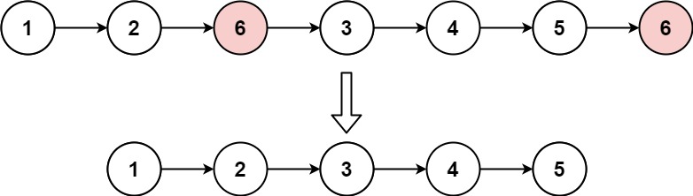
移除链表元素
题目描述:给你一个链表的头节点 head 和一个整数 val ,请你删除链表中所有满足 Node.val == val 的节点,并返回 新的头节点 。
🌰:
- 示例1:

输入:head = [1,2,6,3,4,5,6], val = 6 输出:[1,2,3,4,5]
示例2:
输入:head = [], val = 1 输出:[]
示例3:
输入:head = [7,7,7,7], val = 7 输出:[]
题解⌨
1.迭代遍历
var removeElements = function (head, val) {if (!head) return head;let cur = head;while (cur.next) {if (cur.next.val === val) {cur.next = cur.next.next;} else {cur = cur.next;}}if(head.val === val){head = head.next;}return head;};
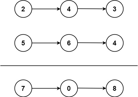
两数相加
题目:给你两个 非空 的链表,表示两个非负的整数。它们每位数字都是按照 逆序 的方式存储的,并且每个节点只能存储 一位 数字。
- 请你将两个数相加,并以相同形式返回一个表示和的链表。
- 你可以假设除了数字 0 之外,这两个数都不会以 0 开头。
🌰:
- 示例1:

输入:l1 = [2,4,3], l2 = [5,6,4]输出:[7,0,8]解释:342 + 465 = 807.
输入:l1 = [0], l2 = [0] 输出:[0]输入:l1 = [9,9,9,9,9,9,9], l2 = [9,9,9,9] 输出:[8,9,9,9,0,0,0,1]题解⌨
1.链表遍历,同一层级下的数据相加
```javascript const addTwoNumbers = function (l1, l2) { let cur1 = l1; let cur2 = l2; let result = new ListNode(0, null) let head = result while (cur1 || cur2) { let value = 0; if (cur1 && cur2) {
value = cur1.val + cur2.val} else if (cur1) {
value = cur1.val} else if (cur2) {
value = cur2.val}
let curValue = (result.val + value) result.val = curValue % 10
cur1 = cur1 && cur1.next ? cur1.next : null
cur2 = cur2 && cur2.next ? cur2.next : null
let val = Math.floor(curValue / 10)
if (cur1 || cur2 || val > 0) {
result.next = new ListNode(val, null)
result = result.next
}
} return head };
---
<a name="KaJ2c"></a>
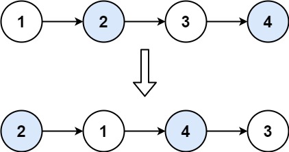
### [两两交换链表中的节点](https://leetcode.cn/problems/swap-nodes-in-pairs/)
<a name="JQ9RA"></a>
#### 题目:给你一个链表,两两交换其中相邻的节点,并返回交换后链表的头节点。你必须在不修改节点内部的值的情况下完成本题(即,只能进行节点交换)。
🌰:<br />
输入:head = [1,2,3,4] 输出:[2,1,4,3]
```
输入:head = []
输出:[]
输入:head = [1]
输出:[1]
题解⌨
1.迭代
var swapPairs = function (head) {
let newNode = new ListNode(0, null)
newNode.next = head;
let temp = newNode;
while (temp.next && temp.next.next) {
const node1 = temp.next
const node2 = temp.next.next
temp.next = node2
node1.next = node2.next
node2.next = node1
temp = node1
}
return newNode.next
};
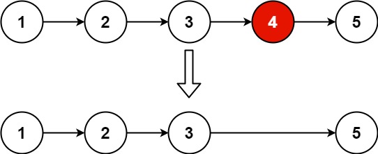
删除链表的倒数第 N 个结点
题目:给你一个链表,删除链表的倒数第 n 个结点,并且返回链表的头结点。
🌰:
输入:head = [1,2,3,4,5], n = 2
输出:[1,2,3,5]
输入:head = [1], n = 1
输出:[]
输入:head = [1,2], n = 1
输出:[1]
题解⌨
1.迭代(较优解👍)
- 先将链条进行反转,然后再反转回来,当节点的排序等于第n个时,从链条中删减该节点 。
var removeNthFromEnd = function (head, n) { let pre = null let temp = head while (temp) { const next = temp.next temp.next = pre pre = temp temp = next } temp = pre pre = null while (temp) { if (n === 1) { const next = temp.next temp = next } else { const next = temp.next temp.next = pre pre = temp temp = next } n-- } return pre };2.前后指针
var removeNthFromEnd = function (head, n) { let fast = head let newNode = new ListNode(0, null) newNode.next = head let cur = newNode while (--n) { fast = fast.next } while (fast.next) { fast = fast.next cur = cur.next } cur.next = cur.next.next return newNode.next };
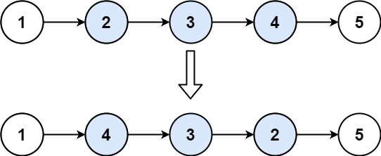
反转链表 II⚠
题目:给你单链表的头指针 head 和两个整数 left 和 right ,其中 left <= right 。请你反转从位置 left 到位置 right 的链表节点,返回 反转后的链表 。
🌰:
输入:head = [1,2,3,4,5], left = 2, right = 4
输出:[1,4,3,2,5]
输入:head = [5], left = 1, right = 1
输出:[5]
题解⌨
1. 穿针引线法

- 首先,找出并记录我们的前置点preNode,而pre.next就是需要反转的链表的起始点记为leftNode,继续往后遍历找到反转链表的末尾点记为rightNode,并且其rightNode.next就是我们后置点succNode。将反转链表输入反转函数反转后,再进行拼接即可。
```javascript
var reverseBetween = function (head, left, right) {
let dNode = new ListNode(0)
dNode.next = head;
let curNode = dNode;
let preNode = curNode
for (let i = 0; i < left - 1; i++) {
} leftNode = preNode.next let rightNode = leftNode for (let i = 0; i < right - left; i++) {preNode = preNode.next
} let succ = rightNode.next rightNode.next = null const reverseNode = reverseList(leftNode) curNode = reverseNode; while (curNode.next) {rightNode = rightNode.next
} curNode.next = succ; preNode.next = reverseNode; return dNode.next };curNode = curNode.next;
var reverseList = function (head) { let cur = head; let pre = null while (cur) { let next = cur.next; cur.next = pre; pre = cur cur = next } return pre }
<a name="A1Q9k"></a>
##### 2. 头插法(较优解👍)

- 遍历链条记录前置点pre,以及起始点cur,逐个遍历需要反转的节点,并插到前置点的next。
```javascript
var reverseBetween = function (head, left, right) {
let dNode = new ListNode(0)
dNode.next = head;
let pre = dNode;
let cur = null;
for (let i = 0; i < left - 1; i++) {
pre = pre.next;
}
cur = pre.next;
next = cur.next;
let len = right - left;
while (len--) {
cur.next = next.next;
next.next = pre.next;
pre.next = next;
next = cur.next
}
return dNode.next;
};
