常用算法的时间空间复杂度
排序算法
排序方法 平均情况 最好情况 最坏情况 辅助空间 稳定性
冒泡排序 O(n^2) O(n) O(n^2) O(1) 稳定
选择排序 O(n^2) O(n^2) O(n^2) O(1) 不稳定
插入排序 O(n^2) O(n) O(n^2) O(1) 稳定
希尔排序O(n*log(n))~O(n^2) O(n^1.3) O(n^2) O(1) 不稳定
堆排序 O(n_log(n)) O(n_log(n)) O(n*log(n)) O(1) 不稳定
归并排序 O(n_log(n)) O(n_log(n)) O(n*log(n)) O(n) 稳定
快速排序 O(n_log(n)) O(n_log(n)) O(n^2) O(1) 不稳
| 查找 | 平均时间复杂度 | 查找条件 | 算法描述 |
|---|---|---|---|
| 顺序查找 | O(n) | 无序或有序队列 | 按顺序比较每个元素,直到找到关键字为止 |
| 二分查找(折半查找) | O(logn) | 有序数组 | 查找过程从数组的中间元素开始,如果中间元素正好是要查找的元素,则搜素过程结束;如果某一特定元素大于或者小于中间元素,则在数组大于或小于中间元素的那一半中查找,而且跟开始一样从中间元素开始比较。 如果在某一步骤数组为空,则代表找不到。 |
| 二叉排序树查找 | O(logn) | 二叉排序树 | 在二叉查找树b中查找x的过程为:1. 若b是空树,则搜索失败2. 若x等于b的根节点的数据域之值,则查找成功;3. 若x小于b的根节点的数据域之值,则搜索左子树4. 查找右子树。 |
| 哈希表法(散列表) | O(1) | 先创建哈希表(散列表) | 根据键值方式(Key value)进行查找,通过散列函数,定位数据元素。 |
| 分块查找 | O(logn) | 无序或有序队列 | 将n个数据元素”按块有序”划分为m块(m ≤ n)。每一块中的结点不必有序,但块与块之间必须”按块有序”;即第1块中任一元素的关键字都必须小于第2块中任一元素的关键字;而第2块中任一元素又都必须小于第3块中的任一元素,……。然后使用二分查找及顺序查找。 |
字符串
647. 回文子串【马拉车算法】
难度中等565
给定一个字符串,你的任务是计算这个字符串中有多少个回文子串。
具有不同开始位置或结束位置的子串,即使是由相同的字符组成,也会被视作不同的子串。
示例 1:
输入:"abc"输出:3解释:三个回文子串: "a", "b", "c"
class Solution {//动态规划 时间:O(n^2) 空间:O(n^2)public int countSubstrings(String s) {int n = s.length();int count = 0;boolean[][] dp = new boolean[n][n];for(int i = 0; i < n; i++){for(int j = 0; j <= i; j++){if (s.charAt(i) == s.charAt(j) && (i - j < 2 || dp[i-1][j+1])){dp[i][j] = true;count++;}}}return count;}}
代码
class Solution {//Manacher算法: 时间复杂度:O(n) 空间复杂度:O(n)public int countSubstrings(String s) {//1.字符串预处理StringBuilder ms = new StringBuilder();ms.append("$#");//$头字符for (char c : s.toCharArray()) {ms.append(c);ms.append("#");//#插入字符,让偶数回文串奇数化}int n = ms.length();ms.append("!");//!尾字符,头尾字符可以让我们在更新max时不需要关注边界//2.马拉车算法int[] p = new int[n];//p[i] 表示以i为中心的回文字符串的半径,注意当前半径应该是 length/2 + 1int pi = 0, max = 0, ans = 0; // 当前最靠右的回文字符串的中心pi,和它的半径maxfor(int i = 1; i < n; i++){//初始化当前i的p[i]p[i] = i < max ? Math.min(p[2*pi-i], max - i) : 1;//尝试max向右拓展while(ms.charAt(i-p[i]) == ms.charAt(i+p[i])){p[i]++;}if(i+p[i] > max){max = i + p[i];pi = i;}//加上当前i位置贡献的回文串个数ans += p[i]/2;}return ans;}}
5740. 所有元音按顺序排布的最长子字符串(美丽字符串)
难度中等2
当一个字符串满足如下条件时,我们称它是 美丽的 :
- 所有 5 个英文元音字母(
'a','e','i','o','u')都必须 至少 出现一次。 - 这些元音字母的顺序都必须按照 字典序 升序排布(也就是说所有的
'a'都在'e'前面,所有的'e'都在'i'前面,以此类推)
比方说,字符串 "aeiou" 和 "aaaaaaeiiiioou" 都是 美丽的 ,但是 "uaeio" ,"aeoiu" 和 "aaaeeeooo" 不是美丽的 。
给你一个只包含英文元音字母的字符串 word ,请你返回 word 中 最长美丽子字符串的长度 。如果不存在这样的子字符串,请返回 0 。
子字符串 是字符串中一个连续的字符序列。
示例 1:
输入:word = "aeiaaioaaaaeiiiiouuuooaauuaeiu"输出:13解释:最长子字符串是 "aaaaeiiiiouuu" ,长度为 13 。
解题思路
思路:判断字符种类和大小
这5个元音字符是升序的,所以当字符串满足整体升序的同时字符种类达到5那么这个字符串就是美丽的。
时间复杂度:O(n) 空间复杂度:O(1)代码
class Solution {public int longestBeautifulSubstring(String word) {int ans = 0, type = 1, len = 1;for(int i = 1; i < word.length(); i++){if(word.charAt(i) >= word.charAt(i-1)) len++; //更新字符串长度if(word.charAt(i) > word.charAt(i-1)) type++; //更新字符种类if(word.charAt(i) < word.charAt(i-1)) { type = 1; len = 1;} //字符串不美丽,从当前字符重新开始if(type == 5) ans = ans > len ? ans : len; //更新最大字符串}return ans;}}
数组
581. 最短无序连续子数组【双指针】
难度中等531
给你一个整数数组 nums ,你需要找出一个 连续子数组 ,如果对这个子数组进行升序排序,那么整个数组都会变为升序排序。
请你找出符合题意的 最短 子数组,并输出它的长度。
示例 1:
输入:nums = [2,6,4,8,10,9,15]输出:5解释:你只需要对 [6, 4, 8, 10, 9] 进行升序排序,那么整个表都会变为升序排序。
class Solution {// 最短无序连续子数组的左右边界是最//左右两端违背升序排列的两个节点之间的最大最小值public int findUnsortedSubarray(int[] nums) {int l = 0, r = 0;//左右边界int max = Integer.MIN_VALUE, min = Integer.MAX_VALUE;//节点间的最大最小值//找最小值boolean flag = false;//节点for(int i = 1; i < nums.length; i++){if(nums[i] < nums[i-1]){flag = true;}if(flag){min = Math.min(min, nums[i]);}}//找最大值flag = false;//节点for(int i = nums.length - 2; i >= 0; i--){if(nums[i] > nums[i+1]){flag = true;}if(flag){max = Math.max(max, nums[i]);}}//找左右边界for(l = 0; l < nums.length; l++){if(nums[l] > min){break;}}for(r = nums.length -1; r >= 0; r--){if(nums[r] < max){break;}}return r - l < 0 ? 0 : r - l + 1;}}
