创建一个基础工具类来放ListNode及定义其一些常用方法
package com.shiers.leetcode;/*** Demo class** @author shierS* @date 2021/4/25*/public class ListNode {public int val;public ListNode next;public ListNode() {}public ListNode(int val) {this.val = val;}public ListNode(int val, ListNode next) {this.val = val;this.next = next;}//初始化一个Listpublic static ListNode initList(int[] arr){if (arr.length < 1){return null;}ListNode head = new ListNode(arr[0]);ListNode my = head;for (int i = 1; i < arr.length; i++) {ListNode thisListNode = new ListNode(arr[i]);my.next = thisListNode;my = thisListNode;}return head;}//输出一个Listpublic static void printlist(ListNode head){while (head != null){System.out.println(head.val);head = head.next;}}}
160.相交链表、找出两个链表的交点✅
编写一个程序,找到两个单链表相交的起始节点。要求时间复杂度为 O(N),空间复杂度为 O(1)。如果不存在交点则返回 null。
思路:
设 A 的长度为 a + c,B 的长度为 b + c,其中 c 为尾部公共部分长度,可知 a + c + b = b + c + a。
当访问 A 链表的指针访问到链表尾部时,令它从链表 B 的头部开始访问链表 B;同样地,当访问 B 链表的指针访问到链表尾部时,令它从链表 A 的头部开始访问链表 A。这样就能控制访问 A 和 B 两个链表的指针能同时访问到交点。
如果不存在交点,那么 a + b = b + a,以下实现代码中 l1 和 l2 会同时为 null,从而退出循环。
/*** Definition for singly-linked list.* public class ListNode {* int val;* ListNode next;* ListNode(int x) {* val = x;* next = null;* }* }*/public class Solution {public ListNode getIntersectionNode(ListNode headA, ListNode headB) {ListNode lnA = headA,lnB = headB;while(lnA != lnB){lnA=(lnA==null?headB:lnA.next);lnB=(lnB==null?headA:lnB.next);}return lnA;}}
扩展:
如果只是判断是否存在交点,那么就是另一个问题。有两种解法:
- 把第一个链表的结尾连接到第二个链表的开头,看第二个链表是否存在环;
- 或者直接比较两个链表的最后一个节点是否相同。
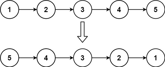
206. 反转链表
给你单链表的头节点head,请你反转链表,并返回反转后的链表。
解法一:头插法
思路:
head指针,指向原列表的头节点,后续用于操作的节点指针
创建一个新的节点newHead,开始指向null,该节点始终用来指向新链表的头节点
创建一个next指针,用来备份head指针在原链表中的下一个节点
步骤1、创建next指针备份head的下一个节点
步骤2、操纵head节点指向newHead节点的next(也就是指向新链表的头节点)
步骤3、使得newHead指向head节点
步骤4、head节点指向next指向的节点
重复操作即可
public static class ListNode {int val;ListNode next;ListNode() {}ListNode(int val) {this.val = val;}ListNode(int val, ListNode next) {this.val = val;this.next = next;}}public static ListNode reverseList(ListNode head) {ListNode newHead = new ListNode(-1);while (head != null) {ListNode next = head.next;head.next = newHead.next;newHead.next = head;head = next;}return newHead.next;}
解法二:递归
思路:
使用递归要注意,reverseList(next)递归完成之后,就默认其中部分完成了所有操作,即已经反转了,只需要将当前位置的头节点反转完成即可(即递归完之后的代码步骤)
千万不要试着取理解每一次递归的具体操作,很容易将自己绕晕😂😂😂(过来人经验:走火入魔很痛苦),知道这个以后发现递归真的超好用,顿悟了!
