给定一棵二叉树的根节点root,返回这棵树的前序遍历数组。
示例:
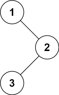
输入:root = [1, null, 2, 3]
输出:[1, 2, 3]
/*** Definition for a binary tree node.* public class TreeNode {* int val;* TreeNode left;* TreeNode right;* TreeNode() {}* TreeNode(int val) { this.val = val; }* TreeNode(int val, TreeNode left, TreeNode right) {* this.val = val;* this.left = left;* this.right = right;* }* }*/class Solution {public void flatten(TreeNode root) {List<Integer> res = new ArrayList<>();preorder(root, res);return res;}private void preorder(TreeNode root, List<Integer> res) {if (root == null) {return;}res.add(root.val);preorder(root.left, res);preorder(root.right, res);}}