560. 和为K的子数组(前缀和)
难度中等882
给定一个整数数组和一个整数 k,你需要找到该数组中和为 k 的连续的子数组的个数。
示例 1 :
输入:nums = [1,1,1], k = 2输出: 2 , [1,1] 与 [1,1] 为两种不同的情。
class Solution {//思路:前缀和+map优化 时间:O(n) 空间:O(n)//前缀和:我们对数组中每个从数组头到当前位置求和记为当前位置的前缀和,//那么以当前位置结尾的和为k的子数组的个数就等于,map.getOrDefault(per_cur - k, 0);public int subarraySum(int[] nums, int k) {int count = 0;int sum = 0; //前缀和Map<Integer, Integer> map = new HashMap<>();// k存储前缀和, v存储前缀和出现的次数map.put(0, 1);//为了记录单独整数位k的情况for(int i = 0; i < nums.length; i++){sum += nums[i];if(map.containsKey(sum - k)){count += map.get(sum - k);}map.put(sum, map.getOrDefault(sum, 0) + 1);}return count;}}
448. 找到所有数组中消失的数字(原地修改)
难度简单717
给定一个范围在 1 ≤ a[i] ≤ n ( n = 数组大小 ) 的 整型数组,数组中的元素一些出现了两次,另一些只出现一次。
找到所有在 [1, n] 范围之间没有出现在数组中的数字。
您能在不使用额外空间且时间复杂度为O(n)的情况下完成这个任务吗? 你可以假定返回的数组不算在额外空间内。
示例:
输入:[4,3,2,7,8,2,3,1]输出:[5,6]
智力题:原地修改
思路:题目要求我们满足O(1)的空间复杂度,O(n)的时间复杂度;
为了找出消失的数字,我们不可避免的需要空间去记录已经出现过的数字,这就很难满足O(1)的空间复杂度,所以我们考虑在原数组上进行修改
本题中的数字的特殊之处在于1 ≤ a[i] ≤ n ( n = 数组大小 ) ,所以对于其中任何一个数字a[i],它都能与该数组中某个位置的索引index对应a[i]-1= index, 所以我们为了记录数字a[i]已经出现过,我们令a[index] += n; ( n = 数组大小 )
因为a[index] + n 大于数组n, (a[index] + n)%n = a[index] 所以我们既避免了对原数组操作造成的数据影响和数据覆盖又记录了已经出现过的数字; 最后整体思路是遍历两遍数组,第一遍记录出现过的数字,第二遍寻找没有被记录过的数字便找到了消失的数字
class Solution {public List<Integer> findDisappearedNumbers(int[] nums) {int n = nums.length;List<Integer> ans = new ArrayList<>();//第一次遍历:记录出现过的数字for(int num : nums){num = (num - 1) % n;nums[num] += n;}//第二遍:找出消失的数字,并恢复原数组for(int i = 0; i < n; i++){if(nums[i] <= n){ans.add(i+1);}else{nums[i] %= n;}}return ans;}}
栈
739. 每日温度【单调栈】
难度中等737
请根据每日 气温 列表,重新生成一个列表。对应位置的输出为:要想观测到更高的气温,至少需要等待的天数。如果气温在这之后都不会升高,请在该位置用 0 来代替。
例如,给定一个列表 temperatures = [73, 74, 75, 71, 69, 72, 76, 73],你的输出应该是 [1, 1, 4, 2, 1, 1, 0, 0]。
提示:气温 列表长度的范围是 [1, 30000]。每个气温的值的均为华氏度,都是在 [30, 100] 范围内的整数。
class Solution {//单调栈 时间复杂度:O(n) 空间复杂度:O(n)//思路:从前向后将元素入栈,将满足降序的元素直接入栈,遇到违背降序的元素说明他是气温升高的那一天,//将栈中所有小于它的元素出栈,并且求得天数差存入结果;最后将它入栈,继续向后public int[] dailyTemperatures(int[] T) {int[] ans = new int[T.length];Stack<Integer> stack = new Stack<>();//单调栈,存的是对应位置的索引值for(int i = 0; i < T.length; i++){while(!stack.isEmpty() && T[stack.peek()] < T[i]){ans[stack.peek()] = i - stack.pop();}stack.push(i);}return ans;}}
42. 接雨水【单调栈】
难度困难2309
给定 n 个非负整数表示每个宽度为 1 的柱子的高度图,计算按此排列的柱子,下雨之后能接多少雨水。
示例 1:

输入:height = [0,1,0,2,1,0,1,3,2,1,2,1]输出:6解释:上面是由数组 [0,1,0,2,1,0,1,3,2,1,2,1] 表示的高度图,在这种情况下,可以接 6 个单位的雨水(蓝色部分表示雨水)。
class Solution {//单调栈:时间复杂度:O(n) 空间复杂度:O(n)//思路:当前位置的水量为:distance*(Math.min(height[l], height[r])-height[cur]); 左右间距乘以两山头中较低的哪一个与当前山谷的差值public int trap(int[] height) {int ans = 0;Stack<Integer> stack = new Stack<>();//存的是数组索引,栈是单调递减的for(int r = 0; r < height.length; r++){while(!stack.isEmpty() && height[r] > height[stack.peek()]){int cur = stack.pop();if(stack.isEmpty()) break;int l = stack.peek();int distance = r - l -1;int h = distance*(Math.min(height[l], height[r])-height[cur]);ans += h;}stack.add(r);}return ans;}}
84. 柱状图中最大的矩形【单调栈】
难度困难1337
给定 n 个非负整数,用来表示柱状图中各个柱子的高度。每个柱子彼此相邻,且宽度为 1 。
求在该柱状图中,能够勾勒出来的矩形的最大面积。

以上是柱状图的示例,其中每个柱子的宽度为 1,给定的高度为 [2,1,5,6,2,3]。

图中阴影部分为所能勾勒出的最大矩形面积,其面积为 10 个单位。
示例:
输入: [2,1,5,6,2,3]输出: 10
单调栈:时间复杂度O(n) 空间复杂度O(n)
思路:先说说暴力解法,对于柱形图中的每个柱子,我们都可以以它的高度为面积的高度,向左右两边拓找出满足以当前柱子为中心能拓展出的最大面积;我们枚举所有柱子,从中找最大值就求出了柱形图中的最大面积。

再考虑改进改解法,暴力解法的时间复杂度局限在于对每个柱子都要重新找一遍左右边界。所以我们考虑维护一个单调递增的栈,在枚举的过程中能够记录任意一个柱形图的左右两边界,这样就不用每次都去找一遍了。 那么单调栈怎么维护呢,如果当前数相对栈顶递增,那么直接入栈;如果不满足,那么我们就对栈做多次出栈,直到剩余的栈元素和当前满足递增那么就对当前数入栈并继续枚举下一个数。
在这个过程中我们什么时候做求面积的操作呢?并且对于一个柱子它的左右边界又是如何被记录了的呢?