public static ListNode reverseList(ListNode head) {if (head == null || head.next == null) { //递归出口return head;}ListNode next = head.next;ListNode newHead = reverseList(next); //next之后经过递归已经完成反向next.next = head;head.next = null;return newHead; 返回头节点}
21. 合并两个有序链表
将两个升序链表合并为一个新的升序链表并返回。新链表是通过拼接给定的两个链表的所有节点组成的。
解法一:暴力破解
时间复杂度 O(M+N)
空间复杂度 O(1)
空间换时间,多了一个哑节点的空间,一次遍历通过
public static ListNode mergeTwoLists(ListNode l1, ListNode l2) {ListNode head = new ListNode(-1);//哑节点ListNode prev = head;while (l1 != null && l2 != null) {if (l1.val < l2.val) {prev.next = l1;l1 = l1.next;} else {prev.next = l2;l2 = l2.next;}prev = prev.next;}// 任一为空,直接连接另一条链表if (l1 == null) {prev.next = l2;}if (l2 == null) {prev.next = l1;}return head;}
解法二:递归
时间复杂度 O(M+N)
空间复杂度 O(M+N) 最坏情况下需要叠加栈
public static ListNode mergeTwoLists(ListNode l1, ListNode l2) {if (l1 == null) return l2;if (l2 == null) return l1;if (l1.val < l2.val) {l1.next = mergeTwoLists(l1.next, l2);return l1;} else {l2.next = mergeTwoLists(l1, l2.next);return l2;}}
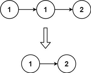
83. 删除排序链表中的重复元素
存在一个按升序排列的链表,给你这个链表的头节点head,请你删除所有重复的元素,使每个元素只出现一次。
返回同样按升序排列的结果链表。
解法一:暴力
class Solution {public ListNode deleteDuplicates(ListNode head) {if(head == null || head.next == null){return head;}ListNode temp = head;//temp指针始终指向已经删除重复元素节点链表的尾节点ListNode next = head.next;//该指针循环遍历原来链表while(next != null){if(temp.val != next.val){temp.next = next;temp = temp.next;}next = next.next;}temp.next = null;//最后给尾节滞空,防止链表最后有多个相同元素return head;}}
解法二:递归
class Solution {public ListNode deleteDuplicates(ListNode head) {if(head == null || head.next == null){return head;}head.next = deleteDuplicates(head.next);return head.val == head.next.val?head.next:head;}}
19. 删除链表的倒数第 N 个结点
给你一个链表,删除链表的倒数第 n个结点,并且返回链表的头结点。
进阶:你能尝试使用一趟扫描实现吗?
思路:

class Solution {public ListNode removeNthFromEnd(ListNode head, int n) {if(head == null || head.next == null){return null;}ListNode dummyHead = new ListNode(-1); //设置哨兵防止删除数组第一个元素!!!dummyHead.next = head;ListNode prev = dummyHead;ListNode tail = dummyHead;int flag = 0;while(tail != null){if(flag > n){ //保持俩个指针距离位n+1prev = prev.next;}tail = tail.next;flag++;};ListNode temp = prev.next;prev.next = prev.next.next;temp.next = null;//删除节点滞空!return dummyHead.next;//记得跳过哨兵}}
优化:
class Solution {public ListNode removeNthFromEnd(ListNode head, int n) {ListNode fast = head;while( n-- > 0 ){fast = fast.next;}if(fast == null) return head.next;ListNode slow = head;while( fast.next != null ){slow = slow.next;fast = fast.next;}slow.next = slow.next.next;return head;}}
24. 两两交换链表中的节点
给定一个链表,两两交换其中相邻的节点,并返回交换后的链表。
你不能只是单纯的改变节点内部的值,而是需要实际的进行节点交换。
思路:
public static ListNode swapPairs(ListNode head) {ListNode node = new ListNode(-1); //设置哨兵节点node.next = head;ListNode first = node;while (first.next != null && first.next.next != null) {ListNode second = first.next;ListNode third = first.next.next;//交换first.next = third;second.next = third.next;third.next = second;//移动first指针first = second;}return node.next;}
445. 两数相加 II
给你两个 非空 链表来代表两个非负整数。数字最高位位于链表开始位置。它们的每个节点只存储一位数字。将这两数相加会返回一个新的链表。
你可以假设除了数字 0 之外,这两个数字都不会以零开头。
进阶:
如果输入链表不能修改该如何处理?换句话说,你不能对列表中的节点进行翻转。
示例:
输入:(7 -> 2 -> 4 -> 3) + (5 -> 6 -> 4) 输出: 7 -> 8 -> 0 -> 7
解释: 7243 + 564 = 7807
利用栈结构实现
