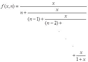
描述
![F(Z%U]_(KW]A8TOUF4O@86S.jpg](/uploads/projects/tanhuai@zzdkb1/cb4eb039917736fab5611db1bfef4a55.jpeg)
格式
输入格式
输出格式
函数值,保留两位小数。
样例
输入样例
输出样例
0.40
限制
时间限制:1000 ms
内存限制:65536 KB
代码
#include<stdio.h>float f(float a, float b);int main(){double x, n;scanf("%lf%lf", &x, &n);float e;e = f(x, n);printf("%.2f\n", e);return 0;}float f(float a, float b){float k;if (b == 1){k = a * 1.00 / (a + 1) * 1.00;return k;}else{k = a * 1.00 / (b + f(a, b - 1)) * 1.00;} return k;}
