前面我们分别讲了Map接口的两个实现类HashMap和LinkedHashMap,本章我们讲一下Map接口另一个重要的实现类TreeMap,TreeMap或许不如HashMap那么常用,但存在即合理,它也有自己的应用场景,TreeMap可以实现元素的自动排序。
一. TreeMap概述
- TreeMap存储K-V键值对,通过红黑树(R-B tree)实现;
- TreeMap继承了NavigableMap接口,NavigableMap接口继承了SortedMap接口,可支持一系列的导航定位以及导航操作的方法,当然只是提供了接口,需要TreeMap自己去实现;
- TreeMap实现了Cloneable接口,可被克隆,实现了Serializable接口,可序列化;
TreeMap因为是通过红黑树实现,红黑树结构天然支持排序,默认情况下通过Key值的自然顺序进行排序;
二. 红黑树回顾
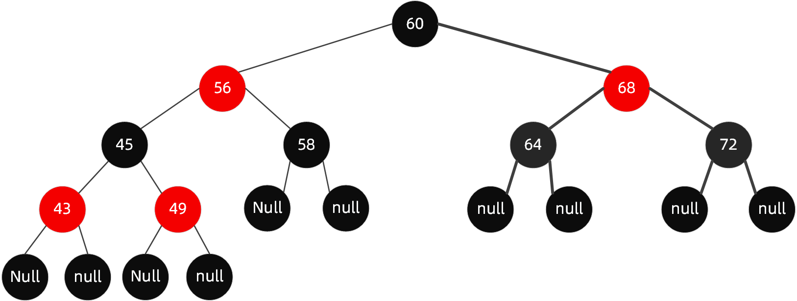
因为TreeMap的存储结构是红黑树,我们回顾一下红黑树的特点以及基本操作,红黑树的原理可参考关于红黑树(R-B tree)原理,看这篇如何。下图为典型的红黑树:

红黑树规则特点:节点分为红色或者黑色;
- 根节点必为黑色;
- 叶子节点都为黑色,且为null;
- 连接红色节点的两个子节点都为黑色(红黑树不会出现相邻的红色节点);
- 从任意节点出发,到其每个叶子节点的路径中包含相同数量的黑色节点;
- 新加入到红黑树的节点为红色节点;
红黑树自平衡基本操作:
- 变色:在不违反上述红黑树规则特点情况下,将红黑树某个node节点颜色由红变黑,或者由黑变红;
- 左旋:逆时针旋转两个节点,让一个节点被其右子节点取代,而该节点成为右子节点的左子节点
- 右旋:顺时针旋转两个节点,让一个节点被其左子节点取代,而该节点成为左子节点的右子节点
三. TreeMap构造
我们先看一下TreeMap中主要的成员变量
上面的主要成员变量根节点root是Entry类的实体,我们来看一下Entry类的源码/*** 我们前面提到TreeMap是可以自动排序的,默认情况下comparator为null,这个时候按照key的自然顺序进行排* 序,然而并不是所有情况下都可以直接使用key的自然顺序,有时候我们想让Map的自动排序按照我们自己的规则,* 这个时候你就需要传递Comparator的实现类*/private final Comparator<? super K> comparator;/*** TreeMap的存储结构既然是红黑树,那么必然会有唯一的根节点。*/private transient Entry<K,V> root;/*** Map中key-val对的数量,也即是红黑树中节点Entry的数量*/private transient int size = 0;/*** 红黑树结构的调整次数*/private transient int modCount = 0;
Entry静态内部类实现了Map的内部接口Entry,提供了红黑树存储结构的java实现,通过left属性可以建立左子树,通过right属性可以建立右子树,通过parent可以往上找到父节点。static final class Entry<K,V> implements Map.Entry<K,V> {//key,val是存储的原始数据K key;V value;//定义了节点的左孩子Entry<K,V> left;//定义了节点的右孩子Entry<K,V> right;//通过该节点可以反过来往上找到自己的父亲Entry<K,V> parent;//默认情况下为黑色节点,可调整boolean color = BLACK;/*** 构造器*/Entry(K key, V value, Entry<K,V> parent) {this.key = key;this.value = value;this.parent = parent;}/*** 获取节点的key值*/public K getKey() {return key;}/*** 获取节点的value值*/public V getValue() {return value;}/*** 用新值替换当前值,并返回当前值*/public V setValue(V value) {V oldValue = this.value;this.value = value;return oldValue;}public boolean equals(Object o) {if (!(o instanceof Map.Entry))return false;Map.Entry<?,?> e = (Map.Entry<?,?>)o;return valEquals(key,e.getKey()) && valEquals(value,e.getValue());}public int hashCode() {int keyHash = (key==null ? 0 : key.hashCode());int valueHash = (value==null ? 0 : value.hashCode());return keyHash ^ valueHash;}public String toString() {return key + "=" + value;}}