public static ListNode addTwoNumbers(ListNode l1, ListNode l2) {ListNode node = new ListNode(-1);ListNode index = node;Stack s0 = new Stack<Integer>();Stack s1 = new Stack<Integer>();Stack s2 = new Stack<Integer>();//放入元素while (l1 != null) {s1.push(l1.val);l1 = l1.next;}while (l2 != null) {s2.push(l2.val);l2 = l2.next;}int num = 0;//进位存储//取出元素并相加while (!s1.empty() && !s2.empty()) {int temp = num + (int) s1.pop() + (int) s2.pop();num = temp / 10;//获取进位值temp = temp % 10;//获取个位数s0.push(temp);}//将剩余链表种的值取出while (!s1.empty()){int temp = num + (int) s1.pop();num = temp / 10;//获取进位值temp = temp % 10;//获取个位数s0.push(temp);}while (!s2.empty()){int temp = num + (int) s2.pop();num = temp / 10;//获取进位值temp = temp % 10;//获取个位数s0.push(temp);}//判断是否还有进位if(num != 0){s0.push(num);}//生成新链表while (!s0.empty()){index.next = new ListNode((int)s0.pop());index = index.next;}return node.next;}
优化
public ListNode addTwoNumbers(ListNode l1, ListNode l2) {Stack<Integer> l1Stack = buildStack(l1);Stack<Integer> l2Stack = buildStack(l2);ListNode head = new ListNode(-1);int carry = 0;while (!l1Stack.isEmpty() || !l2Stack.isEmpty() || carry != 0) {int x = l1Stack.isEmpty() ? 0 : l1Stack.pop();int y = l2Stack.isEmpty() ? 0 : l2Stack.pop();int sum = x + y + carry;ListNode node = new ListNode(sum % 10);node.next = head.next;head.next = node;carry = sum / 10;}return head.next;}private Stack<Integer> buildStack(ListNode l) {Stack<Integer> stack = new Stack<>();while (l != null) {stack.push(l.val);l = l.next;}return stack;}
234. 回文链表
请判断一个链表是否为回文链表。
示例 1:
输入: 1->2
输出: false
示例 2:
输入: 1->2->2->1
输出: true
进阶:
你能否用 O(n) 时间复杂度和 O(1) 空间复杂度解决此题?
进阶以后难度为中等
解法一:数组列表
思路:
将链表存入数组列表中,利用双向指针比较元素是否相等
复杂度分析
时间复杂度:O(n),其中 n 指的是链表的元素个数。
第一步: 遍历链表并将值复制到数组中,O(n)。
第二步:双指针判断是否为回文,执行了 O(n/2) 次的判断,即 O(n)。
总的时间复杂度:O(2n) = O(n)。
空间复杂度:O(n),其中 n 指的是链表的元素个数,我们使用了一个数组列表存放链表的元素值。
注意: get()方法对127以内的整形数值会直接封装成值返回,但是对大于127的值会返回对象,因此你的比较是进行对象地址的比较,实际上是不对的。你得用equals()方法比较。 1、首先Integer是对象,比较两个对象是否相等不能使用==,应该使用equals 2、让我们查看jdk源码,在使用==比较Integer类型时,默认会缓存 -128至127(包括-128和127),如果超过这个范围,则会new,所以两个对象的地址不一样,==则会返回false。 3、如果非要使用==,-128至127(包括-128和127)范围内可以使用==比较,返回true,反之false。
public static boolean isPalindrome(ListNode head) {//结束条件,链表只有一个或为空也是回文if(head == null || head.next == null) return true;List<Integer> list = new ArrayList<Integer>();// 将链表的值复制到数组中while(head != null){list.add(head.val);head = head.next;}// 使用双指针判断是否回文int before = 0;int back = list.size()-1;while(before < back){if(!list.get(before).equals(list.get(back))){return false;}before++;back--;}return true;}
解法二:利用栈
// 利用栈,和数组链表一样public static boolean isPalindrome(ListNode head) {if (head == null || head.next == null) return true;Stack<Integer> stack = new Stack<>();ListNode node = head;// 把链表存入栈中while (node != null) {stack.push(node.val);node = node.next;}//在来一次和栈中元素比较node = head;while (node != null) {if (node.val != stack.pop()) {return false;}node = node.next;}return true;}
解法三:递归
该解法超出时间限制😂
//递归public static boolean isPalindrome(ListNode head) {//结束条件,链表只有一个或为空也是回文if(head == null || head.next == null) return true;ListNode tail = head.next;ListNode temp = head;while (tail.next != null){temp = tail;tail = tail.next;}//while循环完毕后 tail指向最后一个元素//判断首尾元素是否相等if(head.val != tail.val) return false;//删除首尾相同元素的节点head = head.next;//删除尾部temp.next = null;//递归调用,判断去掉首尾元素的剩余链表return isPalindrome(head);}
方法四:进阶最优——反转链表