答:我们在出栈操作的同时做求面积操作,注意;出栈操作中被出栈的那个元素就是我们当前面积的中心柱子,左边界就是在栈中的一个元素,右边界就是当前等待被入栈的那个元素;具体原因不做赘述,画图可以很直观的看到上面结论成立。

class Solution {public int largestRectangleArea(int[] heights) {int n = heights.length;int maxArea = 0;Stack<Integer> stack = new Stack<>();int[] hs = new int[n + 2];//对原数组做个处理,两边各加一个0,用于处理单调递增数组,和数组中最小元素左右边界问题for (int i = 1; i < n + 1; i++){hs[i] = heights[i - 1];}for (int i = 0; i < n + 2; i++) {while (!stack.isEmpty() && hs[stack.peek()] > hs[i]) {int cur = stack.pop();maxArea = Math.max(maxArea, (i - stack.peek() - 1) * hs[cur]);}stack.push(i);}return maxArea;}}
树
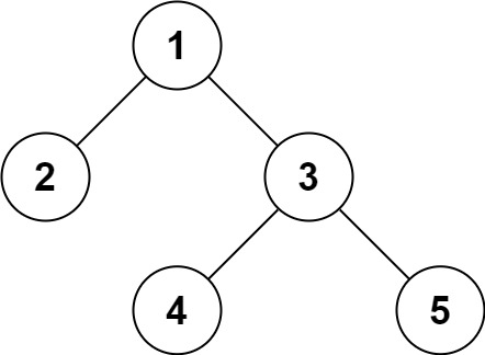
543. 二叉树的直径【后序遍历】
难度简单688
给定一棵二叉树,你需要计算它的直径长度。一棵二叉树的直径长度是任意两个结点路径长度中的最大值。这条路径可能穿过也可能不穿过根结点。
示例 :
给定二叉树
1/ \2 3/ \4 5
返回 3, 它的长度是路径 [4,2,1,3] 或者 [5,2,1,3]。
class Solution {//二叉树的后序遍历private int ans = 0;public int diameterOfBinaryTree(TreeNode root) {dfs(root);return ans-1;}public int dfs(TreeNode root){if(root == null) return 0;int l = dfs(root.left);int r = dfs(root.right);ans = Math.max((l + r + 1), ans);return Math.max(l, r)+1;}}
538. 把二叉搜索树转换为累加树【反向中序遍历】
难度中等515
给出二叉 搜索 树的根节点,该树的节点值各不相同,请你将其转换为累加树(Greater Sum Tree),使每个节点 node 的新值等于原树中大于或等于 node.val 的值之和。
提醒一下,二叉搜索树满足下列约束条件:
- 节点的左子树仅包含键 小于 节点键的节点。
- 节点的右子树仅包含键 大于 节点键的节点。
- 左右子树也必须是二叉搜索树。
注意:本题和 1038: https://leetcode-cn.com/problems/binary-search-tree-to-greater-sum-tree/ 相同
示例 1:

输入:[4,1,6,0,2,5,7,null,null,null,3,null,null,null,8]输出:[30,36,21,36,35,26,15,null,null,null,33,null,null,null,8]
class Solution {//二叉树的反向中序遍历private int sum = 0;public TreeNode convertBST(TreeNode root) {if(root != null){convertBST(root.right);root.val += sum;sum = root.val;convertBST(root.left);}return root;}}
617. 合并二叉树【DFS】
难度简单680
给定两个二叉树,想象当你将它们中的一个覆盖到另一个上时,两个二叉树的一些节点便会重叠。
你需要将他们合并为一个新的二叉树。合并的规则是如果两个节点重叠,那么将他们的值相加作为节点合并后的新值,否则不为 NULL 的节点将直接作为新二叉树的节点。
示例 1:
输入:Tree 1 Tree 21 2/ \ / \3 2 1 3/ \ \5 4 7输出:合并后的树:3/ \4 5/ \ \5 4 7
注意: 合并必须从两个树的根节点开始。
/*** Definition for a binary tree node.* public class TreeNode {* int val;* TreeNode left;* TreeNode right;* TreeNode() {}* TreeNode(int val) { this.val = val; }* TreeNode(int val, TreeNode left, TreeNode right) {* this.val = val;* this.left = left;* this.right = right;* }* }*/class Solution {//二叉树的D遍历//不破坏原二叉树的前提下合并public TreeNode mergeTrees(TreeNode root1, TreeNode root2) {if(root1 == null && root2 == null) return null;int v1 = 0, v2 = 0;TreeNode l1 = null, l2 = null, r1 = null, r2 = null;if(root1 != null) {v1 = root1.val;l1 = root1.left;r1 = root1.right;}if(root2 != null){v2 = root2.val;l2 = root2.left;r2 = root2.right;}TreeNode root = new TreeNode(v1 + v2);root.left = mergeTrees(l1, l2);root.right = mergeTrees(r1, r2);return root;}}
112. 路径总和【DFS】
难度简单571
给你二叉树的根节点 root 和一个表示目标和的整数 targetSum ,判断该树中是否存在 根节点到叶子节点 的路径,这条路径上所有节点值相加等于目标和 targetSum 。
叶子节点 是指没有子节点的节点。
示例 1:

输入:root = [5,4,8,11,null,13,4,7,2,null,null,null,1], targetSum = 22输出:true
class Solution {//回溯法: 深度优先遍历public boolean hasPathSum(TreeNode root, int targetSum) {return dfs(root, targetSum, 0);}public boolean dfs(TreeNode root, int targetSum, int sum){if(root == null) return false;sum = sum + root.val;if(root.left == null && root.right == null ) {return sum == targetSum ? true : false;}if(dfs(root.left, targetSum,sum)) return true;if(dfs(root.right, targetSum,sum)) return true;return false;}}
113. 路径总和 II【DFS】
难度中等472
给你二叉树的根节点 root 和一个整数目标和 targetSum ,找出所有 从根节点到叶子节点 路径总和等于给定目标和的路径。
叶子节点 是指没有子节点的节点。
示例 1:

输入:root = [5,4,8,11,null,13,4,7,2,null,null,5,1], targetSum = 22输出:[[5,4,11,2],[5,8,4,5]]
class Solution {//递归private List<List<Integer>> res = new LinkedList<>();private LinkedList<Integer> temp =new LinkedList<>();public List<List<Integer>> pathSum(TreeNode root, int sum) {recur(root, sum);return res;}private void recur(TreeNode root, int tar){if(root == null ) return ;temp.add(root.val);tar = tar - root.val;if(tar == 0 && root.left == null && root.right == null) res.add(new LinkedList(temp));recur(root.left, tar);recur(root.right, tar);temp.removeLast();}}
437. 路径总和 III【前缀和】
难度中等833
给定一个二叉树,它的每个结点都存放着一个整数值。
找出路径和等于给定数值的路径总数。
路径不需要从根节点开始,也不需要在叶子节点结束,但是路径方向必须是向下的(只能从父节点到子节点)。
二叉树不超过1000个节点,且节点数值范围是 [-1000000,1000000] 的整数。
示例:
root = [10,5,-3,3,2,null,11,3,-2,null,1], sum = 810/ \5 -3/ \ \3 2 11/ \ \3 -2 1返回 3。和等于 8 的路径有:1. 5 -> 32. 5 -> 2 -> 13. -3 -> 11