大体的实现结构图如下:
TreeMap构造函数://默认构造函数,按照key的自然顺序排列public TreeMap() {comparator = null;}//传递Comparator具体实现,按照该实现规则进行排序public TreeMap(Comparator<? super K> comparator) {this.comparator = comparator;}//传递一个map实体构建TreeMap,按照默认规则排序public TreeMap(Map<? extends K, ? extends V> m) {comparator = null;putAll(m);}//传递一个map实体构建TreeMap,按照传递的map的排序规则进行排序public TreeMap(SortedMap<K, ? extends V> m) {comparator = m.comparator();try {buildFromSorted(m.size(), m.entrySet().iterator(), null, null);} catch (java.io.IOException cannotHappen) {} catch (ClassNotFoundException cannotHappen) {}}
四. put方法
put方法为Map的核心方法,TreeMap的put方法大概流程如下:
我们来分析一下源码
put方法源码中通过fixAfterInsertion(e)方法来进行自平衡处理,我们回顾一下插入时自平衡调整的逻辑,下表中看不懂的名词可以参考关于红黑树(R-B tree)原理,看这篇如何public V put(K key, V value) {Entry<K,V> t = root;/*** 如果根节点都为null,还没建立起来红黑树,我们先new Entry并赋值给root把红黑树建立起来,这个时候红* 黑树中已经有一个节点了,同时修改操作+1。*/if (t == null) {compare(key, key);root = new Entry<>(key, value, null);size = 1;modCount++;return null;}/*** 如果节点不为null,定义一个cmp,这个变量用来进行二分查找时的比较;定义parent,是new Entry时必须* 要的参数*/int cmp;Entry<K,V> parent;// cpr表示有无自己定义的排序规则,分两种情况遍历执行Comparator<? super K> cpr = comparator;if (cpr != null) {/*** 从root节点开始遍历,通过二分查找逐步向下找* 第一次循环:从根节点开始,这个时候parent就是根节点,然后通过自定义的排序算法* cpr.compare(key, t.key)比较传入的key和根节点的key值,如果传入的key<root.key,那么* 继续在root的左子树中找,从root的左孩子节点(root.left)开始:如果传入的key>root.key,* 那么继续在root的右子树中找,从root的右孩子节点(root.right)开始;如果恰好key==root.key,* 那么直接根据root节点的value值即可。* 后面的循环规则一样,当遍历到的当前节点作为起始节点,逐步往下找** 需要注意的是:这里并没有对key是否为null进行判断,建议自己的实现Comparator时应该要考虑在内*/do {parent = t;cmp = cpr.compare(key, t.key);if (cmp < 0)t = t.left;else if (cmp > 0)t = t.right;elsereturn t.setValue(value);} while (t != null);}else {//从这里看出,当默认排序时,key值是不能为null的if (key == null)throw new NullPointerException();@SuppressWarnings("unchecked")Comparable<? super K> k = (Comparable<? super K>) key;//这里的实现逻辑和上面一样,都是通过二分查找,就不再多说了do {parent = t;cmp = k.compareTo(t.key);if (cmp < 0)t = t.left;else if (cmp > 0)t = t.right;elsereturn t.setValue(value);} while (t != null);}/*** 能执行到这里,说明前面并没有找到相同的key,节点已经遍历到最后了,我们只需要new一个Entry放到* parent下面即可,但放到左子节点上还是右子节点上,就需要按照红黑树的规则来。