// 最优:反转链表public static boolean isPalindrome(ListNode head) {if (head == null || head.next == null) return true;// 1、利用快慢指针找到中间节点ListNode fast = head;ListNode slow = head;ListNode prev = null; //指向slow的之前一个while (fast != null && fast.next != null) {fast = fast.next.next;prev = slow;slow = slow.next;}// 2、切断链表if (fast == null) { // 偶数情况prev.next = null; // 切断} else { // 奇数情况slow = slow.next; // 跳过中间节点prev.next = null;// 切断}// 3、反转链表ListNode newslow = reverseList(slow);// 4、比较while (head != null) {if (head.val != newslow.val) {return false;}head = head.next;newslow = newslow.next;}return true;}//206.反转链表public static ListNode reverseList(ListNode head) {ListNode node = new ListNode(-1);while (head != null) {ListNode next = head.next;head.next = node.next;node.next = head;head = next;}return node.next;}
725. 分隔链表
给定一个头结点为 root 的链表, 编写一个函数以将链表分隔为 k 个连续的部分。
每部分的长度应该尽可能的相等: 任意两部分的长度差距不能超过 1,也就是说可能有些部分为 null。
这k个部分应该按照在链表中出现的顺序进行输出,并且排在前面的部分的长度应该大于或等于后面的长度。
返回一个符合上述规则的链表的列表。
举例: 1->2->3->4, k = 5 // 5 结果 [ [1], [2], [3], [4], null ]
示例 1: 输入: root = [1, 2, 3], k = 5 输出: [[1],[2],[3],[],[]] 解释: 输入输出各部分都应该是链表,而不是数组。 例如, 输入的结点 root 的 val= 1, root.next.val = 2, oot.next.next.val = 3, 且 root.next.next.next = null。 第一个输出 output[0] 是 output[0].val = 1, output[0].next = null。 最后一个元素 output[4] 为 null, 它代表了最后一个部分为空链表。
示例 2: 输入: root = [1, 2, 3, 4, 5, 6, 7, 8, 9, 10], k = 3 输出: [[1, 2, 3, 4], [5, 6, 7], [8, 9, 10]] 解释: 输入被分成了几个连续的部分,并且每部分的长度相差不超过1.前面部分的长度大于等于后面部分的长度。
public static ListNode[] splitListToParts(ListNode root, int k) {int length = 0;ListNode node = root;// 获取链表元素个数while (node != null) {length++;node = node.next;}ListNode[] arrListNode = new ListNode[k];//计算分隔链表位置int mod = length % k; // 取余计算出前几个子链表长度需要+1int size = length / k; // 子链表平均长度node = root;for (int i = 0; node != null && i < k ; i++) {ListNode son = node;arrListNode[i] = son; // 对数组赋值子链表头部int curSize = size + (mod-- > 0 ? 1 : 0); // 子链表长度for (int j = 0; j < curSize-1; j++) { //走到子链表尾部node = node.next;}//切断链表ListNode next = node.next;node.next = null;node = next;}return arrListNode;}
328. 奇偶链表
给定一个单链表,把所有的奇数节点和偶数节点分别排在一起。请注意,这里的奇数节点和偶数节点指的是节点编号的奇偶性,而不是节点的值的奇偶性。
请尝试使用原地算法完成。你的算法的空间复杂度应为 O(1),时间复杂度应为 O(nodes),nodes 为节点总数。
示例 1: 输入: 1->2->3->4->5->NULL 输出: 1->3->5->2->4->NULL
示例 2: 输入: 2->1->3->5->6->4->7->NULL 输出: 2->3->6->7->1->5->4->NULL
说明: 应当保持奇数节点和偶数节点的相对顺序。 链表的第一个节点视为奇数节点,第二个节点视为偶数节点,以此类推。
解法一:
一开始写出来的,和方法二一样,比较笨和繁琐
public static ListNode oddEvenList1(ListNode head) {if (head == null || head.next == null) {return head;}ListNode node = head.next.next; //设置遍历节点指针ListNode j = head; //奇数链表尾指针ListNode o = head.next; //偶数链表尾指针while (node != null && node.next != null) {ListNode next = node.next;// 将偶数链表链接到node下一个节点o.next = next;o = next;// 将node节点插入到奇数链表尾部node.next = j.next;j.next = node;j = node;node = next.next;//node移动俩位到下一个 奇数 节点上}//如果链表长度为奇数,需要处理最后一个奇数节点if (node != null) {ListNode next = node.next;o.next = next;node.next = j.next;j.next = node;}return head;}
解法二:分离节点后合并

public static ListNode oddEvenList(ListNode head) {if (head == null || head.next == null) {return head;}ListNode jtail = head;//奇链表尾节点ListNode ohead = head.next; //偶列表头节点ListNode otail = ohead; //偶列表尾节点while (otail != null && otail.next != null){jtail.next = otail.next;jtail = jtail.next;otail.next = otail.next.next;otail = otail.next;}//链接奇偶链表jtail.next = ohead;return head;}