class Solution {//递归+前缀和:时间复杂度:O(n), 空间复杂度:O(n)//定义解释: 前缀和:指的是从根节点出发到达当前节点的路径中的所有节点的和,我们将前缀和存储在map中,key表示前缀和的值,value记录它值的个数//整体思路: 从根节点到达当前节点的这条路径中的满足路径和的子路径的个数为:map.get(curSum - target)private int target; //目标值private Map<Integer, Integer> perfixSum;//记录前缀和public int pathSum(TreeNode root, int targetSum) {target = targetSum;perfixSum = new HashMap<>();//某个节点的前缀和恰好为target时应该计数为1perfixSum.put(0, 1);return recur(root, 0);}private int recur(TreeNode node, int curSum){if(node == null) return 0;//当前节点的前缀和curSum += node.val;//先计算满足当前节点的路径个数int cur = perfixSum.getOrDefault(curSum - target, 0);//再记录当前节点的前缀和perfixSum.put(curSum, perfixSum.getOrDefault(curSum, 0) + 1);int left = recur(node.left, curSum);int right = recur(node.right, curSum);//当前节点计算完毕,恢复状态perfixSum.put(curSum, perfixSum.get(curSum) - 1);return cur + left + right;}}
动态规划
剑指 Offer 10- II. 青蛙跳台阶问题
难度简单148
一只青蛙一次可以跳上1级台阶,也可以跳上2级台阶。求该青蛙跳上一个 n 级的台阶总共有多少种跳法。
答案需要取模 1e9+7(1000000007),如计算初始结果为:1000000008,请返回 1。
示例 1:
输入:n = 2输出:2
示例 2:
输入:n = 7输出:21
示例 3:
输入:n = 0输出:1
思路
如果前一次跳的是1级台阶,那么前n-1级台阶,跳法是f(n-1)
如果前一次跳的是2级台阶,那么前n-2级台阶,跳法是f(n-2)
可以得出总跳法为: f(n) = f(n-1) + f(n-2)
由题意可得:没有台阶的时候f(0) = 1,只有一级台阶的时候 f(1) = 1
可以发现最终得出的是一个斐波那契数列:
| 1, (n=0)f(n) = | 1, (n=1)| f(n-1)+f(n-2) (n>1,n为整数)
//时间复杂度:O(n) 空间复杂度:O(n)class Solution {public int numWays(int n) {if(n == 0) return 1;int[] dp = new int[n + 1];dp[0] = 1;dp[1] = 1;for(int i = 2; i < n + 1; i++){dp[i] = (dp[i - 1] + dp[i - 2]) % 1000000007;}return dp[n];}}//空间优化 时间复杂度:O(1) 空间复杂度:O(n)class Solution {public int numWays(int n) {int a = 1, b = 1, sum;for(int i = 0; i < n; i++){sum = (a + b) % 1000000007;a = b;b = sum;}return a;}}
322. 零钱兑换
难度中等
给定不同面额的硬币 coins 和一个总金额 amount。编写一个函数来计算可以凑成总金额所需的最少的硬币个数。如果没有任何一种硬币组合能组成总金额,返回 -1。
你可以认为每种硬币的数量是无限的。
示例 1:
输入:coins = [1, 2, 5], amount = 11输出:3解释:11 = 5 + 5 + 1
示例 2:
输入:coins = [2], amount = 3输出:-1
示例 3:
输入:coins = [1], amount = 0输出:0
示例 4:
输入:coins = [1], amount = 1输出:1
示例 5:
输入:coins = [1], amount = 2输出:2
class Solution {//动态规划//状态:dp[i]表示凑成i所需的最少硬币个数//状态转移方程:dp[i] = min(dp[i], dp[i - coins[j]] + 1);public int coinChange(int[] coins, int amount) {int[] dp = new int[amount + 1];for(int i = 1; i <= amount; i++){dp[i] = amount + 1;//赋一个较大的初值for(int j = 0; j < coins.length; j++){if(coins[j] <= i){dp[i] = Math.min(dp[i], dp[i - coins[j]] + 1);}}}return dp[amount] > amount ? -1 : dp[amount];}}
279. 完全平方数
难度中等
给定正整数 n,找到若干个完全平方数(比如 1, 4, 9, 16, ...)使得它们的和等于 n。你需要让组成和的完全平方数的个数最少。
给你一个整数 n ,返回和为 n 的完全平方数的 最少数量 。
完全平方数 是一个整数,其值等于另一个整数的平方;换句话说,其值等于一个整数自乘的积。例如,1、4、9 和 16 都是完全平方数,而 3 和 11 不是。
示例 1:
输入:n = 12输出:3解释:12 = 4 + 4 + 4
示例 2:
输入:n = 13输出:2解释:13 = 4 + 9
class Solution {//动态规划:该问题与青蛙跳台阶问题,找零问题 属于同一种类型//状态:dp[i]表示获得数字i所需的最少完全平方数的数目//状态转移方程:dp[i] = min(dp[i], dp[i - j * j] + 1); 其中j属于从1到小于i的最大平方根public int numSquares(int n) {int[] dp = new int[n+1];for(int i = 1; i <= n; i++){dp[i] = i;//当前i的最坏结果是全由1组成,即它本身for(int j = 1; i - j*j>= 0; j++){dp[i] = Math.min(dp[i], dp[i - j*j] + 1);}}return dp[n];}}
300. 最长递增子序列
难度中等1533
给你一个整数数组 nums ,找到其中最长严格递增子序列的长度。
子序列是由数组派生而来的序列,删除(或不删除)数组中的元素而不改变其余元素的顺序。例如,[3,6,2,7] 是数组 [0,3,1,6,2,2,7] 的子序列。
示例 1:
输入:nums = [10,9,2,5,3,7,101,18]输出:4解释:最长递增子序列是 [2,3,7,101],因此长度为 4 。
动态规划解法:
class Solution {//动态规划:时间O(n*n) 空间O(n)//状态:dp[i] 表示以nums[i]结尾的最长递增子序列的长度(包括nums[i])//状态转移方程:dp[i] = Math.max(dp[j]+1, 1); [其中j属于(0,i-1),//还有一个先决条件是nums[i] > nums[j]]public int lengthOfLIS(int[] nums) {int[] dp = new int[nums.length];int maxLength = 0;for(int i = 0; i < nums.length; i++){//初始值,最坏为1dp[i] = 1;//状态转移:从0~i-1的dp[j]比较for(int j = 0; j < i; j++){if(nums[j] < nums[i]){dp[i] = Math.max(dp[j]+1, dp[i]);}}//更新最大值maxLength = Math.max(maxLength, dp[i]);}return maxLength;}}
312. 戳气球
难度困难699
有 n 个气球,编号为0 到 n - 1,每个气球上都标有一个数字,这些数字存在数组 nums 中。
现在要求你戳破所有的气球。戳破第 i 个气球,你可以获得 nums[i - 1] * nums[i] * nums[i + 1] 枚硬币。 这里的 i - 1 和 i + 1 代表和 i 相邻的两个气球的序号。如果 i - 1或 i + 1 超出了数组的边界,那么就当它是一个数字为 1 的气球。
求所能获得硬币的最大数量。
示例 1:
输入:nums = [3,1,5,8]输出:167解释:nums = [3,1,5,8] --> [3,5,8] --> [3,8] --> [8] --> []coins = 3*1*5 + 3*5*8 + 1*3*8 + 1*8*1 = 167
class Solution {//动态规划:时间O(n^3) 空间O(n^2)//状态:dp[i][j]表示戳破(i,j)这个开区间里面的所有气球所能获得的最大硬币数//状态转移方程:dp[i][j] = max( dp[i][k] + val[i]*val[k]*val[j] + dp[k][j] )//{其中k是(i,j)区间内部的任意数,我们从中选取使dp[i][j]最大的k,val是气球值}//整体思路:我们要求出当前区间的值dp[i][j] 之前先要获取dp[i][k]和dp[k][j],所以我们先需要求出(i,j)区间内所有dp[x][y]的值//{其中i <= x < y <= j}所以我们先从最小区间长度3开始,逐渐扩大区间;这样我们便能利用到前面已经求出的值来算当前值public int maxCoins(int[] nums) {int n = nums.length;int[] val = new int[n+2];//为了方便处理数组的两个边界,我们将数组扩大2int[][] dp = new int[n+2][n+2];//dp数组记录状态值dp[i][j]val[0] = val[n + 1] = 1; //边界值为1for(int i = 1; i < n + 1; i++){val[i] = nums[i-1];}//i,j分别表示区间左右边界,j的初始值为2是因为我们从最小区间(0,2)开始计算,此时dp[0][2]=dp[0][1]+x+dp[1][2]=0+x+0for(int j = 2; j < n + 2; j++){for(int i = j - 2; i >= 0; i--){for(int k = j - 1; k > i; k--){int sum = dp[i][k] + val[i]*val[k]*val[j] + dp[k][j];dp[i][j] = Math.max(dp[i][j], sum);}}}return dp[0][n+1];}}
10. 正则表达式匹配