*/Entry<K,V> e = new Entry<>(key, value, parent);if (cmp < 0)parent.left = e;elseparent.right = e;/*** 节点加进去了,并不算完,我们在前面红黑树原理章节提到过,一般情况下加入节点都会对红黑树的结构造成* 破坏,我们需要通过一些操作来进行自动平衡处置,如【变色】【左旋】【右旋】*/fixAfterInsertion(e);size++;modCount++;return null;}
| 无需调整 | 【变色】即可实现平衡 | 【旋转+变色】才可实现平衡 | |
|---|---|---|---|
| 情况1: | 当父节点为黑色时插入子节点 | 空树插入根节点,将根节点红色变为黑色 | 父节点为红色左节点,叔父节点为黑色,插入左子节点,那么通过【左左节点旋转】 |
| 情况2: | - | 父节点和叔父节点都为红色 | 父节点为红色左节点,叔父节点为黑色,插入右子节点,那么通过【左右节点旋转】 |
| 情况3: | - | - | 父节点为红色右节点,叔父节点为黑色,插入左子节点,那么通过【右左节点旋转】 |
| 情况4: | - | - | 父节点为红色右节点,叔父节点为黑色,插入右子节点,那么通过【右右节点旋转】 |
接下来我们看一看这个方法
private void fixAfterInsertion(Entry<K,V> x) {//新插入的节点为红色节点x.color = RED;//我们知道父节点为黑色时,并不需要进行树结构调整,只有当父节点为红色时,才需要调整while (x != null && x != root && x.parent.color == RED) {//如果父节点是左节点,对应上表中情况1和情况2if (parentOf(x) == leftOf(parentOf(parentOf(x)))) {Entry<K,V> y = rightOf(parentOf(parentOf(x)));//如果叔父节点为红色,对应于“父节点和叔父节点都为红色”,此时通过变色即可实现平衡//此时父节点和叔父节点都设置为黑色,祖父节点设置为红色if (colorOf(y) == RED) {setColor(parentOf(x), BLACK);setColor(y, BLACK);setColor(parentOf(parentOf(x)), RED);x = parentOf(parentOf(x));} else {//如果插入节点是黑色,插入的是右子节点,通过【左右节点旋转】(这里先进行父节点左旋)if (x == rightOf(parentOf(x))) {x = parentOf(x);rotateLeft(x);}//设置父节点和祖父节点颜色setColor(parentOf(x), BLACK);setColor(parentOf(parentOf(x)), RED);//进行祖父节点右旋(这里【变色】和【旋转】并没有严格的先后顺序,达成目的就行)rotateRight(parentOf(parentOf(x)));}} else {//父节点是右节点的情况Entry<K,V> y = leftOf(parentOf(parentOf(x)));//对应于“父节点和叔父节点都为红色”,此时通过变色即可实现平衡if (colorOf(y) == RED) {setColor(parentOf(x), BLACK);setColor(y, BLACK);setColor(parentOf(parentOf(x)), RED);x = parentOf(parentOf(x));} else {//如果插入节点是黑色,插入的是左子节点,通过【右左节点旋转】(这里先进行父节点右旋)if (x == leftOf(parentOf(x))) {x = parentOf(x);rotateRight(x);}setColor(parentOf(x), BLACK);setColor(parentOf(parentOf(x)), RED);//进行祖父节点左旋(这里【变色】和【旋转】并没有严格的先后顺序,达成目的就行)rotateLeft(parentOf(parentOf(x)));}}}//根节点必须为黑色root.color = BLACK;}
源码中通过 rotateLeft 进行【左旋】,通过 rotateRight 进行【右旋】。都非常类似,我们就看一下【左旋】的代码,【左旋】规则如下:“逆时针旋转两个节点,让一个节点被其右子节点取代,而该节点成为右子节点的左子节点”。
