在讲什么是矩阵之前,我们需要来了解什么是向量:
向量是从研究一个数(例如:666) 拓展到研究一组数(例如:(6,66,666))的表示方法
向量有什么用?——有两个视角来看待:
最基础的使用用来表示方向
更抽象的n维向量:
(120,3,2,2,666)此时向量就是一组数,其中含义由使用者自己定义
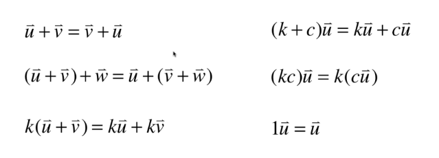
向量的基本运算:
1、向量加法:


由图示可知:(5,2)T+(2,5)T=(5+2,2+5)T=(7,7)T
注:上标T标识该向量是一个列向量,我们通常使用的向量都是列向量,表示形式如下:
向量的加法是由每个向量的每一个元素相加组成的新的向量
2、向量的数量乘法
向量的数量乘法是向量内的每一个k值(k是一个数)
向量运算遵循的基本性质:
零向量:
对于任何一个向量,都有一个向量O,满足该向量加上O等于该向量本身,零向量是所有元素都为0的向量,它没有方向。
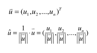
向量的长度(向量的模):
如图所示:向量的长度用勾股定理就能得出 向量的长度是
一般用双数线(单数线)包裹起来表示:
推到n维可以得出计算公式为:
单位向量:
单位向量是由该向量除以该向量的模,它的长度为1,只表示这个向量的方向,单位向量有无数个。


标准单位向量:
二维空间中有两个标准单位向量(1,0)、(0,1)
三维空间中有三个标准单位向量(1,0,0)、(0,1,0)、(0,0,1)
n维空间中有n个标准单位向量(1,0…..,0)、(0,1……,0)、(0,0……,1)
向量的点乘(也叫内积)(dot):
两个向量相乘结果是一个数
向量的乘法是将两个向量的每一项相乘再相加,同时等于这两个向量的模相乘再乘cos这两个向量直接的夹角θ
我们一般用向量的点乘可以反向求得这两个向量直接的角度是多少
同样我们能知道一个向量在另一个向量上的贡献程度,如下图:
当两个向量相乘时如果结果为0,那么这两个向量就是互相垂直的,夹角为90°
当两个向量相乘时如果结果大于0,那么这两个向量的夹角为锐角
当两个向量相乘时如果结果小于0,那么这两个向量的夹角为钝角
应用:
当我们使用的向量是n维向量时以电影为例(向量里的数可能代表一部电影的评分、类型、上线时间、票房、导演、演员等数据),我们可以通过计算n维向量的角度,如果角度越小则说明两部电影越相似,相反则说明两部电影无关,可以将其应用于相似电影的推荐。
思考一下,按照这个思路向量还能用在什么领域呢?