难度困难2074
给你一个字符串 s 和一个字符规律 p,请你来实现一个支持 '.' 和 '*' 的正则表达式匹配。
'.'匹配任意单个字符'*'匹配零个或多个前面的那一个元素
所谓匹配,是要涵盖 整个 字符串 s的,而不是部分字符串。
示例 1:
输入:s = "aa" p = "a"输出:false解释:"a" 无法匹配 "aa" 整个字符串。
class Solution {//动态规划:时间:O(n*m) 空间:O(n*m), 以下思路画状态数组比较直观//状态:boolean dp[i][j] 表示 s 的前 i 个是否能被 p 的前 j 个匹配;//注意此处的描述,i,j 是个数不是索引值 即第i对应的字符是 s.charAt(i-1)//状态转移方程: dp[i-1][j-1] s[i] == p[j] || p[j] ='.'//结尾字符相等,那么当前结果由子问题dp[i-1][j-1]决定// dp[i][j] = true p[j] == '*' && dp[i][j-2] == true;//'*'直接将前面一个字符消除的情况// dp[i-1][j] p[j] == '*' && (s[i] == p[j-1] || p[j-1] == '.') //'*'前面的字符能和s[i]相等的情况// false 其他情况public boolean isMatch(String s, String p) {if(s == null || p == null) return false;int m = s.length(), n = p.length();boolean[][] dp = new boolean[m+1][n+1];//初始化dpdp[0][0] = true; //两个空字符串可以匹配for(int j = 2; j <= n; j+=2){//当s为空时if(p.charAt(j-1) == '*'){dp[0][j] = dp[0][j-2];}}for(int i = 1; i <= m; i++){for(int j = 1; j <= n; j++){if(s.charAt(i-1) == p.charAt(j-1) || p.charAt(j-1) == '.'){dp[i][j] = dp[i-1][j-1];}else if(p.charAt(j-1) == '*'){if(dp[i][j-2]){dp[i][j] = true;}else if(s.charAt(i-1) == p.charAt(j-2) || p.charAt(j-2) == '.'){dp[i][j] = dp[i-1][j];}}}}return dp[m][n];}}
72. 编辑距离
难度困难1579
给你两个单词 word1 和 word2,请你计算出将 word1 转换成 word2 所使用的最少操作数 。
你可以对一个单词进行如下三种操作:
- 插入一个字符
- 删除一个字符
- 替换一个字符
示例 1:
输入:word1 = "horse", word2 = "ros"输出:3解释:horse -> rorse (将 'h' 替换为 'r')rorse -> rose (删除 'r')rose -> ros (删除 'e')
class Solution {//动态规划:类似于正则表达式匹配//状态:dp[i][j] 表示Word1和Word2的前i,j个字符组成的子字符串匹配需要的最少操作//状态转移方程: min(dp[i-1][j-1]-1, dp[i][j-1], dp[i-1][j])+1 w1[i] == w2[j]// dp[i][j] =// min(dp[i-1][j-1], dp[i][j-1], dp[i-1][j])+1 w1[i] != w2[j]//思路说明:i,j子字符串匹配时我们对于当前两个结尾的字符有替换、删除、插入三种选择;由于插入操作可以拆解为删除和更新的组合,所以可以不考虑public int minDistance(String word1, String word2) {int m = word1.length();int n = word2.length();if(n*m == 0) return n + m;int[][] dp = new int[m+1][n+1];//初始化for(int i = 0; i <= m; i++){dp[i][0] = i;}for(int i = 0; i <=n; i++){dp[0][i] = i;}for(int i = 1; i <= m; i++){for(int j = 1; j <= n; j++){int left = dp[i][j-1];int down = dp[i-1][j];int left_down = dp[i-1][j-1];if(word1.charAt(i-1) == word2.charAt(j-1)){left_down--;}dp[i][j] = Math.min(Math.min(left, down), left_down)+1;}}return dp[m][n];}}
01背包问题
问题描述:
给定 n 件物品,物品的重量为 w[i],物品的价值为 c[i]。现挑选物品放入背包中,假定背包能承受的最大重量为 V,问应该如何选择装入背包中的物品,使得装入背包中物品的总价值最大?
详细解答看这篇文章。
416. 分割等和子集
难度中等755
给你一个 只包含正整数 的 非空 数组 nums 。请你判断是否可以将这个数组分割成两个子集,使得两个子集的元素和相等。
示例 1:
输入:nums = [1,5,11,5]输出:true解释:数组可以分割成 [1, 5, 5] 和 [11] 。
class Solution {//动态规划:背包问题的变式//背包问题是从有限个带有重量和价值的商品中选出几个,使容量有限的背包装下的商品的价值最大//在此题目中的思路可以变换为,判断从有限的带有重量的商品中是否可以选出几个商品,使容量(target)有限的背包恰好装满//状态: dp[i][j] 表示对于从数组前(0,i)中选出任意个数字是否刚好能够等于j,初始值为false; i对应nums[i],表示商品, j表示当前背包的容量//状态转移方程:dp[i][j] = dp[i-1][j](不取nums[i])) or dp[i-1][j-nums[i]](取nums[i]);//为了空间优化我们只用dp[j]来记录状态,i值手动调节public boolean canPartition(int[] nums) {int n = nums.length;int sum = 0;//求和for(int num : nums){sum += num;}//判奇,奇数不满足对半分if((sum & 1) == 1) return false;//取targetint target = sum / 2;//定义状态数组boolean[] dp = new boolean[target + 1];//将背包容量为0时的状态定义为true,虽然不满组状态定义,但是方便了列状态转移方程dp[0] = true;//先取第一个商品nums[0],做个初始化if(nums[0] <= target) dp[nums[0]] = true;for(int i = 1; i < n; i++){if(dp[target]) return true;for(int j = target; j >= nums[i]; j--){dp[j] = dp[j] || dp[j - nums[i]];}}return dp[target];}}
494. 目标和
难度中等650
给定一个非负整数数组,a1, a2, …, an, 和一个目标数,S。现在你有两个符号 + 和 -。对于数组中的任意一个整数,你都可以从 + 或 -中选择一个符号添加在前面。
返回可以使最终数组和为目标数 S 的所有添加符号的方法数。
示例:
输入:nums: [1, 1, 1, 1, 1], S: 3输出:5解释:-1+1+1+1+1 = 3+1-1+1+1+1 = 3+1+1-1+1+1 = 3+1+1+1-1+1 = 3+1+1+1+1-1 = 3一共有5种方法让最终目标和为3。
class Solution {//动态规划:01背包问题//状态:dp[i][j] 保存满足目标和为j的方法数//说明:将nums[0]~nums[i]这部分数做个求和,其中每个num数都有加和减两种选择,我们在dp[i][j]中保存和sum = j 的方法数//状态转移方程:dp[i][j] = dp[i-1][j-nums[i]] + dp[i-1][j+nums[i]]//dp[i-1][j-nums[i]]是选择加上当前数,dp[i-1][j+nums[i]]是选择减掉当前数nums[i]public int findTargetSumWays(int[] nums, int target) {int sum = 0;//数组求和最大值for(int num : nums) sum += num;if(Math.abs(target) > sum) return 0;int[] dp = new int[2*sum+1];//初始化状态if(nums[0] <= sum){dp[sum - nums[0]] += 1;//减当前数dp[sum + nums[0]] += 1;//加当前数}for(int i = 1; i < nums.length; i++){int[] dp_temp = new int[2*sum+1] ;//for(int j = 0; j <= sum*2; j++){if(j-nums[i] >= 0){dp_temp[j] += dp[j-nums[i]];}if(j+nums[i] <= sum*2){dp_temp[j] += dp[j+nums[i]];}}dp = dp_temp;}return dp[sum + target];}}
双指针
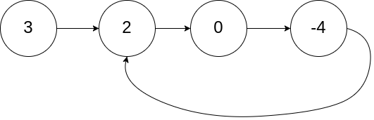
141. 环形链表
难度简单1028
给定一个链表,判断链表中是否有环。
如果链表中有某个节点,可以通过连续跟踪 next 指针再次到达,则链表中存在环。 为了表示给定链表中的环,我们使用整数 pos 来表示链表尾连接到链表中的位置(索引从 0 开始)。 如果 pos 是 -1,则在该链表中没有环。注意:pos 不作为参数进行传递,仅仅是为了标识链表的实际情况。
如果链表中存在环,则返回 true 。 否则,返回 false 。
进阶:
你能用 O(1)(即,常量)内存解决此问题吗?