private void rotateLeft(Entry<K,V> p) {if (p != null) {/*** 断开当前节点p与其右子节点的关联,重新将节点p的右子节点的地址指向节点p的右子节点的左子节点* 这个时候节点r没有父节点*/Entry<K,V> r = p.right;p.right = r.left;//将节点p作为节点r的父节点if (r.left != null)r.left.parent = p;//将节点p的父节点和r的父节点指向同一处r.parent = p.parent;//p的父节点为null,则将节点r设置为rootif (p.parent == null)root = r;//如果节点p是左子节点,则将该左子节点替换为节点relse if (p.parent.left == p)p.parent.left = r;//如果节点p为右子节点,则将该右子节点替换为节点relsep.parent.right = r;//重新建立p与r的关系r.left = p;p.parent = r;}}
五. get 方法
get方法是通过二分查找的思想,我们看一下源码
public V get(Object key) {Entry<K,V> p = getEntry(key);return (p==null ? null : p.value);}/*** 从root节点开始遍历,通过二分查找逐步向下找* 第一次循环:从根节点开始,这个时候parent就是根节点,然后通过k.compareTo(p.key)比较传入的key和* 根节点的key值;* 如果传入的key<root.key, 那么继续在root的左子树中找,从root的左孩子节点(root.left)开始;* 如果传入的key>root.key, 那么继续在root的右子树中找,从root的右孩子节点(root.right)开始;* 如果恰好key==root.key,那么直接根据root节点的value值即可。* 后面的循环规则一样,当遍历到的当前节点作为起始节点,逐步往下找*///默认排序情况下的查找final Entry<K,V> getEntry(Object key) {if (comparator != null)return getEntryUsingComparator(key);if (key == null)throw new NullPointerException();@SuppressWarnings("unchecked")Comparable<? super K> k = (Comparable<? super K>) key;Entry<K,V> p = root;while (p != null) {int cmp = k.compareTo(p.key);if (cmp < 0)p = p.left;else if (cmp > 0)p = p.right;elsereturn p;}return null;}/*** 从root节点开始遍历,通过二分查找逐步向下找* 第一次循环:从根节点开始,这个时候parent就是根节点,然后通过自定义的排序算法* cpr.compare(key, t.key)比较传入的key和根节点的key值,如果传入的key<root.key,那么* 继续在root的左子树中找,从root的左孩子节点(root.left)开始:如果传入的key>root.key,* 那么继续在root的右子树中找,从root的右孩子节点(root.right)开始;如果恰好key==root.key,* 那么直接根据root节点的value值即可。* 后面的循环规则一样,当遍历到的当前节点作为起始节点,逐步往下找*///自定义排序规则下的查找final Entry<K,V> getEntryUsingComparator(Object key) {@SuppressWarnings("unchecked")K k = (K) key;Comparator<? super K> cpr = comparator;if (cpr != null) {Entry<K,V> p = root;while (p != null) {int cmp = cpr.compare(k, p.key);if (cmp < 0)p = p.left;else if (cmp > 0)p = p.right;elsereturn p;}}return null;}
六. remove方法
remove方法可以分为两个步骤,先是找到这个节点,直接调用了上面介绍的getEntry(Object key),这个步骤我们就不说了,直接说第二个步骤,找到后的删除操作。
