数学03-mit线性代数笔记
白天
夜间
首页
下载
阅读记录
书签管理
我的书签
添加书签
移除书签
0. 空间向量和立体几何基础
浏览
119
扫码
分享
2023-11-24 05:43:51
相当于2元一次方程组
相当于三元一次方程组,所以三元一次方程式 可以表示一个平面
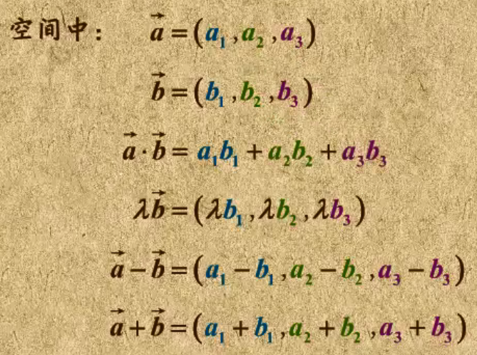
内积相当于一个向量再另外一个向量上面的投影!
若有收获,就点个赞吧
0 人点赞
上一篇:
下一篇:
02. 矩阵乘法的本质理解
克莱姆法则理解
网友提供笔记
0. 空间向量和立体几何基础
01-理解
暂无相关搜索结果!
让时间为你证明
分享,让知识传承更久远
×
文章二维码
×
手机扫一扫,轻松掌上读
文档下载
×
请下载您需要的格式的文档,随时随地,享受汲取知识的乐趣!
PDF
文档
EPUB
文档
MOBI
文档
书签列表
×
阅读记录
×
阅读进度:
0.00%
(
0/0
)
重置阅读进度
×
思维导图备注