示例 1:

输入:head = [3,2,0,-4], pos = 1输出:true解释:链表中有一个环,其尾部连接到第二个节点。
/*** Definition for singly-linked list.* class ListNode {* int val;* ListNode next;* ListNode(int x) {* val = x;* next = null;* }* }*/public class Solution {//快慢指针:龟兔赛跑 复杂度:时间O(n) 空间:O(1)//思路:快指针最终会追上慢指针并且此时的路程关系为:f = 2spublic boolean hasCycle(ListNode head) {if(head == null || head.next == null){return false;}ListNode fast = head, low = head;while(true){if(fast.next == null || fast.next.next == null) return false;fast = fast.next.next;low = low.next;if(fast == low) break;}return true;}}
142. 环形链表 II
难度中等959
给定一个链表,返回链表开始入环的第一个节点。 如果链表无环,则返回 null。
为了表示给定链表中的环,我们使用整数 pos 来表示链表尾连接到链表中的位置(索引从 0 开始)。 如果 pos 是 -1,则在该链表中没有环。注意,pos 仅仅是用于标识环的情况,并不会作为参数传递到函数中。
说明:不允许修改给定的链表。
进阶:
- 你是否可以使用
O(1)空间解决此题?
示例 1:

输入:head = [3,2,0,-4], pos = 1输出:返回索引为 1 的链表节点解释:链表中有一个环,其尾部连接到第二个节点。
/*** Definition for singly-linked list.* class ListNode {* int val;* ListNode next;* ListNode(int x) {* val = x;* next = null;* }* }*/public class Solution {//快慢指针+数学推导 复杂度:时间O(n) 空间:O(1)//https://leetcode-cn.com/problems/linked-list-cycle-ii/solution/linked-list-cycle-ii-kuai- man-zhi-zhen-shuang-zhi-///简要说明:fast和slow相遇时路程:f = 2s(f总路程比s多一倍) 且 f - s = nb(f比s多走了n圈环路程b)// 由以上两式联立有: f = 2nb, s = nb//观察可知路程 a + nb 和 a 指向的是环的入口即第一个节点//a表示非环部分的路程, b表示环一圈的路程//所以算法的思路是:先找fast和low相遇的节点,找到后从此节点出发同时从链表头结点出发分别同时走过a后他们自然会相遇,相遇节点便是结果public ListNode detectCycle(ListNode head) {if(head == null || head.next == null) return null;ListNode fast = head, low = head;while(true){if(fast.next == null || fast.next.next == null) return null;fast = fast.next.next;low = low.next;if(fast == low) break;}fast = head;while(fast != low){fast = fast.next;low = low.next;}return low;}}
287. 寻找重复数【模拟环形链表】
难度中等1173
给定一个包含 n + 1 个整数的数组 nums ,其数字都在 1 到 n 之间(包括 1 和 n),可知至少存在一个重复的整数。
假设 nums 只有 一个重复的整数 ,找出 这个重复的数 。
示例 1:
输入:nums = [1,3,4,2,2]输出:2
示例 2:
输入:nums = [3,1,3,4,2]输出:3
如果数组中有重复的数,以数组 [1,3,4,2,2] 为例,我们将数组下标 n 和数 nums[n] 建立一个映射关系 ,
其映射关系 n->f(n) 为:
0->1
1->3
2->4
3->2
4->2
我们从下标为 0 出发,根据 f(n)f(n) 计算出一个值,以这个值为新的下标,再用这个函数计算,以此类推产生一个类似链表一样的序列。
0->1->3->2->4->2->4->2->……
这里 2->4 是一个循环,那么这个链表可以抽象为下图:

从理论上讲,数组中如果有重复的数,那么就会产生多对一的映射,这样,形成的链表就一定会有环路了,
class Solution {//本题可以用二分查找,位图,和模拟链表的方式来做//在此用最方便的一种解法:模拟环形链表//复杂度:时间O(n) 空间:O(1)public int findDuplicate(int[] nums) {int fast = 0, low = 0;do{fast = nums[nums[fast]];low = nums[low];}while(fast != low);fast = 0;while(fast != low){fast = nums[fast];low = nums[low];}return fast;}}
二分查找
在平常我们经常见到的查找算法有:1.线性查找 2. 二分查找 3.插值查找 4. 黄金分割查找(斐波那契查找)
其中又以二分查找最为经典和重要,本文将带你简单了解一下二分查找及一些二分查找的变式算法题。
/*** 二分查找算法的练习:* 题目:对于一个大小为 n 的有序无重复值的数组nums, 给定一个target值,* 请你在nums数组中查找该target的位置并返回,如果数组中不存在该值则返回-1。* 示例:输入: [1,2,5,6,8], 2 输出:1*/public int binarySearch(int[] nums, int target){//左右指针,指向左右边界int l = 0, r = nums.length - 1;//每次循环的过程中,先取区间的中间值,再判断中间值与目标值之间的大小关系//根据大小关系决定区间向那一边缩小,最终直到找到目标值返回或者区间缩小的为0后退出while(l <= r){int mid = l + (r - l) >> 2;//此种写法能避免大数溢出, 位运算优于除法if(nums[mid] < target){l = mid + 1;}else if(nums[mid] > target){r = mid -1;}else{return mid;}}return -1;}
剑指 Offer 53 - II. 0~n-1中缺失的数字
题目:一个长度为n-1的递增排序数组中的所有数字都是唯一的,并且每个数字都在范围0~n-1之内。在范围0~n-1内的n个数字中有且只有一个数字不在该数组中,请找出这个数字。
示例 1:
输入: [0,1,3]
输出: 2
class Solution {//思想:二分查找算法的变式//此题与二分查找非常类似但又有所不同,二分查找是给定一个有序的数组和目标值让我们从中查找目标值的位置//此题给了我们一个特殊的有序数组——范围0~n-1内的n个数字中有且只有一个数字不在该数组中,让我们从中找缺 失的数字,它与二分唯一的区别就是范围缩小的条件。public int missingNumber(int[] nums) {int i = 0, j = nums.length - 1;while(i <= j) {int m = i + (j - i )/ 2;if(nums[m] == m) i = m + 1;else j = m - 1;}return i;}}
后面两道有难度,初学的兄弟酌情选择
剑指 Offer 11. 旋转数组的最小数字
把一个数组最开始的若干个元素搬到数组的末尾,我们称之为数组的旋转。输入一个递增排序的数组的一个旋转,输出旋转数组的最小元素。例如,数组 [3,4,5,1,2] 为 [1,2,3,4,5] 的一个旋转,该数组的最小值为1。
示例 1:
输入:[3,4,5,1,2]
输出:1
class Solution {public int minArray(int[] numbers) {int left = 0;int right = numbers.length-1;while(left < right){int mid = left + (right - left)/2;if(numbers[right] > numbers[mid]){right = mid;}else if(numbers[right] < numbers[mid]){left = mid + 1;}else{right--;}}return numbers[left];}}
34. 在排序数组中查找元素的第一个和最后一个位置
给定一个按照升序排列的整数数组 nums,和一个目标值 target。找出给定目标值在数组中的开始位置和结束位置。
如果数组中不存在目标值 target,返回 [-1, -1]。
进阶:
你可以设计并实现时间复杂度为 O(log n) 的算法解决此问题吗?