public V remove(Object key) {Entry<K,V> p = getEntry(key);if (p == null)return null;V oldValue = p.value;deleteEntry(p);return oldValue;}
通过deleteEntry(p)进行删除操作,删除操作的原理我们在前面已经讲过
- 删除的是根节点,则直接将根节点置为null;
- 待删除节点的左右子节点都为null,删除时将该节点置为null;
- 待删除节点的左右子节点有一个有值,则用有值的节点替换该节点即可;
- 待删除节点的左右子节点都不为null,则找前驱或者后继,将前驱或者后继的值复制到该节点中,然后删除前驱或者后继(前驱:左子树中值最大的节点,后继:右子树中值最小的节点);
操作的操作其实很简单,场景也不多,我们看一下删除后的自平衡操作方法fixAfterDeletionprivate void deleteEntry(Entry<K,V> p) {modCount++;size--;//当左右子节点都不为null时,通过successor(p)遍历红黑树找到前驱或者后继if (p.left != null && p.right != null) {Entry<K,V> s = successor(p);//将前驱或者后继的key和value复制到当前节点p中,然后删除节点s(通过将节点p引用指向s)p.key = s.key;p.value = s.value;p = s;}Entry<K,V> replacement = (p.left != null ? p.left : p.right);/*** 至少有一个子节点不为null,直接用这个有值的节点替换掉当前节点,给replacement的parent属性赋值,给* parent节点的left属性和right属性赋值,同时要记住叶子节点必须为null,然后用fixAfterDeletion方法* 进行自平衡处理*/if (replacement != null) {//将待删除节点的子节点挂到待删除节点的父节点上。replacement.parent = p.parent;if (p.parent == null)root = replacement;else if (p == p.parent.left)p.parent.left = replacement;elsep.parent.right = replacement;p.left = p.right = p.parent = null;/*** p如果是红色节点的话,那么其子节点replacement必然为红色的,并不影响红黑树的结构* 但如果p为黑色节点的话,那么其父节点以及子节点都可能是红色的,那么很明显可能会存在红色相连的情* 况,因此需要进行自平衡的调整*/if (p.color == BLACK)fixAfterDeletion(replacement);} else if (p.parent == null) {//这种情况就不用多说了吧root = null;} else {/*** 如果p节点为黑色,那么p节点删除后,就可能违背每个节点到其叶子节点路径上黑色节点数量一致的规则,* 因此需要进行自平衡的调整*/if (p.color == BLACK)fixAfterDeletion(p);if (p.parent != null) {if (p == p.parent.left)p.parent.left = null;else if (p == p.parent.right)p.parent.right = null;p.parent = null;}}}
当待操作节点为左节点时,上面描述了四种场景,而且场景之间可以相互转换,如deleteEntry后进入了场景1,经过场景1的一些列操作后,红黑树的结构并没有调整完成,而是进入了场景2,场景2执行完成后跳出循环,将待操作节点设置为黑色,完成。我们下面用图来说明一下四种场景帮助理解,当然大家最好自己手动画一下。private void fixAfterDeletion(Entry<K,V> x) {/*** 当x不是root节点且颜色为黑色时*/while (x != root && colorOf(x) == BLACK) {/*** 首先分为两种情况,当前节点x是左节点或者当前节点x是右节点,这两种情况下面都是四种场景,这里通过* 代码分析一下x为左节点的情况,右节点可参考左节点理解,因为它们非常类似*/if (x == leftOf(parentOf(x))) {Entry<K,V> sib = rightOf(parentOf(x));/*** 场景1:当x是左黑色节点,兄弟节点sib是红色节点* 兄弟节点由红转黑,父节点由黑转红,按父节点左旋,* 左旋后树的结构变化了,这时重新赋值sib,这个时候sib指向了x的兄弟节点*/if (colorOf(sib) == RED) {setColor(sib, BLACK);setColor(parentOf(x), RED);rotateLeft(parentOf(x));sib = rightOf(parentOf(x));}/*** 场景2:节点x、x的兄弟节点sib、sib的左子节点和右子节点都为黑色时,需要将该节点sib由黑变* 红,同时将x指向当前x的父节点*/if (colorOf(leftOf(sib)) == BLACK &&colorOf(rightOf(sib)) == BLACK) {setColor(sib, RED);x = parentOf(x);} else {/*** 场景3:节点x、x的兄弟节点sib、sib的右子节点都为黑色,sib的左子节点为红色时,* 需要将sib左子节点设置为黑色,sib节点设置为红色,同时按sib右旋,再将sib指向x的* 兄弟节点*/if (colorOf(rightOf(sib)) == BLACK) {setColor(leftOf(sib), BLACK);setColor(sib, RED);rotateRight(sib);sib = rightOf(parentOf(x));}/*** 场景4:节点x、x的兄弟节点sib都为黑色,而sib的左右子节点都为红色或者右子节点为红色、* 左子节点为黑色,此时需要将sib节点的颜色设置成和x的父节点p相同的颜色,* 设置x的父节点为黑色,设置sib右子节点为黑色,左旋x的父节点p,然后将x赋值为root*/setColor(sib, colorOf(parentOf(x)));setColor(parentOf(x), BLACK);setColor(rightOf(sib), BLACK);rotateLeft(parentOf(x));x = root;}} else {//x是右节点的情况Entry<K,V> sib = leftOf(parentOf(x));if (colorOf(sib) == RED) {setColor(sib, BLACK);setColor(parentOf(x), RED);rotateRight(parentOf(x));sib = leftOf(parentOf(x));}if (colorOf(rightOf(sib)) == BLACK &&colorOf(leftOf(sib)) == BLACK) {setColor(sib, RED);x = parentOf(x);} else {if (colorOf(leftOf(sib)) == BLACK) {setColor(rightOf(sib), BLACK);setColor(sib, RED);rotateLeft(sib);sib = leftOf(parentOf(x));}setColor(sib, colorOf(parentOf(x)));setColor(parentOf(x), BLACK);setColor(leftOf(sib), BLACK);rotateRight(parentOf(x));x = root;}}}setColor(x, BLACK);}
场景1:
当x是左黑色节点,兄弟节点sib是红色节点,需要兄弟节点由红转黑,父节点由黑转红,按父节点左旋,左旋后树的结构变化了,这时重新赋值sib,这个时候sib指向了x的兄弟节点。
但经过这一系列操作后,并没有结束,而是可能到了场景2,或者场景3和4
场景2:
节点x、x的兄弟节点sib、sib的左子节点和右子节点都为黑色时,需要将该节点sib由黑变红,同时将x指向当前x的父节点
经过场景2的一系列操作后,循环就结束了,我们跳出循环,将节点x设置为黑色,自平衡调整完成。
场景3:
节点x、x的兄弟节点sib、sib的右子节点都为黑色,sib的左子节点为红色时,需要将sib左子节点设置为黑色,sib节点设置为红色,同时按sib右旋,再将sib指向x的兄弟节点
并没有完,场景3的一系列操作后,会进入到场景4
场景4:
节点x、x的兄弟节点sib都为黑色,而sib的左右子节点都为红色或者右子节点为红色、左子节点为黑色,此时需要将sib节点的颜色设置成和x的父节点p相同的颜色,设置x的父节点颜色为黑色,设置sib右孩子的颜色为黑色,左旋x的父节点p,然后将x赋值为root
四种场景讲完了,删除后的自平衡操作不太好理解,代码层面的已经弄明白了,但如果让我自己去实现的话,还是差了一些,还需要再研究。七. 遍历
遍历比较简单,TreeMap的遍历可以使用map.values(), map.keySet(),map.entrySet(),map.forEach(),这里不再多说。八. 总结
本文详细介绍了TreeMap的基本特点,并对其底层数据结构红黑树进行了回顾,同时讲述了其自动排序的原理,并从源码的角度结合红黑树图形对put方法、get方法、remove方法进行了讲解,最后简单提了一下遍历操作,若有不对之处,请批评指正,望共同进步,谢谢!