示例 1:
输入:nums = [5,7,7,8,8,10], target = 8
输出:[3,4]
class Solution {//二分法的变式public int[] searchRange(int[] nums, int target) {int[] res = new int[2];res[0] = findBoundary(nums, 0, nums.length-1, target, 1);//1表示寻找左边界res[1] = findBoundary(nums, 0, nums.length-1, target, 2);//2表示寻找右边界return res;}public int findBoundary(int[] nums, int l , int r, int target, int flag){while(l <= r){int mid = l + (r-l)/2;//找到目标值后根据需要的边界来缩小区间if(nums[mid] == target){if(flag == 1){r = mid;if(nums[l] == target) return l;}else {l = mid;if(nums[r] == target) return r;else r--;}}else if(nums[mid] < target){l = mid + 1;}else if(target < nums[mid]){r = mid - 1;}}return -1;}}
设计题
297. 二叉树的序列化与反序列化
难度困难547
序列化是将一个数据结构或者对象转换为连续的比特位的操作,进而可以将转换后的数据存储在一个文件或者内存中,同时也可以通过网络传输到另一个计算机环境,采取相反方式重构得到原数据。
请设计一个算法来实现二叉树的序列化与反序列化。这里不限定你的序列 / 反序列化算法执行逻辑,你只需要保证一个二叉树可以被序列化为一个字符串并且将这个字符串反序列化为原始的树结构。
示例 1:

输入:root = [1,2,3,null,null,4,5]输出:[1,2,3,null,null,4,5]
/*** Definition for a binary tree node.* public class TreeNode {* int val;* TreeNode left;* TreeNode right;* TreeNode(int x) { val = x; }* }*///前序遍历:为了方便反序列化采用前序遍历//在此也可以考虑使用层序广度遍历//复杂度:时间:O(n) 空间:O(n)public class Codec {// Encodes a tree to a single string.public String serialize(TreeNode root) {StringBuilder data = new StringBuilder();per(root, data);return data.toString();}//前序遍历生成字符串public void per(TreeNode root, StringBuilder s){if(root == null){s.append("x,");return ;}s.append(root.val);s.append(",");per(root.left, s);per(root.right, s);}// Decodes your encoded data to tree.int index ;public TreeNode deserialize(String data) {String[] nodes = data.split(",");index = 0;return reBulidTree(nodes);}//递归重建二叉树public TreeNode reBulidTree(String[] nodes){if(nodes[index].equals("x")) return null;TreeNode node = new TreeNode(Integer.parseInt(nodes[index]));++index;node.left = reBulidTree(nodes);++index;node.right = reBulidTree(nodes);return node;}}// Your Codec object will be instantiated and called as such:// Codec ser = new Codec();// Codec deser = new Codec();// TreeNode ans = deser.deserialize(ser.serialize(root));
5736. 单线程 CPU
难度中等13
给你一个二维数组 tasks ,用于表示 n 项从 0 到 n - 1 编号的任务。其中 tasks[i] = [enqueueTimei, processingTimei] 意味着第 i 项任务将会于 enqueueTimei 时进入任务队列,需要 processingTimei 的时长完成执行。
现有一个单线程 CPU ,同一时间只能执行 最多一项 任务,该 CPU 将会按照下述方式运行:
- 如果 CPU 空闲,且任务队列中没有需要执行的任务,则 CPU 保持空闲状态。
- 如果 CPU 空闲,但任务队列中有需要执行的任务,则 CPU 将会选择 执行时间最短 的任务开始执行。如果多个任务具有同样的最短执行时间,则选择下标最小的任务开始执行。
- 一旦某项任务开始执行,CPU 在 执行完整个任务 前都不会停止。
- CPU 可以在完成一项任务后,立即开始执行一项新任务。
返回 CPU 处理任务的顺序。
示例 1:
输入:tasks = [[1,2],[2,4],[3,2],[4,1]]输出:[0,2,3,1]
class Solution {//自定义任务类,避免了数组排序后任务id丢失的麻烦class Task implements Comparable<Task>{//任务序号int id = 0;//入队时间int enqueueTimei;//执行用时int processingTimei;public Task(int id, int enqueueTimei, int processingTimei){this.id = id;this.enqueueTimei = enqueueTimei;this.processingTimei = processingTimei;}@Overridepublic int compareTo(Task o) {return this.enqueueTimei - o.enqueueTimei;}}public int[] getOrder(int[][] tasks) {int[] order = new int[tasks.length];//结果int index = 0;//结果数组的索引//使用优先队列定义执行队列Queue<Task> extute = new PriorityQueue<Task>(new Comparator<Task>() {@Overridepublic int compare(Task a, Task b) {if(a.processingTimei != b.processingTimei){return a.processingTimei - b.processingTimei;}else{return a.id - b.id;}}});//任务放入任务队Queue<Task> tasksQueue = new PriorityQueue<>();for(int i = 0; i < tasks.length; i++){tasksQueue.add(new Task(i, tasks[i][0], tasks[i][1]));}//cpu时间long time = 0;while(!tasksQueue.isEmpty() || !extute.isEmpty()){//将到达入队时间的任务都放入执行队列while(!tasksQueue.isEmpty() && tasksQueue.peek().enqueueTimei <= time){extute.add(tasksQueue.poll());}//执行队列取出一个任务执行if(!extute.isEmpty()){Task task = extute.poll();order[index++] = task.id;time += task.processingTimei;}else{//这一步很重要不然会超时,执行队列为空时CPU时间直接跳到任务队列中最先开始执行的任务的入队时间time = tasksQueue.peek().enqueueTimei;}}return order;}}
括号问题
20. 有效的括号
难度简单2334
给定一个只包括 '(',')','{','}','[',']' 的字符串 s ,判断字符串是否有效。
有效字符串需满足:
- 左括号必须用相同类型的右括号闭合。
- 左括号必须以正确的顺序闭合。
示例 1:
输入:s = "()"输出:true
class Solution {//辅助栈:时间复杂度O(n) 空间复杂度O(n)//根据左右括号匹配的特殊性可以借助一个辅助栈来判断//遇到左括号就入栈; 遇到右括号先判断栈是否为空,如果是则说明先出现了右括号则直接返回,如果否则尝试与栈顶括号进行抵消,如果能抵消则表示括号有效并继续,如果不能直接退出,括号无效public boolean isValid(String s) {//奇数一定不满足if((s.length()&1) == 1) return false;char[] str = s.toCharArray();Stack<Character> stack = new Stack<Character>();for(char c : str){//遇到左括号一律入栈,入右括号是为了方便进行抵消if(c == '('){stack.push(')');}else if(c == '['){stack.push(']');}else if(c == '{'){stack.push('}');//遇到右括号就尝试进行抵消,不能抵消直接退出}else if(stack.isEmpty() || c != stack.pop()){return false;}}//栈为空,说明整个字符串中左右括号完美抵消return stack.isEmpty();}}
22. 括号生成
难度中等1726
数字 n 代表生成括号的对数,请你设计一个函数,用于能够生成所有可能的并且 有效的 括号组合。
示例 1:
输入:n = 3输出:["((()))","(()())","(())()","()(())","()()()"]
class Solution {//枚举所有可能:// 将问题抽象成二叉树遍历问题 + 剪枝{二叉树向左走表示添加左括号,向右走表示添加右括号,再根据括号有效的条件剪枝,最终遍历这样一颗树从根节点到叶子节点的路径就是一条解}public List<String> generateParenthesis(int n) {List<String> res = new LinkedList<>();dfs(n, "", res, 0, 0);return res;}// n 是括号数量限制, path代表一种解法, res 是结果集, open左括号数, close右括号数public void dfs(int n, String path, List<String> res, int open, int close){//左括号数量最多为n, 右括号数量不能大于左括号否则生成的括号无效,if(open > n || close > open) return;//长度达到限制就退出if(path.length() == 2*n){res.add(path);return;}dfs(n, path+"(", res, open+1, close);dfs(n, path+")", res, open, close+1);}}
301. 删除无效的括号
难度困难418
给你一个由若干括号和字母组成的字符串 s ,删除最小数量的无效括号,使得输入的字符串有效。
返回所有可能的结果。答案可以按 任意顺序 返回。
示例 1:
输入: "()())()"输出: ["()()()", "(())()"]
//dfs//总体思路:先遍历一遍字符串判断出需要删除左括号,右括号的数量//然后对字符串进行dfs,对于每一个括号我们有两个选择:删除它,保留它//如何决定删除还是保留这个括号呢?条件一:当前需要删除的左右括号数量还未达到吗,// 条件二: 删除这个括号后满足括号有效吗(仅需要满足目前左括号数量不小于右括号即可)//教训总结:++操作一定要慎用,尤其在递归中。 ++i等价于i = i+1,而不是 i+1public class Solution {private int len;private char[] charArray;private Set<String> validExpressions = new HashSet<>();public List<String> removeInvalidParentheses(String s) {this.len = s.length();this.charArray = s.toCharArray();// 第 1 步:遍历一次,计算多余的左右括号int leftRemove = 0;int rightRemove = 0;for (int i = 0; i < len; i++) {if (charArray[i] == '(') {leftRemove++;} else if (charArray[i] == ')') {// 遇到右括号的时候,须要根据已经存在的左括号数量决定if (leftRemove == 0) {rightRemove++;}if (leftRemove > 0) {// 关键:一个右括号出现可以抵销之前遇到的左括号leftRemove--;}}}// 第 2 步:回溯算法,尝试每一种可能的删除操作StringBuilder path = new StringBuilder();dfs(0, 0, 0, leftRemove, rightRemove, path);return new ArrayList<>(this.validExpressions);}/*** @param index 当前遍历到的下标* @param leftCount 已经遍历到的左括号的个数* @param rightCount 已经遍历到的右括号的个数* @param leftRemove 最少应该删除的左括号的个数* @param rightRemove 最少应该删除的右括号的个数* @param path 一个可能的结果*/private void dfs(int index, int leftCount, int rightCount, int leftRemove, int rightRemove, StringBuilder path) {if (index == len) {if (leftRemove == 0 && rightRemove == 0) {validExpressions.add(path.toString());}return;}char character = charArray[index];// 可能的操作 1:删除当前遍历到的字符if (character == '(' && leftRemove > 0) {// 由于 leftRemove > 0,并且当前遇到的是左括号,因此可以尝试删除当前遇到的左括号dfs(index + 1, leftCount, rightCount, leftRemove - 1, rightRemove, path);}if (character == ')' && rightRemove > 0) {// 由于 rightRemove > 0,并且当前遇到的是右括号,因此可以尝试删除当前遇到的右括号dfs(index + 1, leftCount, rightCount, leftRemove, rightRemove - 1, path);}// 可能的操作 2:保留当前遍历到的字符path.append(character);if (character != '(' && character != ')') {// 如果不是括号,继续深度优先遍历dfs(index + 1, leftCount, rightCount, leftRemove, rightRemove, path);} else if (character == '(') {// 考虑左括号dfs(index + 1, leftCount + 1, rightCount, leftRemove, rightRemove, path);} else if (rightCount < leftCount) {// 考虑右括号dfs(index + 1, leftCount, rightCount + 1, leftRemove, rightRemove, path);}path.deleteCharAt(path.length() - 1);}}
位运算
| 含义 | Pascal语言 | C语言 | Java |
|---|---|---|---|
| 按位与 | a and b | a & b | a & b |
| 按位或 | a or b | a | b | a | b |
| 按位异或 | a xor b | a ^ b | a ^ b |
| 按位取反 | not a | ~a | ~a |
| 左移 | a shl b | a | a |
| 带符号右移 | a shr b | a >> b | a >> b |
| 无符号右移 | / | / | a>>> b |
<< :左移运算符,n<<1相当于 n*2
:右移运算符,n>>1相等于n/2
:无符号右移
int a=-1;
-1的32进制位:
源码 : 0000 0000 0000 0000 0000 0000 0000 0001
反码 : 1111 1111 1111 1111 1111 1111 1111 1110
补码 : 1111 1111 1111 1111 1111 1111 1111 1111 (在反码基础上+1)
a<<2: 1111 1111 1111 1111 1111 1111 1111 1100
a>>2: 1111 1111 1111 1111 1111 1111 1111 1111 (右移两位,左边高位再补两个1,所以看着没什么变化)
a>>>2: 0011 1111 1111 1111 1111 1111 1111 1111 (无符号右移跟上个比起来就是高位不补1)
338. 比特位计数
难度中等711
给定一个非负整数 num。对于 0 ≤ i ≤ num 范围中的每个数字 i ,计算其二进制数中的 1 的数目并将它们作为数组返回。
示例 1:
输入: 2输出: [0,1,1]
class Solution {//位用算 + 动态规划 :时间复杂度 O(n) 空间复杂度:O(1)//状态:dp[i]表示数字i的比特位1的个数//状态转移方程:dp[i] = i是奇数 ? dp[i-1]+1 : dp[i>>1];//转移方程推导: 奇数的比特位1的个数等于它的前一个数字比特位1的个数加1,//偶数的比特位1的个数和它向右移1位{等价于除2}的数的比特位1的个数一致;//举例:[十进制]:二进制 [0]:0 , [1]:1, [2]:10, [3]:11, [4]100 ...观察易得以上结论public int[] countBits(int num) {int[] dp = new int[num + 1];for(int i = 1 ; i <= num; i++){dp[i] = (i & 1) == 1 ? dp[i - 1] + 1 : dp[i >> 1];}return dp;}}
461. 汉明距离【布赖恩·克尼根算法】
难度简单398
两个整数之间的汉明距离指的是这两个数字对应二进制位不同的位置的数目。
给出两个整数 x 和 y,计算它们之间的汉明距离。
注意:
0 ≤ x, y < 2^ 31.
示例:
输入: x = 1, y = 4输出: 2解释:1 (0 0 0 1)4 (0 1 0 0)↑ ↑上面的箭头指出了对应二进制位不同的位置。
- 布赖恩·克尼根算法
我们简单的思路是对x,y 两个数做异或运算,然后向右是逐位移动,逐位比较边缘位置是否为 1。
寻找一种更快的方法找出等于 1 的位数。是否可以像人类直观的计数比特为 1 的位数,跳过两个 1 之间的 0。例如:10001000。
上面例子中,遇到最右边的 1 后,如果可以跳过中间的 0,直接跳到下一个 1,效率会高很多。
这是布赖恩·克尼根位计数算法的基本思想。该算法使用特定比特位和算术运算移除等于 1 的最右比特位。
当我们在 number 和 number-1 上做 AND 位运算时,原数字 number 的最右边等于 1 的比特会被移除。

class Solution {//位运算:布赖恩·克尼根算法public int hammingDistance(int x, int y) {int a = x ^ y;int ans = 0;while(a != 0){ans ++;a = a & (a -1);//会移除a的最右边的1}return ans;}}
数学
621. 任务调度器
难度中等635
给你一个用字符数组 tasks 表示的 CPU 需要执行的任务列表。其中每个字母表示一种不同种类的任务。任务可以以任意顺序执行,并且每个任务都可以在 1 个单位时间内执行完。在任何一个单位时间,CPU 可以完成一个任务,或者处于待命状态。
然而,两个 相同种类 的任务之间必须有长度为整数 n 的冷却时间,因此至少有连续 n 个单位时间内 CPU 在执行不同的任务,或者在待命状态。
你需要计算完成所有任务所需要的 最短时间 。
示例 1:
输入:tasks = ["A","A","A","B","B","B"], n = 2输出:8解释:A -> B -> (待命) -> A -> B -> (待命) -> A -> B在本示例中,两个相同类型任务之间必须间隔长度为 n = 2 的冷却时间,而执行一个任务只需要一个单位时间,所以中间出现了(待命)状态。
桶思想

class Solution {//推公式public int leastInterval(char[] tasks, int n) {int[] temp = new int[26];int countMaxTask = 0;int maxTask=0;for(char c:tasks){temp[c-'A']++;maxTask = Math.max(temp[c-'A'],maxTask);}for(int t : temp){if(t == maxTask){countMaxTask++;}}return Math.max(tasks.length,(maxTask-1)*(n+1)+countMaxTask);}}
